
目录
1.DCDC 变换器介绍及分类
1.1 DCDC变换器,线性稳压器与LDO
1.2 DCDC变换器分类
2.非隔离DCDC变换器基本结构
2.1 Buck降压变换器
2.2 Boost升压变换器
2.3 Buck-Boost降压升压变换器
2.4 Buck降压变换器 vs Boost升压变换器 vs Buck Boost降压升压变换器
2.5 Cuk变换器
2.6 Sepic变换器
2.7 Zeta变换器
2.8 非隔离DCDC变换器总结
3.非隔离DCDC变换器换流及特性分析
3.1 Buck变换器连续与不连续模式特性分析
3.2 Boost变换器连续与不连续模式特性分析
3.3 Buck-Boost变换器连续与不连续模式特性分析
3.4 二象限(双向),四象限,交错并联
4.变压器隔离型DCDC变换器
4.1 反激变换器
4.2 正激变换器
4.3 双管正激,推挽,桥式变换器
5.总结
01 DCDC 变换器介绍及分类
1.1 DCDC变换器,线性稳压器与LDO
DCDC变换器(DCDC Converter)是指将一种直流输入电压(或者电流)变换成另一等级直流输出电压(或电流)的装置。
DCDC变换器也可以称为开关电源,因为其功能实现是通过控制电力电子器件的开通和关断来实现。
实际应用中,除了DCDC开关电源外,还经常听到线性稳压器和LDO,其区别解释如下:
如下图所示,稳压器是这样一种电路:无论输入电压或者负载条件如何变化,电路都能产生并保持固定的输出电压。稳压器主要有两种类型:线性稳压器和开关稳压器,二者都可以调节系统电压,但线性稳压器效率较低,而开关稳压器效率较高。
引用:网络
线性稳压器通常用于成本敏感,噪声敏感,低电流或者空间受限的应用,如耳机,可穿戴设备等消费类电子产品和物联网设备,例如,线性稳压器可用于助听器等应用,因为没有会产生意外噪声并干扰设备性能的开关元件。
从工作原理上来说,线性稳压器是通过在输入和输出之间串联一个晶体管来实现其功能,此时所串联的晶体管工作在其电压电流特性曲线的线性区,起电阻的作用,其作用在于承受输出不需要的过剩电压;过剩电压称为线性稳压器的压差,由于压差必须为正,所以线性稳压器在原理上是降压型的,线性稳压器的优势包括易于设计,可靠,经济,噪声低和输出电压纹波低。
LDO(Low Dropout Regulator)低压差线性稳压器属于线性稳压器的改进,是针对传统线性稳压器来说的,传统稳压器要求输入电压要比输出电压高出2V-3V,否则就不能正常工作,而一般认为最小压降约为200mV或者更低才能称为低压差线性稳压器。
引用:网络
由于DCDC的开关管工作在开关状态,其输出会有纹波,纹波的谐波主要是由开关管的开关频率所决定;LDO的晶体管工作在线性区,没有开关状态,所以谐波会小很多。
1.2 DCDC变换器分类
根据DCDC的输入和输出是否通过变压器等器件进行隔离,DCDC可以分为非隔离DCDC和隔离DCDC。
常见的六大非隔离DCDC变换器包括:Boost变换器,Buck变换器,Buck-Boost变换器,Cuk变换器,Sepic变换器和Zeta变换器。
日常应用中使用的DCDC变换器一般都是隔离型的变换器,包含正激Forward,反激Flyback, 推挽Push-Pull,桥式Bridge等。
引用:网络
02 DCDC变换器基本结构
DC/DC变换器(DC/DC Conveter)也称为直流斩波电路(DC Chopper), 斩波器的工作原理是通过控制开关的开通或者关断时间来直接影响输出电压,在电力电子领域,斩波器被定义为一种通过高速开关将固定直流电转换为可变直流电压的装置。从本质上讲,斩波器是一种高速开关,通过快速连接和断开负载与电源的连接,从而产生可变的电压输出。
如下图所示,从斩波电路输出电压的波形可以看出,在开关导通时,输出电压等于输入电压,在开关关断时,其输出电压为0。
2.1 Buck降压变换器
Buck降压变换器如何通过电力电子实现的过程就是Buck电路工作原理的推导过程,如下图所示,左一图中单刀单掷开关与输出电阻串联,存在的问题是输出只有最高电压和0电压,输出不够平滑;可以通过并联一个电容来稳压,如左二图,但是由于电容两端的电压不能突变,通过串联电感可以改善这个问题,如左三图;当开关断开时,需要给电感提供续流通道,通过将单刀单掷开关改为单刀双掷开关可以改善这个问题,需要把单刀双掷开关变换为电力电子半导体器件,最终如右上图所示,MOSFET导通时,通过电感向电容和负载电阻放电,MOSFET断开时,通过二极管对电感进行续流,这就是典型的Buck降压变换器电路。
引用:网络
Buck降压变换器的输入输出电压的关系为:
2.2 Boost升压变换器
升压电流等同于设计一个降流电路,用降流升压的方法推导Boost升压变换器如下图所示。
引用:网络
Boost升压变换器的输入输出电压的关系为:
2.3 Buck-Boost降压升压变换器
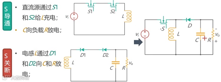
若将Buck电路接入直流源,输出作为Boost电路的输入,Buck电路的输出接负载,即可以构成前级Buck后级Boost的两级变换器,然后进一步将两级变换器简化为一级变换器电路,就可以得到Buck-Boost降压升压变换器。
在上图中,当S都导通时:直流电压源通过S1和S2给L充电,C向负载R放电;S都关断时,电感L通过D1和D2向C和R放电;对电路中MOS管,二极管,电感进行合并,可得如下图所示的Buck-Boost降压升压变换器电路。
Buck-Boost降压升压变换器的输入输出电压的关系为:
通过改变占空比D,输出电压可以比输入电压高,也可以比输入电压低,当0<D<1/2时为降压,当1/2<D<1时为升压,由于Buck-Boost变换器的负载电压极性与输入电压极性相反,这与前面的升压和降压变换器相反,因此该电路也称为反极性斩波电路,Buck-Boost常见的应用场景如下图所示。
引用:TI
2.4 Buck降压变换器 vs Boost升压变换器 vs Buck Boost降压升压变换器
如下图所示,通过将Buck电路中MOSFET,电感和二极管组成的电路逆时针旋转120°,可以得到Boost升压变换器电路,再将Boost升压变换器中MOSFET,电感和二极管组成的电路逆时针旋转120°,又可以得到Buck-Boost降压升压电路,继续旋转120°,就会又变回Buck降压转换电路;通过这个方式去理解三个电路之间的关系,可以起到方便理解和应用的目的。
引用:网络
2.5 Cuk变换器
如果将Boost电路作为输入接近直流源,输出作为Buck电路的输入,Buck电路的输出接负载,就可以构成前级Boost后级Buck的两级变换器,从而可以实现Boost-Buck升降压功能,对电路进行简化,可以得到如下电路图,该电路也称为CuK电路。
Cuk变换器的输入输出电压的关系为:
2.6 Sepic变换器
通过对Boost-Buck电路进行改造:由于Boost-Buck电路的输入与输出正负关系相反,从输出端着手调整二极管D与L2的位置可以得到Sepic变换器,如下图所示。
Sepic变换器的输入输出电压的关系为:
2.7 Zeta变换器
通过对Boost-Buck电路进行改造:由于Boost-Buck电路的输入与输出正负关系相反,从输入端着手调整MOSFET S与L1的位置可以得到Zeta变换器,如下图所示。
Zeta变换器的输入输出电压的关系为:
2.8 非隔离DCDC变换器总结
基于Boost电路,将电路中的元件组(MOSFET,电感和二极管)旋转120后得到Boost电路,再旋转后可以得到Buck-Boost电路,前端选择Boost电路,后端选择Buck电路,经过电路简化可以得到Boost-Buck电路,对Boost-Buck电路的输出端进行改造可以得到Sepic电路,对输入改造可以得到Zeta电路。
引用:网络
六种不同非隔离DCDC变换器的升降压特性,电压输入输出关系,电路中使用器件的数量如下图所示。
03 DCDC变换器换流及特性分析
在进行不同类型DCDC变换器换流特性分析之前,需要进行假设一定的前提条件,这对后续分析会比较方便,前提条件包括:
-
变换器运行在稳态; -
各元器件均为理想元件,线路阻抗为0; -
开关频率足够高,每个开关周期中电感电流,电容电压近似不变; -
稳态条件下,各开关周期电感,电容储存与释放能量平衡,电感电流和电容电压在各开关周期同一时刻保持恒定。
伏秒平衡:一般指电感电压的伏秒平衡,即稳态条件下,各开关周期内电感储能为0,不同开关周期间电感电流保持恒定,即不同开关周期间电感电流变化为0(开通和关断阶段电流变化总和为0);
安秒平衡:一般指电容电流的安秒平衡,即稳态条件下,各开关周期内电容储能为0,不同开关周期间电容电压保持恒定,即不同开关周期间电容电压变化为0(开通和关断阶段电容电压变化总和为0);
3.1 Buck变换器连续与不连续模式特性分析
不同变换器中,电感选型主要考虑电感感量和电流,电容选型主要考虑电容容值及耐压程度。
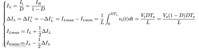
对于Buck变换器,根据基尔霍夫电流定律,流经电感的电流将会分流到电容和负载电阻,对于电感电流中的直流分量,由于电流变化频率接近于0,所以电容支路的阻抗远大于负载电阻阻抗,所以可以近似认为电感电流的直流分量全部流入电阻;对于电感电流中的开关频率分量,开关频率越大,电容容抗越小,这种情况下,电容支路阻抗远小于负载阻抗,所以可以近似认为电感电流的开关频率分量全部流入电容。
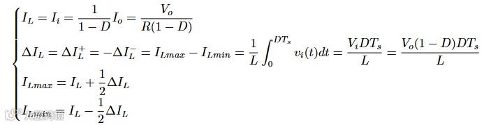
所以Buck变换器中,电感电流的平均值即为流经负载电阻的直流电流分量,电感电流的脉动值即为流经电容的开关频率分量的最高值和最低值,电流平均值和电感电流脉动波形,电流最大值,电流最小值以及计算公式如下所示。
如下图所示,Buck变换器中电容电流为电感上脉动的高频开关电流,而电容电压脉动为电流的积分,如下公式所示。
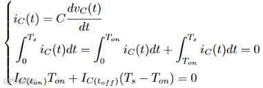
Buck变换器在不连续模式下会有三种工作模式:S导通模式时直流电压源通过S向L及R和C提供能量,S关断模式时L通过二极管向R和C提供能量,S关断(不连续)模式时仅靠C向R提供能量,如下图所示。
S关断(不连续)模式时,开关S闭合期间,电感L和电容C上的电压电流与连续情况下Buck电路工作状态一致;开关S断开后,若电感储存能量释放完而下一周期开关S导通信号还未到来,则电感L电流为0,二极管截止,负载电流仅靠电容C维持,如下图所示。
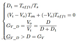
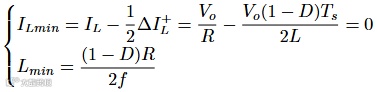
当电感电流的最小值为0,则Buck电路可能出现不连续情况,根据电感电流最小值为0,可得如下公式:
电感的最小值就是电流连续与不连续的临界值,当电感值大于等于最小值时,电感电流连续,当电感值小于最小值时,电感电流不连续。
Buck变换器处于不连续模式时,定义二极管导通导通的时间为Toff1,根据伏秒平衡可得:
电感电流平均值为:
如下图所示,Buck变换器非连续模式下,输入与输出的关系为:
非连续模式下,电路的输出除了与开关频率相关外,还与电感大小,负载电阻大小和开关频率相关。
3.2 Boost变换器连续与不连续模式特性分析
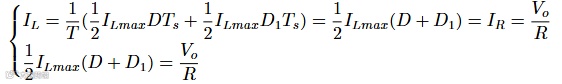
S导通时,Boost变换器的直流源通过S向L充电,电容C向负载R放电;S关断时,Boost变换器L通过二极管向C和R提供能量;稳态条件下,电感L在一个周期内释放和吸收的能量总和为0,即电感电流变化为0,如下公式所示:
如下图所示,与Buck变换器不同,Boost变换器在开关S导通时并无电流流向输出,仅当S关断时,电感电流流向电容或者负载,电感平均电流即为输入平均电流,电感电流平均值和电感电流脉动为:
Boost电路同样存在关断(不连续)模式,在不连续模式下,仅靠电容向负载电阻提供能量,开关S闭合期间,电感L和电容C上的电压电流与连续情况Boost电路工作状态一致;开关S断开后,若电感储存能量释放完而下一周期开关S导通信号还未到来,则电感电流为0,二极管截止,负载电流仅靠电容C维持。
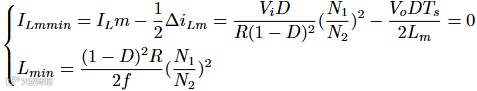
如下图所示,当电感电流最小值为0时,Boost电路会出现不连续情况,电感电流的最小值即为电流连续与不连续的临界值,如下公式所示,当电感小于电感最小值时,电感电流不连续,当电感大于电感最小值时,电感电流连续。
定义二极管导通这段时间为Toff1,则可以得出boost电路的电压增益为:
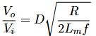
可以看出不连续模式下,Boost变换器的电压增益比连续模式下要大。
3.3 Buck-Boost变换器连续与不连续模式特性分析
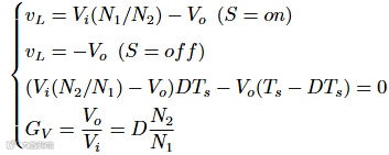
降压升压变换器Buck-Boost电路在开关导通时,直流源通过S向电感L充电,电容C向负载R放电;开关断开时,电感L通过二极管向电容C和负载电阻R提供能量,如下图所示。
与Boost变换器类似,Buck-Boost变换器在开关S导通时并无电流流向输出,仅当开关S关断时,电感电流流向电容或者负载。开关S导通时,电感电流为输入电流,关断时为负载电流,所以电感电流平均值和电流脉动为:
不连续模式下,开关S闭合期间,电感L与电容C上的电压电流与连续情况Buck-Boost电路工作状态一致;开关S断开后,若电感储存能量释放完而下一周期开关S导通信号未到,则电感L电流为0,二极管截止,负载电流仅靠电容C维持。如下图所示。
当电感电流最小值为0时,Buck-Boost电路容易出现不连续情况。电感电流的最小值即为电流连续与不连续的临界值,如下公式所示,当电感小于电感最小值时,电感电流不连续,当电感大于电感最小值时,电感电流连续,如下公式所示。
3.4 二象限(双向),四象限,交错并联
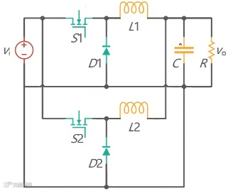
二象限DCDC变换器又称为双向DCDC变换器,一个半桥电流相当于一个Buck变换器和一个Boost变换器的组合,如下图所示。
将两个对称工作的二象限组合构成四象限DCDC变换器,其输出电压电流均可逆;当S4保持导通,S1和S2斩波控制,就可以构成可逆二象限变换器,此时AB之间电压大于0;当S2保持导通,S3和S4斩波控制,就可以构成二象限变化器,此时AB之前电压小于0,如下图所示。
多重多相技术,也称为交错并联(Interleaved)技术,是一项用于减小滤波器组件大小的技术;有利于减小输出纹波,减小电感尺寸。如下图所示为两重两相电路,相是指变换器输入侧的各移相斩波控制的支路重叠数,重是指变换器输出器的各移相斩波控制的支路重叠数。
04 变压器隔离型DCDC变换器
4.1 反激变换器
应用中常用的隔离技术有:变压器隔离,继电器或者接触器类的开关隔离,光耦合磁耦合隔离。
变压器通常有两个作用:电气隔离,提升降低电压或电流,在如下图所示的变压器理想模型中,两个绕组上的点用于指示其相对极性;对于电压,当绕组一端电压在“点”处为正时,另一端带“点”也为正;对于电流,电流进入绕组一端带“点”处,从另一端带“点”处出来。
在分析电力电子电路原理时,相比其他组件而言,电阻r1和r2和漏感L1和L2通常较小,可将其忽略,所以变压器的等效模型如下图所示;当变压器电路周期电压电流工作时,各开关周期起止时刻磁链必须相同,否则将导致磁饱和。
通过将Buck-Boost变换器中的电感使用变压器替换,并对MOSFET开关位置进行调整后可以得到反激Flyback变换器,如下图所示。
反激变换器中的MOSFET开关位于原边的较下位置是因为开关栅极驱动器的电平设置,一般MOSFET的源级都位于驱动电路的负端,置于下侧时比较容易设计栅极驱动器电路。
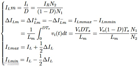
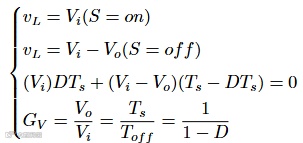
反激变化器的电路图如下图所示,开关S导通时,电感储存能量,原边电源向励磁电感Lm充电,副边由于二极管D截止,阻止副边电流形成,因此电容C给负载提供能量;开关S断开时,电感释放能量并且将能量传递到副边,即原边励磁电感放电从非同名端流入,副边电流从N2流出,并通过二极管D向电容及负载放电;这种变换器称为反激变换器,即开关导通时储存能量,开关关断时释放能量并且将能量传递到副边负载,即开关导通时不传递能量,开关关断时传递能量。
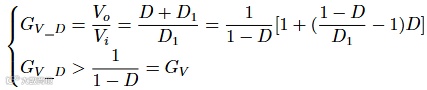
当S导通和关断时,电感Lm上的电压,伏秒平衡公式,以及电压增益为:
所以反激变换器的电压增益不仅和占空比有关,还和变压器变比有关,相比与buck-boost变换器有限的电压变化范围,反激变化器通过变化器匝数的变比,可以实现更宽范围的电压变压范围。
与Buck-Boost变换器类似,反激型变换器在开关S导通时无电流流向输出,仅当开关S关断时,电感电流通过变压器流向电容或者负载。电感电流平均值和电感电流脉动如下公式所示:
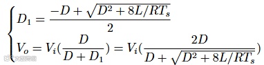
如下图所示,当电感电流最小值为0时,反激变换电路会出现不连续情况,电感电流的最小值即为电流连续与不连续的临界值,如下公式所示,当电感小于电感最小值时,电感电流不连续,当电感大于电感最小值时,电感电流连续。
不连续模式下,反激变换器的输出如下公式所示,其与变压器匝数无关;同时反激变压器不允许输出开路,必须有负载或者稳压管在负载端。
反激型变换器是基于Buck-Boost电路改变而来,中间有隔离变压器;其工作原理是开关导通时,隔离变压器励磁电感充电,开关关断时,隔离变压器励磁的能量传递到副边供负载使用,反激变化器的主要缺点是通常情况下功率不是很大, 因为中间的隔离变压器扮演存储能量的作用,如果需要存储的能量比较多,则需要较大体积的变压器。
4.2 正激变换器
如下图所示,通过将Buck变换器添加变压器,并添加磁复位电路,得到正激变压器;正激变压器共有三个绕组,其中N1和N2负责能量传递,N3用于磁复位(变压器励磁电感的剩余能量释放给电源)。
当开关S导通时(能量传递阶段),电源通过N1和N2向副边传递能量,原边励磁电感与副边电感L均被充电;开关S断开时(磁芯复位阶段),原边励磁电感放电从N1到N3回馈能量,副边电感L电流从N2流出通过D2续流;励磁电感电流不连续。如下图所示,
当S导通和关断时,电感Lm上的电压,伏秒平衡公式,以及电压增益为:
所以正激变换器的电压增益不仅和占空比有关,还和变压器变比有关;相比于Buck变换器,正激变换器既可以实现升压,也可以实现降压。
与Buck变换器类似,正激型变换器在开关S导通时能量传递到输出,开关S关断时,电感L续流;电感电流平均值和电感电流脉动如下公式所示:
如下图所示,在开关S导通时,励磁电感Lm储存能量,S关断时,励磁电感Lm向电网放电,电感Lm上的电压如下公式所示;为了保证磁芯不饱和,各开关周期结束前,要求励磁电流归零,可以得出如下公式:
电流为0的时间为t0, 说明磁场是否能否复位取决于占空比,占空比太大,会持续向电感充电,所以占空比不能取太大值,设计正激变换器时要确保励磁电流为0,电路工作在不连续模式。
4.3 双管正激,推挽,桥式变换器
正激变换器会存在一些问题,比如开关应力比较大:当S关断时,承受电压为输入电压Vi与变压器励磁电感发电动势VLm之和,因此需要选择耐压能力更高的开关管器件;还有就是需要磁复位回路:需要单独一个绕组以回馈形式实现磁复位。
如下图所示,同时两个二极管D2和D3进行钳位,由于开关管受到二极管钳位作用,因此两个开关管S1和S4关断承受的电压为Vi; 二极管D2和D3与原边绕组共同磁复位,这样的变换器称为双管正激变换器。
双管正激变换器的两开关S1和S4同步动作,双管正激具有可靠性高,造价低的特点;当开关S导通时,就是能量传递阶段,电源通过S1和S4经过变压器原边向副边传递能量;电源S1和S4同时向励磁电感Lm提供能量;开关S断开时,为能量回馈阶段,励磁电感Lm的能量通过D2和D3释放,电感L向电容C和负载R释放能量。相比与正激变换器,双管整激变换器多了一个开关管和一个二极管,但少了磁复位的线圈绕组,并且开关管不需要承受很高的电压,所以成本并不一定很高。
将两个正激变换器交错并联,即开关动作交错,同时两个变压器共用一个磁芯,就构成了推挽式变换器。
变压器原边两线圈绕组正好互为磁复位绕组,可以去除原磁复位回路,同时在开关管上反并联二极管,为磁复位提供通道,如下图所示。
进一步优化,变压器可以编程中心抽头的变压器,即双抽头变压器,整理电流就可以得到推挽式变换器。
推挽式变换器的两个开关S1和S2交错导通,一般用于低压大电流场合。如下图所示,不同时间段根据开关管S1和S2的开通和关断状态,其电流变化如下:
-
t0-t1: 开关S1导通,电源Vi通过P1和向副边传递能量,同时给励磁电感Lm1充电; -
t1-t2: 开关S1断开,Lm1的能量一方面通过共芯的Lm2和D2释放,另一方面通过P1和N2向副边传递,磁芯复位后,电感L通过副边绕组向负载C和R提供能量; -
t2-t3: 开关S2导通,电源Vi通过P2和N1向副边传递能量,同时给励磁电感Lm2充电; -
t3-t4: 开关S2关断,Lm2的能量一方面通过共芯的Lm1和D1释放,另一方面通过P2和N1向副边传递,磁芯复位后,电感L通过副边绕组向C和R提供能量。
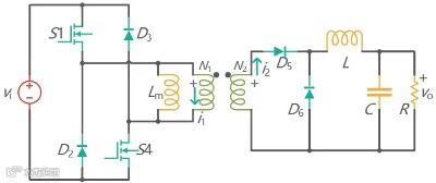
如下图所示,全桥变换器与推挽变化器的工作原理类似,不同时间段根据开关管S1和S2的开通和关断状态,其电流变化如下:
-
开关S1和S4导通:电源通过S1和S4经过变压器原边向副边传递能量,同时励磁电感储能;副边通过D5向电感L,电容C和负载电阻R提供能量; -
开关S1和S4关断:励磁电感通过D6向副边输送能量,同时也通过D2和D3回馈电网; -
开关S2和S3导通:电源通过S2和S3经过变压器原边向副边传递能量,同时励磁电感储能,副边通过D6向电感L,电容C和电阻R提供能量; -
开关S2和S3关断:励磁电感通过D5向副边输送能量,同时也通过D1和D4回馈电网。
几种不同隔离型变换器的特点和应用功率区间为:
反激型变换器元器件少,电路简单;变压器铁芯较大,器件电压应力高,一般在150W以内;
正激性型变换器是中低功率级常用,一般小于500W,与反激变换器相比,会多1-2个晶体管和滤波电感,所需铁芯相对较小,不过电压应力高,双管正激虽然能够减小电压应力,但驱动相对复杂,两开关驱动不共地;
推挽型变换器可使用功率在1000W,两个开关管共地,驱动简单,由于可双向励磁,变压器磁芯相对较小,但电压应力较高,存在潜在磁饱和问题。
全桥变换器可使用功率在2000W,开关管的电压应力即为输入电压,但所需器件较多其器件驱动不共地。
05 总结
非隔离性DCDC变换器包含Buck,Boost, Buck-Boost, Cuk, Sepic 和Zeta共六种;隔离性DCDC变换器有反激型,正激型,推挽型和全桥变换器,实际应用中可以根据需求进行选型应用,这几种不同类型变换器的关系如下图所示。
-
Tesla Cybertruck高压组件及单级拓扑车载电源PCS2解析 -
汽车充电协议及其未来发展 -
上海车展电驱动动力总成总结 -
电力电子圣经级教材:电力电子基础(Fundamentals of Power Electronics)课件分享【4】
点击文末[阅读原文],加入电力电子系统应用智库
如果觉得不错或对您有用
欢迎推荐给身边朋友
右下角点个在看❤+关注
作者更新更有动力
感谢大家支持
更多相关内容在知识星球中发布
欢迎进一步查阅、学习、共同成长
点击文末[阅读原文]即可加入


