目录
1. DCDC 变换器介绍及分类
-
1.1 DCDC变换器,线性稳压器与LDO -
1.2 DCDC变换器分类
2 非隔离DCDC变换器基本结构
-
2.1 Buck降压变换器 -
2.2 Boost升压变换器 -
2.3 Buck-Boost降压升压变换器 -
2.4 Buck降压变换器 vs Boost升压变换器 vs Buck Boost降压升压变换器 -
2.5 Cuk变换器 -
2.6 Sepic变换器 -
2.7 Zeta变换器 -
2.8 非隔离DCDC变换器总结
3 非隔离DCDC变换器换流及特性分析(本次更新内容)
-
3.1 Buck变换器连续与不连续模式特性分析 -
3.2 Boost变换器连续与不连续模式特性分析 -
3.3 Buck-Boost变换器连续与不连续模式特性分析 -
3.4 二象限(双向),四象限,交错并联
4 变压器隔离型DCDC变换器(待更新)
01 DCDC 变换器介绍及分类
DC/DC变换器基本知识梳理 | 基本结构,换流及特性分析,隔离与非隔离【Part 1】
02 非隔离DCDC变换器基本结构
DC/DC变换器基本知识梳理 | 基本结构,换流及特性分析,隔离与非隔离【Part 2】
03 DCDC变换器换流及特性分析
在进行不同类型DCDC变换器换流特性分析之前,需要进行假设一定的前提条件,这对后续分析会比较方便,前提条件包括:
-
变换器运行在稳态; -
各元器件均为理想元件,线路阻抗为0; -
开关频率足够高,每个开关周期中电感电流,电容电压近似不变; -
稳态条件下,各开关周期电感,电容储存与释放能量平衡,电感电流和电容电压在各开关周期同一时刻保持恒定。
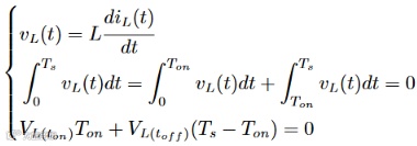
伏秒平衡:一般指电感电压的伏秒平衡,即稳态条件下,各开关周期内电感储能为0,不同开关周期间电感电流保持恒定,即不同开关周期间电感电流变化为0(开通和关断阶段电流变化总和为0);
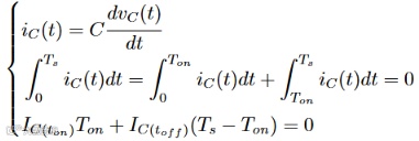
安秒平衡:一般指电容电流的安秒平衡,即稳态条件下,各开关周期内电容储能为0,不同开关周期间电容电压保持恒定,即不同开关周期间电容电压变化为0(开通和关断阶段电容电压变化总和为0);
3.1 Buck变换器连续与不连续模式特性分析
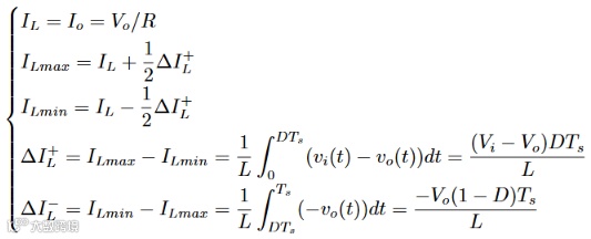
不同变换器中,电感选型主要考虑电感感量和电流,电容选型主要考虑电容容值及耐压程度。
对于Buck变换器,根据基尔霍夫电流定律,流经电感的电流将会分流到电容和负载电阻,对于电感电流中的直流分量,由于电流变化频率接近于0,所以电容支路的阻抗远大于负载电阻阻抗,所以可以近似认为电感电流的直流分量全部流入电阻;对于电感电流中的开关频率分量,开关频率越大,电容容抗越小,这种情况下,电容支路阻抗远小于负载阻抗,所以可以近似认为电感电流的开关频率分量全部流入电容。
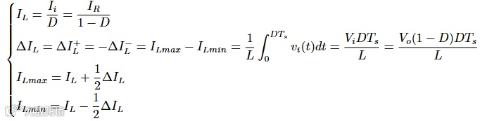
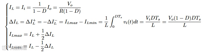
所以Buck变换器中,电感电流的平均值即为流经负载电阻的直流电流分量,电感电流的脉动值即为流经电容的开关频率分量的最高值和最低值,电流平均值和电感电流脉动波形,电流最大值,电流最小值以及计算公式如下所示。
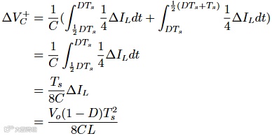
如下图所示,Buck变换器中电容电流为电感上脉动的高频开关电流,而电容电压脉动为电流的积分,如下公式所示。
Buck变换器在不连续模式下会有三种工作模式:S导通模式时直流电压源通过S向L及R和C提供能量,S关断模式时L通过二极管向R和C提供能量,S关断(不连续)模式时仅靠C向R提供能量,如下图所示。
S关断(不连续)模式时,开关S闭合期间,电感L和电容C上的电压电流与连续情况下Buck电路工作状态一致;开关S断开后,若电感储存能量释放完而下一周期开关S导通信号还未到来,则电感L电流为0,二极管截止,负载电流仅靠电容C维持,如下图所示。
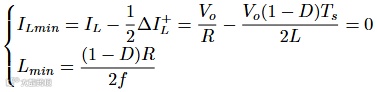
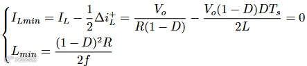
当电感电流的最小值为0,则Buck电路可能出现不连续情况,根据电感电流最小值为0,可得如下公式:
电感的最小值就是电流连续与不连续的临界值,当电感值大于等于最小值时,电感电流连续,当电感值小于最小值时,电感电流不连续。
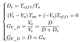
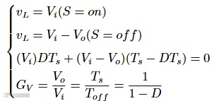
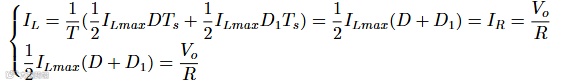
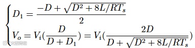
Buck变换器处于不连续模式时,定义二极管导通导通的时间为Toff1,根据伏秒平衡可得:
电感电流平均值为:
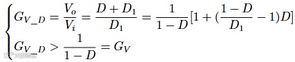
如下图所示,Buck变换器非连续模式下,输入与输出的关系为:
非连续模式下,电路的输出除了与开关频率相关外,还与电感大小,负载电阻大小和开关频率相关。
3.2 Boost变换器连续与不连续模式特性分析
S导通时,Boost变换器的直流源通过S向L充电,电容C向负载R放电;S关断时,Boost变换器L通过二极管向C和R提供能量;稳态条件下,电感L在一个周期内释放和吸收的能量总和为0,即电感电流变化为0,如下公式所示:
如下图所示,与Buck变换器不同,Boost变换器在开关S导通时并无电流流向输出,仅当S关断时,电感电流流向电容或者负载,电感平均电流即为输入平均电流,电感电流平均值和电感电流脉动为:
Boost电路同样存在关断(不连续)模式,在不连续模式下,仅靠电容向负载电阻提供能量,开关S闭合期间,电感L和电容C上的电压电流与连续情况Boost电路工作状态一致;开关S断开后,若电感储存能量释放完而下一周期开关S导通信号还未到来,则电感电流为0,二极管截止,负载电流仅靠电容C维持。
如下图所示,当电感电流最小值为0时,Boost电路会出现不连续情况,电感电流的最小值即为电流连续与不连续的临界值,如下公式所示,当电感小于电感最小值时,电感电流不连续,当电感大于电感最小值时,电感电流连续。
定义二极管导通这段时间为Toff1,则可以得出boost电路的电压增益为:
可以看出不连续模式下,Boost变换器的电压增益比连续模式下要大。
3.3 Buck-Boost变换器连续与不连续模式特性分析
降压升压变换器Buck-Boost电路在开关导通时,直流源通过S向电感L充电,电容C向负载R放电;开关断开时,电感L通过二极管向电容C和负载电阻R提供能量,如下图所示。
与Boost变换器类似,Buck-Boost变换器在开关S导通时并无电流流向输出,仅当开关S关断时,电感电流流向电容或者负载。开关S导通时,电感电流为输入电流,关断时为负载电流,所以电感电流平均值和电流脉动为:
不连续模式下,开关S闭合期间,电感L与电容C上的电压电流与连续情况Buck-Boost电路工作状态一致;开关S断开后,若电感储存能量释放完而下一周期开关S导通信号未到,则电感L电流为0,二极管截止,负载电流仅靠电容C维持。如下图所示。
当电感电流最小值为0时,Buck-Boost电路容易出现不连续情况。电感电流的最小值即为电流连续与不连续的临界值,如下公式所示,当电感小于电感最小值时,电感电流不连续,当电感大于电感最小值时,电感电流连续,如下公式所示。
3.4 二象限(双向),四象限,交错并联
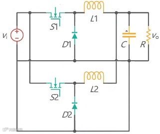
二象限DCDC变换器又称为双向DCDC变换器,一个半桥电流相当于一个Buck变换器和一个Boost变换器的组合,如下图所示。
将两个对称工作的二象限组合构成四象限DCDC变换器,其输出电压电流均可逆;当S4保持导通,S1和S2斩波控制,就可以构成可逆二象限变换器,此时AB之间电压大于0;当S2保持导通,S3和S4斩波控制,就可以构成二象限变化器,此时AB之前电压小于0,如下图所示。
多重多相技术,也称为交错并联(Interleaved)技术,是一项用于减小滤波器组件大小的技术;有利于减小输出纹波,减小电感尺寸。如下图所示为两重两相电路,相是指变换器输入侧的各移相斩波控制的支路重叠数,重是指变换器输出器的各移相斩波控制的支路重叠数。
点击文末[阅读原文],加入电力电子系统应用智库
如果觉得不错或对您有用
欢迎推荐给身边朋友
右下角点个在看❤+关注
作者更新更有动力
感谢大家支持
更多相关内容在知识星球中发布
欢迎进一步查阅、学习、共同成长


