导言:在文章《功率模块及系统寄生电感新标杆? | 寄生电感全面解析及分析设计指南【完结篇】》中曾提到,模块杂散电感低于7nH,系统电感低于10nH,不知不觉成为了牵引逆变器的行业标杆;而当前800V等高压系统中逆变器搭载的功率模块基本上都是SiC功率模块,其封装大都为塑封的封装形式,不管是塑封半桥,还是塑封全桥。这些塑封封装的技术,其源头可以参考丹佛斯的DCM™功率模块技术平台,同时在电力电子系统应用智库撰写的文章《IGBT 功率模组参数全面解析:静态参数,开关特性,续流二极管,工作范围,参数定义及关键特性》中曾对IGBT功率模块各个特性和参数进行了技术解析,因此本系列文章将通过多次更新,对SiC功率模组的封装技术,参数特性,工作原理,工作范围,关键特性,可靠性等进行技术解析。
目录
1. MOSFET, IGBT与SiC Mosfet工作原理回顾
2. 什么是DCM™
2.1 键合缓冲器技术(Danfoss Bond Buffer技术)
2.2 ShowerPower® 和 SP3D®
2.3 电气技术
2.4 传递模塑技术(Transfer Molding Technology)
2.5 封装外形易于集成
3. SiC MOSFET静态特性
3.1 导通状态
3.2 阻断状态
4. SiC MOSFET动态特性
4.1 MOSFET开通
4.2 MOSFET关断
4.3 体二极管关断
4.4 短路行为
4.5 反向偏置安全工作区(RBSOA)
4.6 温度依赖性
5. 损耗
5.1 导通损耗
5.2 开关损耗
6. 可靠性
6.1 栅氧化层
6.2 功率循环
6.3 湿度
6.4 宇宙辐射
7. DCM™ 1000和DCM™ 1000X功率模块技术平台
7.1 DCM™ 1000功率模块技术平台
7.2 DCM™ 1000X功率模块技术平台
8. 总结

来源:Danfoss
以上相关内容资料在知识星球中发布
(可点击文末“阅读全文”加入)
苹果手机用户请添加文末微信加入
01 MOSFET, IGBT
与SiC Mosfet工作原理回顾
在文章《动力总成功率半导体解析 | IGBT, SiC Mosfet, GaN HEMT半导体工作原理》中曾提到过, IGBT是绝缘栅双极型晶体管 (Insulated Gate Biploar Transistor) 或者复合型器件:指由单极性和双极型器件集成混合而成的器件,双极结型晶体管在导通时,少数载流子和多数载流子都参与导电;而 MOSFET只有多数载流子参与导电,因此在同等电压和电流下,MOSFET 的导通压降要低于场效应晶体管的导通压降; 而 MOSFET 需要栅极驱动能量小,而 BJT 需要相对高的基极电流来维持整个导通周期;结合 MOSFET 的驱动优势 (栅极电压控制晶体管,高输入阻抗) 及 BJT 导通优势 (双载流子达到大电流,低导通压降) 就产生了 IGBT。IGBT 是 MOSFET 和 BJT 的结合体,是兼具各自优秀特性 (驱动功率小,饱和压降低) 的功率晶体管。如下图所示为IGBT的电路符号和等效电路。
MOSFET 由电压驱动,所需的驱动功率较低。同时为了降低导通内阻,提高开关速度和实现更高的耐压,根据 Si MOSFET 的结构,MOSFET 可以分为:沟槽栅结构 (Trench)MOSFET,屏蔽性沟槽栅结构 (Shielded Gate Trench ) MOSFET, 平面栅结构 MOSFET,超结结构 MOSFET;其中沟槽栅结构和屏蔽性沟槽栅结构 Si MOSFET 主要用于中低压领域,平面栅结构和超结结构 Si MOSFET 主要用于高压领域。
SiC MOSFET 被认为可以在耐压从 600V 开始,尤其是 1kV 以上的电压领域发挥作用。就优势而言,SiC MOSFET 的导通电阻低于同等耐压的超结 MOSFET,这意味着导通电阻相同的情况下可以减少芯片面积,并显著降低恢复损耗;与目前电压为 1kV 及以上 Si IGBT 主流产品相比,SiC MOSFET在关断时的损耗更低,因此可以实现高频开关,进而实现小型化应用。与 Si IGBT 相比,除了可以工作在高功率环境下,SiC MOSFET 还可以工作在高频环境下,这些特性可以转化为系统应用层面的优势,比如高功率密度,高效率和低散热。
三中半导体之间的特性比较如下图所示。
来源:TI
02 什么是DCM™
电动汽车动力传动系统的牵引逆变器都包含一个多芯片的半导体功率模块(Power Module);功率模块通常由绝缘栅双极型晶体管(IGBT),二极管或者金属氧化物半导体场效应管(MOSFET)芯片组成,典型的电路拓扑结构为半桥或者全桥式。
半导体式功率模块的主要成本驱动因素,约占模块成本的50%,因此,在不降低模块可靠性和寿命的前提下充分发挥半导体的性能,显得非常重要。要充分发挥半导体的性能,需要采用多学科方法,设计材料科学、新的键合和连接技术以及创新的热管理技术;从技术和商业角度出发,采用系统和整体的方法是找到最佳解决方案的关键。
DCM, Direct Cooled Molded Module, 直接冷却塑封功率模块。
DCM™功率模块技术平台是专为牵引应用开发的,目的在于为快速增长的混合动力汽车(HEVs),插电式混合动力汽车(PHEVs)和纯电动汽车(BEVs)等不同车型提供动力。该平台设计具有可扩展性,在同一封装内,功率可以灵活调整以适配不同的逆变器电压等级,漏极和源极之间所能承受的最大阻断电压值(Breaking Voltage, BV)范围为750V ~ 1200V,输出电流涵盖350A~900A。
来源:Danfoss
DCM™模块的特性包括:采用ShowPower冷却技术的铜质基板,可焊接或者可螺接的功率端子选项,可焊接或者压接的辅助触点,碳化硅(SiC)和硅(Si)材质的多源芯片组,旨在实现最高功率密度的半桥设计。DCM™技术平台整合了丹佛斯多项市场领先技术:包括结合了烧结芯片贴装与铜线键合的 Danfoss Bond Buffer® 技术、用于坚固封装的传递模塑工艺,以及 ShowerPower® 和 SP3D® 等液体冷却技术。
2.1 键合缓冲器技术(Danfoss Bond Buffer技术)
标准的铝线键合技术受到导线载流能力的限制,因此各家半导体制造商都已经开发出替代方案,Danfoss的DBB®技术就是以铜为基础的一种替代方案,可以在标准半导体芯片上实现铜线键合。通过在半导体顶部金属氧化层上烧结薄铜箔(键合缓冲器),之后便可以在其上进行铜线键合,同时键合缓冲器和芯片与基板的烧结在同一工艺步骤中完成,如下图所示为键合缓冲器DBB技术的实现原理,主要由是三个步骤来实现:1. 将半导体芯片烧结在直流母线(DCB)上,2. 将铜板烧结在半导体芯片上方,3. 烧结工艺完成后,可在表面用粗铜线进行键合。
来源:Danfoss
通过键合缓冲器技术,可以实现功率模块的功率循环能力比铝线键合功率模块高出15倍。这种功率循环能力可以使得模块在更高的结温下运行,而无需降低电流。增强的功率循环能力还可以减少功率模块内部的半导体面积,从而降低成本;同时由于坚固的顶部铜-铜接触,其热机械应力更低;由于接触面积增大,稳态和热态热阻也更低。芯片顶部的铜箔降低了电压降,并增加了热缓冲和散热功能,从而改善了电气特性,降低了传导损耗,提高了短路性能。
来源:Danfoss
2.2 ShowerPower® 和 SP3D®
ShowerPower®是一种液冷概念,专为基于扁平底板的功率模块的直接液冷设计;其主要优势是高效的直接液冷,且功率模块底板无温度梯度。需要说明的是,直接冷却的技术是不断迭代发展而来,经历过三代不同的产品迭代,才最终到了最新的ShowerPower® 和 SP3D®冷却技术。

该概念的核心是一个包含多个蜿蜒冷却通道的部件,这些通道引导冷却液沿着待冷却表面流动。由于公差问题,ShowerPower®插入件和待冷却表面之间会存在一个小的间隙或者旁路,该间隙宽约几百微米,如下图所示;计算流体动力学研究表明,200-500微米的旁路可以改善热性能并降低压差,具体数值取决于当前的设计边界条件和设计目标。
来源:Danfoss
性能改善的一个原因是冷却通道中的旋流效应。由于雷诺数相对较低,通道内的流动为层流,从压降角度来看这是有利的,但从冷却效率来看则不然,因为经典的边界层形成会阻碍有效的热传递。但由于动量守恒,流动方向的改变迫使流体进入旋转或者旋流状态,这种现象在河流中经常可以观察到。
旁路使得流动在蜿蜒通道中形成横向于流动方向的流动,从而增强旋流效应,如下图所示;这意味着冷却液不断与冷却表面接触。通过将蜿蜒通道从塑料部件转移到底板本身,扩大有效冷却面积,可使得有效传递系数几乎翻倍,从而将结到冷却液的热阻降低25%,这也使得载流能能力比标准ShowerPower®大约提高25%,这一概念被称为ShowerPower® 3D,简称为SP3D®,如下图所示为SP3D®的基板。
来源:Danfoss
与其他液冷功率模块(如针翅冷却器)相比,SP3D®概念具有多项优势:并行冷却原理消除了与串行冷却针翅概念相关的温度梯度,如下图所示;同时还允许定制冷却,例如将冷却效率集中在局部热点,而针翅概念由于“阴影”效应无法实现这一功能;与针翅相比,SP3D®冷却通道的壁为模块带来了显著更高的机械刚度,可承受冷却系统中的高压压压力脉冲。
来源:Danfoss
2.3 电气技术
DCM™ 1000技术平台真正具备灵活性,经过优化设计,可以利用硅(Si)和混合模块(硅IGBT+SiC 二极管)以及纯碳化硅(SiC)半导体,同时保持相同的封装尺寸。
相同封装尺寸下,不同半导体组成的功率模块性能不同,比如硅芯片组可以表现出优异的性能,特别是在结合DBB®技术后,模块寿命可以大幅延长;混合模块芯片组合提供了更高的电流性能,因为SiC二极管显著降低了IGBT的导通损耗;在相同的工作点下,SiC芯片组的性能优化所有硅或者SiC变体。此外,与Si相比,SiC模块的结温可以更高,例如在短时间的boost阶段,如下图中左侧两张图为不同半导体芯片的功率模块输出电流比较,右侧两张图为不同半导体芯片的功率模块结温与输出电流的关系。
来源:Danfoss
2.4 传递模塑技术(Transfer Molding Technology)
通过将DBB®和传递模塑技术相结合,与标准键合,链接和外壳技术相比,可承受更高的结温和更极端的温度循环;功率密度可以提高,并且产生的额外功率可以通过SP3D®冷却消散。瓶颈不再是芯片焊接点和软凝胶,而是半导体芯片本身,因此借助DCM™ 1000功率模块技术平台,可以为宽禁带器件创造条件,从而使得宽禁带器件可以实现更高的结温。
2.5 封装外形易于集成
由于DCM™ 1000功率模块技术平台的外形尺寸非常紧凑,因此可以使得系统集成变得更容易,使得多种优化机械设计变得可能,可以实现平面组装到更为先进的3D设置,下面将展示几种不同的组装实例。
标准的平面配置可以实现三个模块排成一行,同时可以实现进出水口的位置灵活,如下图所示;同时需要说明的是,国内在SiC功率模块的塑封封装技术,大都与DCM™ 1000塑封技术(传递模塑技术)比较类似,如在2025TMC会议上芯联集成展出的框架式塑封三合一和顶部出pin塑封三合一,基本半导体的Pcore™2系列等。
来源:Danfoss
来源:Yole
圆形配置便于集成DC-Link母线电容,实现低杂散电感和开关对称性,如下图所示为层压母线将功率模块与电容器连接起来。
来源:Danfoss
对个更大的电机,模块还可以进一步并联连接,如下图所示为六个模块放置在电机定子内部。
来源:Danfoss
03 SiC MOSFET静态特性
3.1 导通状态
SiC MOSFET的工作原理与Si基器件基本相同,均通过栅极控制漏极与源极之间的电流流动。当栅极关断(VGS≤0V)时,沟道关闭,器件处于阻断状态;当栅极电压高于阈值电压时(VGS>VGS(th)),沟道开始开启(P区在电场作用下反向,PN结局部小时),电流可以流通;随着栅极电压升高,更多沟道被开启(更多P区反向),导致沟道电阻降低,因此总导通电阻(RDS(on))也降低。
SiC的临界场强远远高于Si,因此与Si相比,N漂移区可以做得更薄,正向压降也更低。如下图中左图所示为当VGS=VGS(th)时,部分沟道开启;下图中右图所示为当VGS=VGS(On)时,沟道完全开启。
通常希望采用更高的栅极电压,以最大限度地降低导通损耗。因为栅极电压越高,在给定电流下的漏源电压越低,如下图所示。需要说明的是,降低损耗的同时,也需要考虑与其他因素的权衡,因为更高的VGS会使得沟通更加开放,允许更高的短路电流流通,并增加脉冲期间的应力,需要快速检测并关断短路脉冲,否则会损坏MOSFET。
在大电流下,RDS(on)呈现非线性特性,是电流的函数,且随电流增大而增大。对于极高电流,MOSFET会进入退饱和状态,输出特性几乎变成水平,如上图中所示的VGS=8V的曲线所示,退饱和水平随栅极电压升高而上升,随温度升高而下降,如上图中,在VGS=8V时,ID与VDS的曲线急剧弯曲,而在VGS=15V时,这种效果并不明显。
对于损耗计算,一般会忽略MOSFET的退饱和效应,在给定温度下选取一个RDS(on)值;由于非线性工作区域通常在设计之初选型时就已经避开,因此使用单一RDS(on)值带来的误差相对较小,且计算更加简单。
SiC MOSFET的特性会随着温度变化,影响最为显著的是导通电阻RDS(on)。这种影响体现在器件正向和反向的电压电流特性中;RDS(on)具有显著的正温度系数,即温度升高时,RDS(on)也增大,如下图所示,这为芯片并联和模块提供了固有的电流平衡能力。
MOSFET的P型掺杂体区和N型掺杂漂移区形成一个PN二极管,这个体二极管在MOSFET反向偏置是正向导通。体二极管的行为类似典型的PN二极管,但受栅极影响时存在一些附加效应,如下图所示,绿色框标出了MOSFET内部本质上为PN二极管的垂直部分;当栅极电压为负时,只有二极管激活;存在反向电流时,空穴产生,电流流通,且电流随正向压降呈指数增长。
3.2 阻断状态
SiC的击穿电场强度(V/cm)明显高于Si,这一特性可以用于制造更高阻断电压的器件,或在相同阻断额定值下制造更薄的器件,从而降低损耗。SiC器件发展的趋势是减小厚度以实现更低的RDS(on)值。
Si器件的漏电流(ICES)在温度每增加11℃时增加一倍,这可能导致在高温下器件的热失控,例如短路时出现的极端结温,即使器件在开发初期通过了相关的双脉冲测试;而SiC MOSFET的漏电流通常要小很多,且增长速率也低于Si器件,这是SiC器件的一个重要特性,使其能够实现更高的结温限制。
04 动态特性
4.1 MOSFET开通
开通期间,漏极电流与栅源电压直接相关。栅极的快速充电可导致高达 30…50kA/µs 的 di/dt,这是 IGBT 的 5 到 10 倍;使用集成体二极管作为换流器件时,MOSFET 中也会产生恢复损耗;而碳化硅 SBD 几乎不产生反向恢复电流(Irr),与 MOSFET 配合使用时,MOSFET 的开通电流大幅降低,因此开通损耗(Eon)也会降低。
4.2 MOSFET关断
与 IGBT 相比,MOSFET 的关断损耗(Eoff)相当低。这是因为 MOSFET 是单极器件,仅依靠电子载流;而 IGBT 中电子和空穴共同载流,降低了导通电压,但关断时电子 - 空穴对及由此产生的尾电流会导致显著更高的关断损耗;由于没有电子 - 空穴等离子体,MOSFET 可以更快关断,且损耗更低。与 IGBT 不同,漏极电流和漏源电压的 di/dt 和 dv/dt 可通过栅极很好地控制。
4.3 体二极管关断
与 IGBT-PN 二极管组合相比,仅包含MOSFET(不使用SBD)时,其损耗显著降低,且无需额外碳化硅芯片的成本。
4.4 短路行为
短路期间,数百千瓦甚至兆瓦的功率会耗散到芯片中,导致结温可能达到数百摄氏度;短路期间的发热量是直流母线电压、短路电流、脉冲持续时间和芯片热质量等因素的函数。
短路期间的功率耗散几乎完全发生在沟道结构内,仅加热芯片表面,而非像 IGBT 那样加热整个体积;为实现最低的RDS(on),通常使用更高的栅极电压,但缺点是短路时会产生更高的电流。此外,碳化硅 MOSFET 芯片比同等额定值的 IGBT 小得多,电流密度更高。因此,碳化硅 MOSFET 在更短的脉冲下就会达到临界温度,有些碳化硅 MOSFET 仅允许最高 2µs 的短路持续时间。
4.5 反向偏置安全工作区(RBSOA)
碳化硅 MOSFET 在 RBSOA 期间的电压过冲可能高于类似的 IGBT;碳化硅 MOSFET 的开关速度往往高得多,导致更高的 di/dt 和 dv/dt,这可能在关断期间引起振荡,导致电压尖峰可能超过器件的额定值。
使用碳化硅器件时,必须格外注意最小化换流回路的杂散电感,并保持器件间的对称性,这将有助于减少电压过冲并维持电流分配。因此,新的发展趋势是采用低剖面封装。
4.6 温度依赖性
125℃和 150℃时的开关损耗值非常接近,如下图所示;然而,开关损耗具有轻微的负温度系数,这是因为阈值电压的负温度系数意味着高温下栅极电流更高。在开关损耗占主导的高开关频率应用中,这是一个缺点,因为热芯片会承担更多电流,损耗也更高。
为确保良好的动态均流,必须格外注意使并联模块尽可能对称;碳化硅 MOSFET 比硅 IGBT 更高的开关速度意味着这种需求更为迫切。
05 损耗
SiC MOSFET的损耗计算与Si基IGBT类似,总损耗分为导通损耗和开关损耗。与IGBT的不同点在于,MOSFET能够在反向导通时通过沟通传递负向电流(源极到漏极),因此反向电流可以通过在MOSFET沟道,体二极管和外部SBD中三种方式流动。
5.1 导通损耗
在以下讨论过程中,使用电流分配因子Ki表示总电流中流过每个器件的部分:
正向导通时,KiMOSFET=1, Kibodydiode=0;反向导通时,KiMOSFET和Kibodydiode都小于1,具体取决于MOS沟道和体二极管之间的电流分配。
正向导通时,由于MOSFET没有PN结引起的固有正向压降,沟道中的导通损耗仅考虑导通电阻的计算;需要根据电路拓扑,开关模式和工作条件计算通用占空比:
死区时间内,半桥电流中上下MOSFET的沟道均关闭,因此任何负电流只会流过体二极管(即KiMOSFET=0, Kibodydiode=1)。
5.2 开关损耗
开关损耗包括MOSFET的开通和关断损耗,以及体二极管的反向恢复损耗:
6. 可靠性
6.1 栅氧化层
SiC 功率器件的栅氧化层位于栅极与沟道之间,通常由二氧化硅(SiO₂) 或氮氧化硅(SiON) 构成,其核心作用包括电绝缘隔离,形成沟道和耐高压特性,其性能直接决定功率模块器件的可靠性和寿命。
SiC栅极氧化层比Si结构更加敏感,意味着对栅极电压最大值的限制更为严格;栅极电压必须保持在数据手册规定的范围内,否则可能发生长期偏移或者损坏。
应该尽量缩短栅极电缆和PCB走线,尽可能使用双绞线和重叠接地层,以最小化栅极电感,从而减少栅极电压的过冲和下冲,这有助于确保器件的阈值不会随时间偏移。如果VGth向上漂移,芯片的RDSon也会增加,从而导致导通损耗上升,动态特性也可能改变。
6.2 功率循环
功率循环失效是一种寿命终止(EOL)失效。当封装内的半导体芯片通过电流加载,并且因电流流动产生的损耗而发热时,就会发生功率循环;在加热阶段,封装内部会产生温度梯度;关闭电流后,芯片冷却,温度梯度消失。这种温度的上下变化,加上所用材料不同的热膨胀系数,会对材料之间的互连造成应力,进而导致半导体封装的磨损。
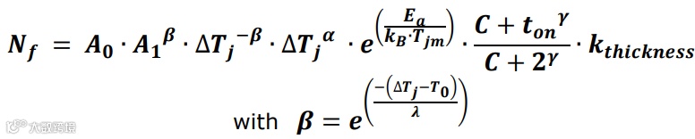
功率循环的寿命模型方程采用阿伦尼乌斯项和科芬 - 曼森定律,以及时间相关性和芯片厚度,如下图所示。
SiC是一种比Si坚硬很多的材料,其杨氏模量约为Si的三倍。Si器件的尺寸往往小于同等额定值的IGBT芯片,更小的几何形状会导致器件角落的应变更高。与Si器件相比,SiC器件通常有显著更低的损耗,并且在相同负载曲线下可实现更低的温度波动。
6.3 湿度
SiC芯片的结构和Si器件没有根本区别,其失效模式也比较类似。湿度和冷凝对电力电子系统的影响需要作为可靠性分析的一部分,湿度和冷凝是影响电力电子系统可靠性的重要因素。了解湿度和冷凝的基本原理、影响和缓解措施,可以在电力电子系统的设计、安装、调试、运行和维护过程中采取相应的措施,提高系统的可靠性和使用寿命。同时,应根据具体的应用环境和需求,选择合适的缓解措施,确保系统在各种环境条件下都能可靠运行。
6.4 宇宙辐射
当次级宇宙粒子到达地球表面时,它们会与地面上的致密物质相互作用。对于电力电子器件而言,这意味着在其阻断区域存在一定概率被这样的粒子击中,如下图所示。如果被击中,粒子最终会在几微米的距离内通过产生电子 - 空穴对(即电荷载流子),在器件中沉积其通常为几十到几百兆电子伏特(100 兆电子伏特≈16 皮焦耳)的能量。电压降会出现在等离子体边缘明显的场尖峰处。这些场尖峰可能会超过半导体的临界场强,从而通过碰撞电离产生更多电荷载流子,进而扩大等离子体区域,在这个自持过程中,会形成一种所谓的流光,使器件局部短路。这一切都发生在不到一纳秒的时间内;随后,电荷载流子立即开始径向扩散。如果这个过程与局部短路的发热速率相比足够快,短路区域会恢复到阻断状态。然而,如果扩散过程太慢,材料中就会沉积足够的能量,使半导体局部熔化,器件永久性地失去阻断能力。在实际应用中,这会导致芯片永久性损坏,如果没有足够快速的短路保护,还会引发爆炸,掩盖故障的根本原因。当高能粒子在半导体阻断时与其相互作用,会发生宇宙射线失效。这会导致芯片内部电场局部扰动,可能导致局部击穿和失效。
宇宙射线故障率的产生主要取决于三个参数:电压,温度和海拔高度。尽管Si和SiC芯片都容易受到这种失效模式影响,但SiC芯片比Si具有优势:SiC芯片往往比等效Si芯片面积小得多,更小的面积意味着粒子穿过芯片的概率更低,因此宇宙射线失效率更低。
7. DCM™ 1000和DCM™ 1000X
功率模块技术平台
7.1 DCM™ 1000功率模块技术平台
DCM™1000 功率模块是指基于DCM™的一种封装尺寸,其占地面积可以容纳1000平方毫米的半导体,其适用于 750V 硅基半导体和SiC MOSFET全系列应用场景,兼容不同半导体技术路线,方便客户根据需求,成本等选择器件。如下图所示,在该功率模块技术平台中,可以按照5类不同的可调整设计与工艺要素,支持客户对功率模块的定制与灵活扩展。
基础硬件和结构:基板层面材料同时支持Cu(铜)和Al(铝),支持冷却方式定制,比如优化流道,适配风冷和水冷等;几何尺寸方面模块整体几何尺寸可以调整,适配系统安装空间,引线框架材料可选,起到平衡成本与性能的目的;
电气与功率设计:半导体数量可以通过并联实现增减,灵活扩展功率模块功率等级,同时兼容不同供应商的Si-IGBT和SiC MOSFET芯片;电气电路连接支持拓扑优化,比如半桥和全桥等,通过调整芯片与基板和引脚的键合方式,可以实现电气性能的优化;
端子与互联:可选压接(方便自动化装配)或者焊针(适配传统焊接工艺)的方式进行端子连接;同时端子镀层可以通过镀银提升导电性,镀镍增强耐候性,达到优化导线性能和抗腐蚀性能的目标;
芯片与封装定制:模块可以适配不同功率密度需求,同时通过调整芯片上表面连接方式,可以优化寄生参数;
热管理和绝缘:通过调整热缓冲层厚度,可以优化热扩散效率;选择不同的陶瓷基板,可以平衡绝缘性,导热性和成本。
该功率模块技术平台的关键参数包括:阻断电压支持750V和1200V,可以适配不同电压等级的电机控制器应用;额定电流可以达到350~700Arms,这种功率输出可以满足中高功率的应用;其母线端子可以根据客户需求进行定制,满足客户多样化定制化电气连接和集成需求;半导体芯片支持多种半导体器件,强调平台兼容性,特别是同样也适配SiC器件;通过DCM功率模块技术平台,可以实现模块杂散电感小于5nH,系统环流回路杂散电感小于8nH。
7.2 DCM™ 1000X功率模块技术平台
在前面内容中提到过,DCM™1000可以为不同输出功率的牵引逆变器使用外部尺寸相同的功率模块,而无需重新设计冷却器等机械部件,这一特性适用于DCM™1000(750V)和 DCM™1000X(1200V)两种型号,后缀“X”代表其更大的电气间隙和爬电距离;而 DCM™1000X 则适用于 1200V 半导体(包括硅基和碳化硅基)。
结合DCM™ 1000X功率模块进行双脉冲测试,可以得出该功率模块无需外外接肖特基二极管和栅极电容,模块内部集成度高,可以简化系统设计,适配高频紧凑场景;可以通过独立栅极电阻调整开关速度,需要高频和低损耗是,可以减小栅极电阻,加快开关,需要抑制EMI电磁干扰时,可以增大栅极电阻,放缓开关速度,灵活适配不同系统对效率和EMI的平衡需求;多芯片并联应用时,寄生参数会引发高频振荡,导致电压电流尖峰,该模块平台可以完全抑制芯片间交叉振荡(>200MHz高频场景);支持在850V高压和175℃结温下切换2倍额定电流。
8. 总结
新能源汽车的核心动力为电驱动系统,电驱动系统的核心功率部件为功率模块,在功率模块芯片半导体技术转向第三代款禁带半导体的同事,功率模块的封装技术也在不断地革新迭代。在IGBT时代,HPD封装技术凭借易于集成,具有较高兼容性与灵活配置的优点,在400V IGBT车型上大展拳脚,同时,各个主机厂为了配置产品平台迭代,800V SiC车型的功率模块选型,在一开始也同样会选择HPD封装,方便产品尽快落地验证;随着电驱动性能不断的各种“卷”性能,包括卷效率,卷功率密度,卷杂散电感,卷价格等,为了更好地发挥SiC器件的高频开关特性,降低开关损耗和电压尖峰,各个主机厂开展了从整车-电机控制器-功率模块的联动设计,目的是采用杂散电感较低的封装技术,实现更高的系统杂散电感优化,进而可以提升整车续航能力。本文通过对行业内较早的可以限制降低杂散电感的DCM功率模块进行解析,使得相关从业者了解该功率平台相关技术,从而为各个车型自主设计低杂散电感的功率模块提供一些技术参考。后续本公众号将选取行业内常用的一款SiC功率模块数据手册,对SiC功率模组的各个技术参数进行解析,方便各位在使用SiC功率模组时高效选型和应用,感谢各位持续关注。
-
虚拟开发及验证第1讲:通用汽车虚拟标定电驱动系统 -
理想汽车增程式技术路线实践与思考 | SSSAET 2025会议材料总结分享 -
蔚来900V高压平台与电驱动系统开发 | SSSAET 2025会议材料总结分享 -
人工智能时代,逆变器如何变身智能体?| 电力电子及其数字化实现路径【完结篇】 -
功能安全机制在控制器设计中如何落地? -
上海车展电驱动动力总成总结 -
数字孪生技术与虚拟控制器技术:如何在电驱动系统开发中应用? -
3相电机到6相电机:增加故障容忍(Fault Tolerant) -
机器人电机控制功能安全系统设计方案 | TI助力节省至少6个月功能安全认证 -
扒一扒什么是获得千万大奖"小米超级电机V8s"的智能门极驱动?
-
电力电子仿真工具选择指南 | 七大电力电子电路仿真软件技术分析 -
电机控制数据采集与分析 | 均方根值,无功功率和视在功率与滤波器截止频率关系技术解析 -
工程机械电机控制器应用 | 逆变器基础功能介绍 -
功率模块及系统寄生电感新标杆? | 寄生电感全面解析及分析设计指南【Part 1】 -
无电解电容永磁电机驱动控制技术报告分享 -
IGBT 功率模组参数全面解析:静态参数,开关特性,续流二极管,工作范围,参数定义及关键特性 -
高压隔离驱动芯片 | 栅极驱动强度可调功能技术解析 -
如何应对MCM及SIP封装半导体可靠性? | 汽车应用多芯片模块认证要求AEC Q104 技术解析
-
动力总成功率半导体解析 | IGBT, SiC Mosfet, GaN HEMT半导体工作原理 -
功率半导体技术解析 | Mosfet, SJ Mos, IGBT, SiC and GaN半导体结构 -
功率半导体技术解析 | 安世半导体汽车特定应用MOSFETs和宽禁带半导体【完结篇】 -
汽车电子可靠性测试认证规范AEC-Q100全面解析 -
电力电子转换单元功率模块鉴定标准AQG 324技术解析 -
TMC 2025 功率半导体相关技术材料分享 -
汽车分立半导体应力测试认证规范:AEC-Q101全面解析 -
如何应对MCM及SIP封装半导体可靠性? | 汽车应用多芯片模块认证要求AEC Q104 技术解析 -
动力总成功率半导体解析 | IGBT, SiC Mosfet, GaN HEMT半导体工作原理
点击文末[阅读原文],加入电力电子系统应用智库
如果觉得不错或对您有用
欢迎推荐给身边朋友
右下角点个在看❤+关注
作者更新更有动力
感谢大家支持
更多相关内容在知识星球中发布
欢迎进一步查阅、学习、共同成长
【苹果手机用户请添加以下微信加入】

如果您觉得有用
记得点个赞⬇⬇

