目录
1. 带宽的物理本质是什么?
2. 带宽的数学解释是什么?
2.1 电流环传递函数
2.2 带宽定义
2.3 阶跃响应与上升时间
3. 带宽提升有什么好处呢?
4. 带宽可以无限提升吗?
4.1 软件层面主要存在带宽与稳定性的矛盾:谐振频率与相位裕度的限制(相位裕度≥45°)
4.2 硬件层面存在噪声放大与硬件限制(开关频率限制)
5. 功率器件的开关频率如何约束带宽?
5.1 采样定理与开关频率基础约束
5.2 器件动态特性对带宽也会有影响
5.3 开关损耗与热管理能量约束
5.4 PWM调制分辨率与死区时间限制开关频率
5.5 外围驱动电路与信号传输也会对开关频率有限制
6. 总结

01 带宽的物理本质是什么?
带宽的物理本质是系统"反应速度"的量化,提升带宽相当于缩短电流控制的“神经传导时间”,但需要确保“神经系统”(硬件与算法)能承受高频信号的干扰与谐振风险。
其物理本质是电磁能量快速转换能力与控制信息实时处理能力的交集,在电机侧受限于电感储能特性,功率侧受限于功率器件开关速度,控制侧受限于采样计算延迟与噪声抑制需求;提升带宽可以通过优化电机设计(如低电感设计),硬件设计(高速ADC,高开关频率功率器件),算法(如前馈补偿,卡尔曼滤波)等方法,在响应速度与稳定性之间找到平衡点。
02 带宽的数学解释是什么?
2.1 电流环传递函数
假设电流环为典型二阶系统(考虑电机电感L,电阻R和PID控制器),其开环传递函数可以表示为:
其中,Kp, Ki,Kd为PID控制器参数,Ls+R为电机电枢绕组回路阻抗模型。闭环传递函数为:
若忽略反馈环节延时(H(s)=1),简化为二阶系统标准形式为:
其中,两个参数分别是自然谐振频率与阻尼比。
2.2 带宽定义
控制系统带宽是指闭环幅频特性下降到0dB值的-3dB时的频率,即幅值衰减到0.707倍时的频率。对于二阶系统,带宽与自然频率,阻尼比的关系为:
当阻尼比较小时(如0.5),
,即带宽与自然频率正相关。
带宽是系统频率响应的关键参数,其与自然频率正相关,而系统响应时间(如上升时间)与自然频率成反比,所以带宽越大,自然频率越大,上升时间越短,系统响应越快,带宽与响应时间成反比。
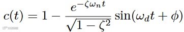
2.3 阶跃响应与上升时间
二阶系统对单位阶跃信号的响应表达式为:
其中,
为阻尼振荡频率,
上升时间tr(从10%到90%稳态值的时间)近似公式为:
当阻尼比固定时(如工程中定义阻尼比为0.707以兼顾响应速度与超调),
,由于
,所以:
结论:带宽越高,上升时间tr越短,即电流响应速度越快。
03 带宽提升有什么好处呢?
带宽提升可以提升响应速度,电流跟踪能力增强,电流波形失真较小,显著提升动态响应速度;负载扰动抑制更快,电网谐波抑制能力增强,提升抗干扰能力与鲁棒性;动态响应快,抗扰能力强, 适用于高动态需求场景(如机器人,航空航天伺服系统等)。
提升带宽相当于减小系统惯性(如电感影响),加快控制信号的处理速度(采样与计算),从而缩短电流对指令的响应延迟,类比于“神经传导速度加快”。
电流环的"神经传导时间"本质是控制信号从指令输入到电流输出的延迟,对应系统的响应时间,带宽越高,系统对高频指令跟踪能力越强,相当于缩短了“指令-执行”的延迟。
电感L是电流环的主要惯性元件,L越大,电流变化越慢(di/dt=V/L),等效于时间常数τ=L/R增大,带宽1/τ降低;通过控制器的补偿作用,增大PID中的比例系数Kp或者微分系数Kd,可等效减小系统惯性(类似“强行加速神经传导”),提升自然频率从而增加带宽,但同时需要调整阻尼比以保证稳定性。
04 带宽可以无限提升吗?
带宽提升需要在谐振振荡,系统稳定性(相位裕度),噪声抑制(硬件精度),功率器件限制(开关频率)之间平衡,并非越高越好。带宽提升的上限会受到两方面因素的制约。
4.1 软件层面主要存在带宽与稳定性的矛盾:谐振频率与相位裕度的限制(相位裕度≥45°)
电流环中电感L与功率器件寄生电容C构成LC谐振回路,其谐振频率为
,如果带宽
,系统会因谐振产生大幅振荡。
工程中通常要求相位裕度
,即当频率
时,相位滞后需要满足:
,这限制了带宽的上限,需要通过超前校正(如PID微分环节)提升相位裕度。
4.2 硬件层面存在噪声放大与硬件限制(开关频率限制)
高带宽会放大电流采样噪声(如ADC量化噪声,电缆干扰等),噪声频率密度与带宽的平方根成正比(
);例如,带宽从10kHz提升至100kHz,噪声电压增加约3倍,需要搭配高精度传感器(如24位ADC)或者卡尔曼滤波;为了满足高带宽相关需求,需要优化采样电路与滤波算法。
功率器件的开关频率限制也会约束带宽:包含四个方面,影响采样频率,引入延迟环节,限制信号传输效率及系统稳定性。
数字控制系统中,采样周期Ts和计算延迟Tc构成额外的滞后环节,等效传递函数为:
高带宽要求
,即需要提高采样频率(如从10kHz到20kHz),减少控制周期内的信息滞后,类似“缩短神经信号的采样间隔”。
05 功率器件的开关频率如何约束带宽?
5.1 采样定理与开关频率基础约束
带宽理论上限的香农采样定理,若采样频率
,则带宽上限被限定为
5.2 器件动态特性对带宽也会有影响
当系统频率升高时,相位滞后线性增加,若器件延迟时间过长,会导致系统相位裕度不足,闭环带宽被迫降低以保证稳定性;同时功率器件寄生电容和线路寄生电感在高频开关时容易形成LC振荡回路,当开关频率接近LC谐振频率时,会产生电压尖峰和电流震荡,导致器件过压损坏或者控制信号失真,实际应用中为避免振荡,开关频率通常需要低于谐振频率的1/10。
5.3 开关损耗与热管理能量约束
功率器件开关损耗与开关频率成正比,
,为避免过热,必须降低开关频率,进而限制采样频率与系统带宽;器件的热管理系统(如散热器,冷却介质)存在热时间常数,当开关频率升高导致损耗快速增加时,若热时间常数较大(如自然冷却场景),热量积累会使器件温度持续上升,迫使系统降频运行。
5.4 PWM调制分辨率与死区时间限制开关频率
为避免功率器件桥臂直通,需要设置死区时间,死区时间会导致输出电压与指令电压之间产生误差,该误差随开关频率升高而加剧(死区时间不变为1us时,死区时间占周期的比例增加),会使得电压畸变更严重,导致电流环的开环增益在高频段衰减加快,闭环带宽降低。
5.5 外围驱动电路与信号传输也会对开关频率有限制
驱动电路能力不足(如驱动电阻过大,电压电压过低)会使得开关过程中电压/电流变化率降低,限值系统对快速变化信号的响应能力,等效于降低系统带宽;驱动信号在PCB走线时存在延迟和反射,当开关频率升高至数百kHz以上时,传输线长度若超过波长的1/10,会产生严重的信号畸变,为避免反射,需要对传输线进行阻抗匹配,这在高频下实现难度大,迫使降低开关频率以满足信号完整性要求,而限制系统带宽。
06 总结
电机及驱动控制的基本原理是相同的,比如为了提高电机功率密度,通常采用永磁同步电机,电机控制基于磁场定向的FOC控制,驱动方式采用MOSFET或者IGBT的电力电子开关;然后当电机及驱动控制系统应用在不同的场景时,其对控制的要求是不同的,比如在主驱动的应用场景中,要求减小NVH和提升扭矩精度,扭矩控制模式是最常用的模式;而在底盘主动悬架的应用场景中,电机驱动需要首先将电能转换为液压能量,而且系统能够快速高效响应路面情况对车辆的动态变化要求,因此转速控制及快速响应在这种场景中会有更高要求,为了达到快速响应的目标,通常采用提高带宽的方式来实现。
本文对带宽的数学和物理含义,提高带宽的方式以及约束带宽进一步提高的因素,为主动悬架液压泵的电机控制系统能够起到一定指导意义。
-
汽车黑科技大PK:比亚迪、蔚来、保时捷,谁才是主动悬架电驱之王? -
如何应对汽车垂向控制功率需求持续升高 | 主动悬架供应商RAPA揭秘 -
如何使RAPA的主动悬架真正实现电控化? | 液压泵控制器供应商Silver Atena揭秘
-
如何为RAPA主动悬架的CDC减振器"注射"抽取油液? | 高压液压泵核心组件技术分析: 内啮合四象限齿轮泵 -
多腔空气弹簧与多阀CDC减振器 | 主动悬架执行机构技术分析 -
RAPA主动悬架专利分享及技术解析【Part 1】 -
RAPA主动悬架专利分享及技术解析【Part2】| 电控供应商Silver Stena GmbH专利 -
RAPA主动悬架专利分享及技术解析【Part3】 -
RAPA主动悬架专利分享及技术解析【Part4】
点击文末[阅读原文],加入电力电子系统应用智库
如果觉得不错或对您有用
欢迎推荐给身边朋友
右下角点个在看❤+关注
作者更新更有动力
感谢大家支持
更多相关内容在知识星球中发布
欢迎进一步查阅、学习、共同成长
如果您觉得有用
记得点个赞⬇⬇


