
最全工控资料库和软件库:(点击标题试试)
叶盘是叶轮机械的核心部件之一。各类叶轮机械叶盘以航空发动机叶盘最为典型和复杂,本文以航空发动机叶盘为例,对叶盘的振动进行简单的介绍。
在航空发动机的设计过程中为了提高推重比,轮盘结构往往设计的很轻。特别是有限元对轮盘
在航空发动机的设计过程中为了提高推重比,轮盘结构往往设计的很轻。特别是有限元对轮盘的精确设计及强度分析与轮盘优化技术的不断提高,使轮盘有可能变得很薄。这不仅使轮盘本身易于振动,而且因厚度越来越薄的轮盘其刚度有时几乎与叶片的刚度相近,从而使轮盘振动对叶片的振动特性有较大影响,平且会产生叶盘的耦合振动。这种振动有时能和叶轮机中的非定常气流相互作用,使得气流中的能量诱发叶盘系统自激振动,从而导致大量叶片迅速破坏,或多个榫头、榫槽出现裂纹。因此,为了设计出既轻且刚性合适又安全可靠的轮盘,十分有必要研究轮盘的振动特性。
1.风扇轮盘
2.压气机轮盘
3.涡轮盘
4.加强密封盘
按功能
1.中心联结
2.外缘联结
按结构形式
1
伞形振动
又称节圆振动。这种振动形式对称于盘的中心,沿轮盘径向盘面不同直径上,呈现质点不动的一个或数个节圆,节圆上质点的振幅等于零。
2
扇形振动
又称节径振动。轮盘振动时,在盘面上出现一条或数条沿径向均匀分布的节线,这种节线称为节径,它们在盘面上对称分布。各个通过轮心沿盘圆均匀分布的节径,将盘分成凹凸分布的若干部分。
3
复合振动
伞形振动和扇形振动组合而成的振动为复合振动。这种振型所对应的固有频率一般很高,其产生的振动应力也较小,通常情况下发动机不考虑其危险性。
1
叶片对轮盘振动固有频率的影响
实际的轮盘都装有叶片,由于轮盘的厚度越来越薄,致使盘与叶片的刚性相近,这样叶片势必会对轮盘的振动产生一定影响。并可能出现叶盘耦合振动,其振动特性主要是盘片耦合振动问题。与轮盘振动相同,耦合振动也有两种基本振动形式,即节圆振动和节径振动。高阶振动是这两种基本振动的复合。
2
转速对轮盘振动固有频率的影响
一般轮盘都处于高速旋转的工作状态,承受着轮盘自身的离心力和轮盘外缘叶片离心力的作用。离心力竭力使盘面保持原来不变形时的平面形状,这相当于增加了盘的刚性,因而旋转状态下的轮盘振动固有频率要高,并且随着转速的增大而升高。
3
温度对轮盘振动固有频率的影响
高压压气机盘的工作温度较高,盘面的温差从前到后呈迅速递增之势,尤其是后几级盘上温差可达100—200°C,此时温度对轮盘振动固有振动频率有一定影响,不应忽略。通常涡轮盘的厚度较大,热容量较大。另外涡轮盘在高温的燃气包围中,其径向和轴向都有较大的温度梯度,这使涡轮有较大的热应力。一般而言高温使轮盘材料的弹性模量减小,从而使轮盘的固有振动频率下降。
在轮盘产生扇形振动时,节线相对于盘有可能处于静止状态也可能处于转动状态,后者称之为轮盘的行波振动或动波。对于旋转轮盘,当节线的旋转方向与轮盘的转向相同时,称该波为顺行波(前行波);当两个转向相反时,称为逆行波(后行波)。
1
轮盘静止时
对于盘上的任一质点,每通过一个单独的动波时,该质点振动一次,所以当动波相对于轮盘旋转一周,盘上的质点振动m次(m表示节径数),即意味着质点振动的角频率是动波移动角速度的m倍。
2
轮盘以角速度ω旋转时
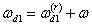
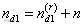
设轮盘在旋转状态下的振动固有频率为Pd,则:

式中:ω为轮盘的旋转角速度;ωd1,ωd2分别为顺行波和逆行波对地旋转角速度。
3
驻波
当上式中ωd2=pd/m-ω=0时,即逆行波的绝对角速度为零时,该波形相对于地面是静止的,我们称这种振动波为驻波。我们可以计算得到临界转速:

式中:fd=pd/2π,pd为轮盘在旋转状态下的振动固有频率。

1
与介质相互作用而产生的强迫振动
如果轮盘质点的扇形振动沿着轮缘扩展,顺行波和逆行波的角速度分别为ωd1和ωd2,而轮盘本身的旋转角速度为ω,则动波将与轮盘周围的介质发生相互作用。由于介质流过波峰和波谷的流动情况不同,将产生维持轮缘挠度的压差,从而导致强迫振动。
2
燃气流不均匀引起的振动
发动机的构件将气流分成流束,在稳定的工作状态下,燃气流束作用力的强度可能不随时间而变化。因此若轮盘在这种情况下不旋转,则作用在轮缘每一点上的力将不随时间而变化。当轮盘旋转时,轮缘各点依次通过所有气流束,此时,气流分成流束后会产生周期力的效果。在这种情况下,当激振周期力的频率和驻波的频率相重合时会出现共振现象,因为此力相对轮盘是不动的,与顺行波和逆行波同时处于共振状态。
燃气流束作用与轮盘上的力具有脉动性质时,顺行波相对静止坐标系移动的角速度可以表示为:

等式两边同时除以2π,得到转速的关系式:

上式乘以节径数目m,可以得到顺行波振动频率的表达式:

同样,对逆行波有:

空间内不动的力的频率,与相对静止坐标系的顺行波或逆行波的频率是一致时,就发生共振。因而在这种情况下,周期力不激起驻波,而是激起顺行波或逆行波。
3
轴挠度引起的轮盘振动
如果有一根轮盘的不动轴作横向振动,则轴有一个周期力矩作用在盘上,引起盘作扇形振动,其振动节径为奇数。
非旋转态轮盘扇形振动的低阶频率可以用能量法来确定。

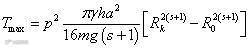
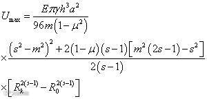
轮盘上任一点偏离中间位置的瞬时表达式:

式中:ω 为振动过程中轮盘上某点对中心位置的的偏移,f(r)为两平分相邻节线夹角的轮盘直径截面的弹性方程,r为中截面上某点的向量半径,Ψ 为半径r与邻近的节线间的夹角,m 为节径数目,P 为轮盘的固有频率。
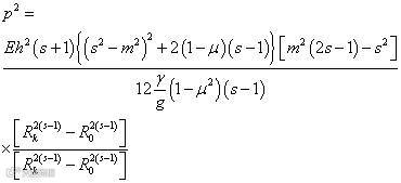
等厚轮盘的最大动能和最大势能可以分别表示为:


式中:E为轮盘材料的弹性模量,h为轮盘厚度,μ为泊松比,Rk和R0分别为轮盘的外径和内径。
根据能量守恒Tmax=Umax可以求得频率P。

给出不同的参数S值,可以求得频率P的最小值。根据瑞利原则,频率的这个数值最接近轮盘自由振动的实际频率,通常参数值在2-4之间变化。
变厚轮盘可用等厚环组成的阶梯轮盘代替,将各环的动能和势能分别叠加,得到轮盘的最大动能和最大势能,令二者相等,即可求得变厚轮盘固有频率最小值的近似值。
实际轮盘大都是变厚度的,但考虑到许多薄轮盘的厚度沿直径方向变化不大,在粗略计算时可以将其视为等候的薄轮盘,采用解析方法获得其固有频率。
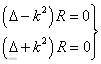
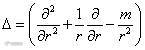
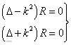
根据薄板弯曲振动的理论,轮盘的轴向位移ω可以表示为:

当盘的厚度、几何形状和边界条件为轴对称时,盘的振动微分方程可以表示为:

式中:ρ为材料密度,h为轮盘厚度,D为轮盘的刚度。由上两式可得:


式中:

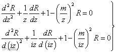
令kr=z,则

可以写为:

该式是纯自变量z和纯虚自变量iz的贝塞尔函数的控制方程,其通解为:

对于周边固支等厚实心轮盘,在盘心处,ω和
均为有限值,根据贝塞尔函数的性质,必有B=F=0,在外缘处ω=0,
=0,将该边界条件带入上式:

最后得到轮盘固有频率的表达式:

通过查轮盘固有频率和α的关系表,带入上式便可得到轮盘固有频率的解析解。

轮盘固有频率系数α
--- THE END ---
推荐阅读(点击标题试试)
长按以下二维码分别进入【软件库】和【资料库】自助下载。


声明:本微信转载文章出于非商业性的教育和科研目的,并不意味着支持其观点或证实其内容的真实性。版权归原作者所有,如转载稿涉及版权等问题,请立即联系我们,我们会予以更改或删除相关文章,保证您的权利!

