大数跨境
0
0

依科咨询 | 关于2021年省全面开放专项资金拟支持结果的公示

依科咨询 | 关于2021年省全面开放专项资金拟支持结果的公示 依科创新在线
2023-05-05
1

点击蓝字关注我们


关于2021年省全面开放专项资金拟支持结果的公示


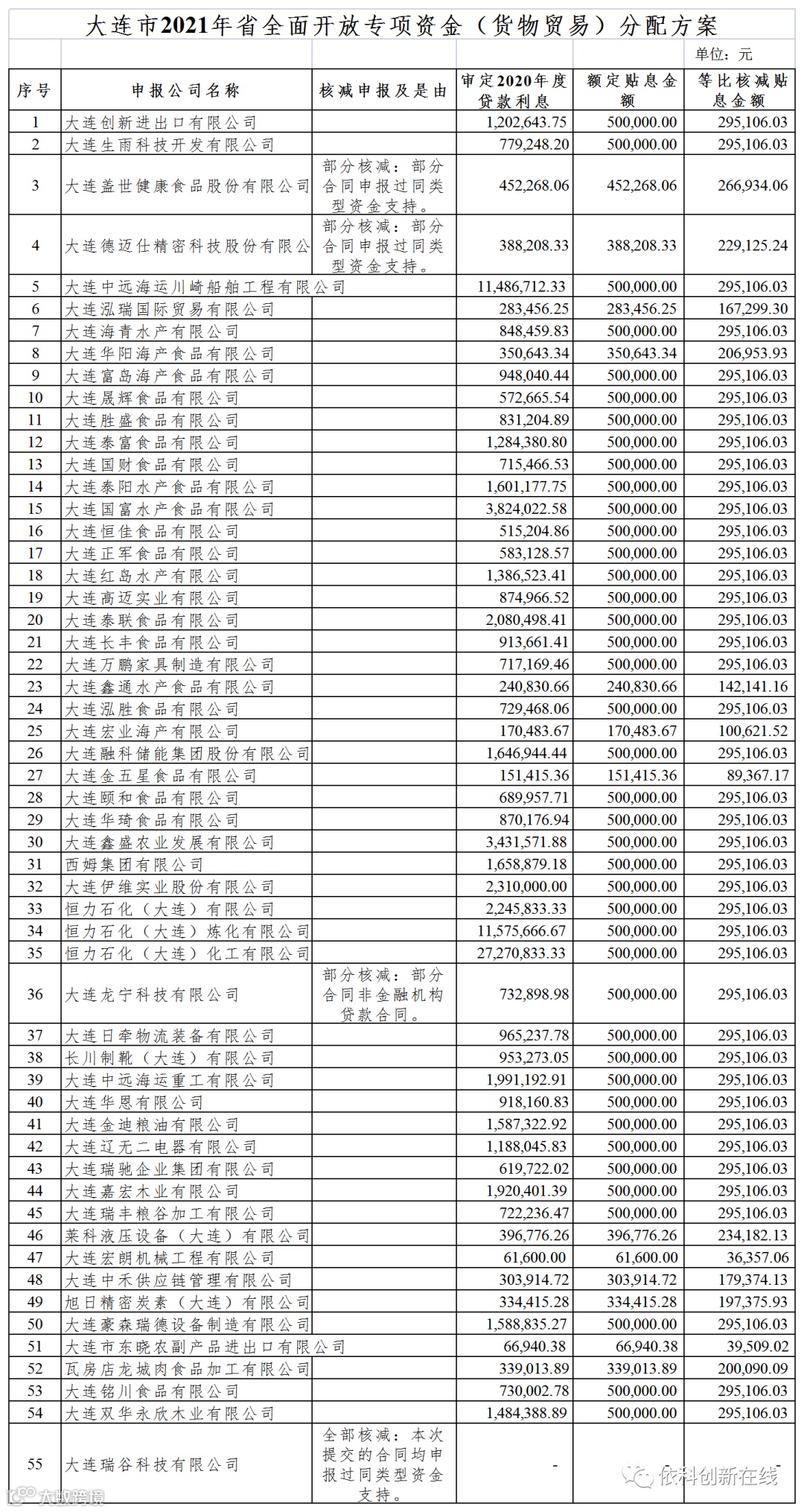
按照《大连市2021年省全面开放专项资金(货物贸易部分)实施方案》(大商务发〔2022〕58号)的有关要求,现将2021年省全面开放专项资金拟支持结果(详见附件)向社会公示。


在公示期内,任何单位和个人均可通过来信、来电、来访形式,向市商务局反应公示对象存在的问题。以单位名义反映问题的应加盖公章,以个人名义反映问题的需报本人真实姓名。


公示时间从发布日起五个工作日(2023年5月4日-5月9日)。


联系人:黄俣     联系电话:83686385

联系地址:大连市西岗区唐山街2-6号501室


附件:大连市2021年省全面开放专项资金(货物贸易)分配方案.xlsx


大连市商务局

2023年5月4日


左右滑动查看

往期推荐

1.依科咨询 | 关于转发省科技厅《关于开展2023年第二批次雏鹰瞪羚独角兽企业培育有关工作的通知》的通知

2.依科咨询 | 关于印发《大连市科技企业孵化器评价指标体系》及《大连市众创空间评价指标体系》的通知

附件详情,请点击下方“阅读原文

内容由依科创新团队在线收集整理。版权归原创者所有。如标错来源或侵权,请跟我们联系协商或删除。

编辑|北

【声明】内容源于网络
0
0
依科创新在线
协助政府解读政策,帮助企业获得支持,促进科技成果转化,助推中小企业发展。 对制造业企业服务包括:定制创新管理体系和品牌出海及产品出口服务;对政府相关部门提供:“依科智库”服务;对高校及科研院所服务包括:专利运营、成果转化、实质性产学研联盟。
内容 4607
粉丝 0
依科创新在线 协助政府解读政策,帮助企业获得支持,促进科技成果转化,助推中小企业发展。 对制造业企业服务包括:定制创新管理体系和品牌出海及产品出口服务;对政府相关部门提供:“依科智库”服务;对高校及科研院所服务包括:专利运营、成果转化、实质性产学研联盟。
总阅读8.7k
粉丝0
内容4.6k