干货下载:(点击标题试试)
《免费获得2000G电气自动化、机械等工程领域的资料及软件》
在现代生活中纸和纸品对每个人的重要性显而易见,没有哪一种制成品对人类生活的各个领域比它有更深远的意义。纸张提供记录、储存和传播信息的手段,实际上所有书写和印刷任务都是由纸张承担的。
现代化纸厂的自动化程度非常高,所涉及的电气和控制产品领域广,且对稳定性要求非常高,因此纸厂的设备维护一直来都是值得研究和深入探讨的重要课题。
任何设备都是为了满足生产工艺要求而产生的,我们要应用好这些设备,维护好它们,那么必须对生产工艺流程进行熟悉和分析。
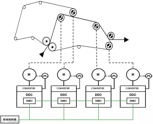
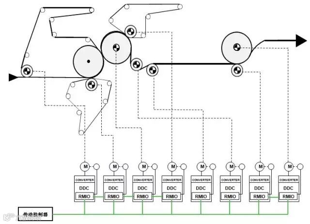
纸机一般由以下部分构成
流浆箱→冲浆泵→成型部→压榨部→干燥部→表面整饰部(涂布)→压光机→卷曲部

1冲浆泵
接受从入口管道来的浆流,并将其沿纸机横向做均匀分布

2成型部
由流浆箱、胸辊、成形网、吸水箱及伏辊等组成。这些成行器采用了不同形式的脱水元件,使纸浆加速脱水。

3压榨部
对成形后的湿纸页以加压的方式进一步脱水。它由辊面硬和软的两个辊子,如石辊和胶辊相配组成一组压榨。压榨部由同形式或不同形式的压榨组组成,其中在习惯上还包括真空吸移装置。压榨时,以适当规格的毛布承托纸页,它可以匀布加压压力并带走部分被压榨挤压出来的水分,并可增强加压的压力,提高压榨脱水能力。

4干燥部
由齿轮传动或由毛布带动若干个烘缸为一组,若干组烘缸构成干燥部。各组烘缸的线速度可以分别调整,保持各组烘缸之间微量速差以补偿纸页在干燥过程中的收缩。出干燥部的纸页干度一般在92~94%左右。在干燥部末端,一般配有冷缸,使水气能在冷缸面上凝聚。冷凝水可以湿润纸页表面以利于在整饰中得到较佳的表面平滑度。

5表面整饰部(压光机、涂布机)
用多工序处理以取得良好的表面质量。大多数纸在纸机后都经过机械压光机压光,使纸面平整一致。机械压光机由若干个冷铸铁辊制成,以各辊子的自重或另加压将纸面压平。若需要更高表面平滑度则要用超级压光机压光。它一般由纸粕辊和冷铸铁辊相间排列组成。
根据使用要求不同,一些品种要经表面施胶来改进表面质量;
有的要经过表面涂布,以改进外观质量或印刷质量。表面施胶、涂布可以用成纸在纸机外通过施胶机及涂布机进行加工,也可以将施胶机及涂布设备组合在纸机内进行机内加工。

6卷曲
将纸张卷成纸卷,其中复卷机常用于将宽幅的纸卷分切。


— THE END —
想要免费阅读知识库的内容,请查阅《易维通》微信订阅号自定义菜单。
推荐阅读

目前,易维通正在积极构建虚拟团队,控制器、驱动器、执行机构、智能制造、配电系统、职业发展、心理学、外语等核心技术分享虚拟团队都已具雏形。能力出众的你,别再犹豫了,加入我们!
【 易维通服务号 】
更多资料下载,
更多资源推送,
不让你错过
每一个有价值的机会!
每天阅读一篇高质量的原创文章,关注我们吧!


