
目录
1. DCDC 变换器介绍及分类
-
1.1 DCDC变换器,线性稳压器与LDO -
1.2 DCDC变换器分类
2 非隔离DCDC变换器基本结构
-
2.1 Buck降压变换器 -
2.2 Boost升压变换器 -
2.3 Buck-Boost降压升压变换器 -
2.4 Buck降压变换器 vs Boost升压变换器 vs Buck Boost降压升压变换器 -
2.5 Cuk变换器 -
2.6 Sepic变换器 -
2.7 Zeta变换器 -
2.8 非隔离DCDC变换器总结
3 非隔离DCDC变换器换流及特性分析
-
3.1 Buck变换器连续与不连续模式特性分析 -
3.2 Boost变换器连续与不连续模式特性分析 -
3.3 Buck-Boost变换器连续与不连续模式特性分析 -
3.4 二象限(双向),四象限,交错并联
4 变压器隔离型DCDC变换器(本次更新内容)
4.1 反激变换器
4.2 正激变换器
4.3 双管正激,推挽,桥式变换器
5 总结(本次更新内容)
01 DCDC 变换器介绍及分类
DC/DC变换器基本知识梳理 | 基本结构,换流及特性分析,隔离与非隔离【Part 1】
02 非隔离DCDC变换器基本结构
DC/DC变换器基本知识梳理 | 基本结构,换流及特性分析,隔离与非隔离【Part 2】
03 非隔离DCDC变换器换流及特性分析
04 变压器隔离型DCDC变换器
4.1 反激变换器
应用中常用的隔离技术有:变压器隔离,继电器或者接触器类的开关隔离,光耦合磁耦合隔离。
变压器通常有两个作用:电气隔离,提升降低电压或电流,在如下图所示的变压器理想模型中,两个绕组上的点用于指示其相对极性;对于电压,当绕组一端电压在“点”处为正时,另一端带“点”也为正;对于电流,电流进入绕组一端带“点”处,从另一端带“点”处出来。
在分析电力电子电路原理时,相比其他组件而言,电阻r1和r2和漏感L1和L2通常较小,可将其忽略,所以变压器的等效模型如下图所示;当变压器电路周期电压电流工作时,各开关周期起止时刻磁链必须相同,否则将导致磁饱和。
通过将Buck-Boost变换器中的电感使用变压器替换,并对MOSFET开关位置进行调整后可以得到反激Flyback变换器,如下图所示。
反激变换器中的MOSFET开关位于原边的较下位置是因为开关栅极驱动器的电平设置,一般MOSFET的源级都位于驱动电路的负端,置于下侧时比较容易设计栅极驱动器电路。
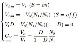
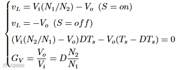
反激变化器的电路图如下图所示,开关S导通时,电感储存能量,原边电源向励磁电感Lm充电,副边由于二极管D截止,阻止副边电流形成,因此电容C给负载提供能量;开关S断开时,电感释放能量并且将能量传递到副边,即原边励磁电感放电从非同名端流入,副边电流从N2流出,并通过二极管D向电容及负载放电;这种变换器称为反激变换器,即开关导通时储存能量,开关关断时释放能量并且将能量传递到副边负载,即开关导通时不传递能量,开关关断时传递能量。
当S导通和关断时,电感Lm上的电压,伏秒平衡公式,以及电压增益为:
所以反激变换器的电压增益不仅和占空比有关,还和变压器变比有关,相比于buck-boost变换器有限的电压变化范围,反激变化器通过变化器匝数的变比,可以实现更宽范围的电压变压范围。
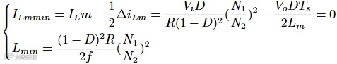
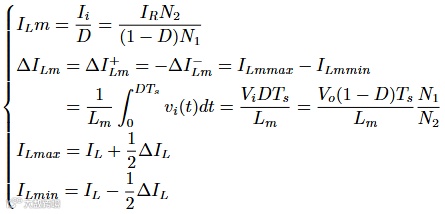
与Buck-Boost变换器类似,反激型变换器在开关S导通时无电流流向输出,仅当开关S关断时,电感电流通过变压器流向电容或者负载。电感电流平均值和电感电流脉动如下公式所示:
如下图所示,当电感电流最小值为0时,反激变换电路会出现不连续情况,电感电流的最小值即为电流连续与不连续的临界值,如下公式所示,当电感小于电感最小值时,电感电流不连续,当电感大于电感最小值时,电感电流连续。
不连续模式下,反激变换器的输出如下公式所示,其与变压器匝数无关;同时反激变压器不允许输出开路,必须有负载或者稳压管在负载端。
反激型变换器是基于Buck-Boost电路改变而来,中间有隔离变压器;其工作原理是开关导通时,隔离变压器励磁电感充电,开关关断时,隔离变压器励磁的能量传递到副边供负载使用,反激变化器的主要缺点是通常情况下功率不是很大, 因为中间的隔离变压器扮演存储能量的作用,如果需要存储的能量比较多,则需要较大体积的变压器。
4.2 正激变换器
如下图所示,通过将Buck变换器添加变压器,并添加磁复位电路,得到正激变压器;正激变压器共有三个绕组,其中N1和N2负责能量传递,N3用于磁复位(变压器励磁电感的剩余能量释放给电源)。
当开关S导通时(能量传递阶段),电源通过N1和N2向副边传递能量,原边励磁电感与副边电感L均被充电;开关S断开时(磁芯复位阶段),原边励磁电感放电从N1到N3回馈能量,副边电感L电流从N2流出通过D2续流;励磁电感电流不连续。如下图所示:
当S导通和关断时,电感Lm上的电压,伏秒平衡公式,以及电压增益为:
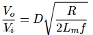
所以正激变换器的电压增益不仅和占空比有关,还和变压器变比有关;相比于Buck变换器,正激变换器既可以实现升压,也可以实现降压。
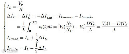
与Buck变换器类似,正激型变换器在开关S导通时能量传递到输出,开关S关断时,电感L续流;电感电流平均值和电感电流脉动如下公式所示:
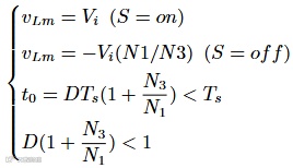
如下图所示,在开关S导通时,励磁电感Lm储存能量,S关断时,励磁电感Lm向电网放电,电感Lm上的电压如下公式所示;为了保证磁芯不饱和,各开关周期结束前,要求励磁电流归零,可以得出如下公式:
电流为0的时间为t0, 说明磁场是否能否复位取决于占空比,占空比太大,会持续向电感充电,所以占空比不能取太大值,设计正激变换器时要确保励磁电流为0,电路工作在不连续模式。
4.3 双管正激,推挽,桥式变换器
正激变换器会存在一些问题,比如开关应力比较大:当S关断时,承受电压为输入电压Vi与变压器励磁电感发电动势VLm之和,因此需要选择耐压能力更高的开关管器件;还有就是需要磁复位回路:需要单独一个绕组以回馈形式实现磁复位。
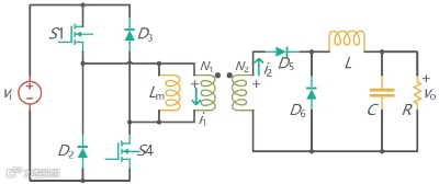
如下图所示,同时两个二极管D2和D3进行钳位,由于开关管受到二极管钳位作用,因此两个开关管S1和S4关断承受的电压为Vi; 二极管D2和D3与原边绕组共同磁复位,这样的变换器称为双管正激变换器。
双管正激变换器的两开关S1和S4同步动作,双管正激具有可靠性高,造价低的特点;当开关S导通时,就是能量传递阶段,电源通过S1和S4经过变压器原边向副边传递能量;电源S1和S4同时向励磁电感Lm提供能量;开关S断开时,为能量回馈阶段,励磁电感Lm的能量通过D2和D3释放,电感L向电容C和负载R释放能量。相比与正激变换器,双管整激变换器多了一个开关管和一个二极管,但少了磁复位的线圈绕组,并且开关管不需要承受很高的电压,所以成本并不一定很高。
将两个正激变换器交错并联,即开关动作交错,同时两个变压器共用一个磁芯,就构成了推挽式变换器。
变压器原边两线圈绕组正好互为磁复位绕组,可以去除原磁复位回路,同时在开关管上反并联二极管,为磁复位提供通道,如下图所示。
进一步优化,变压器可以编程中心抽头的变压器,即双抽头变压器,整理电流就可以得到推挽式变换器。
推挽式变换器的两个开关S1和S2交错导通,一般用于低压大电流场合。如下图所示,不同时间段根据开关管S1和S2的开通和关断状态,其电流变化如下:
-
t0-t1: 开关S1导通,电源Vi通过P1和向副边传递能量,同时给励磁电感Lm1充电; -
t1-t2: 开关S1断开,Lm1的能量一方面通过共芯的Lm2和D2释放,另一方面通过P1和N2向副边传递,磁芯复位后,电感L通过副边绕组向负载C和R提供能量; -
t2-t3: 开关S2导通,电源Vi通过P2和N1向副边传递能量,同时给励磁电感Lm2充电; -
t3-t4: 开关S2关断,Lm2的能量一方面通过共芯的Lm1和D1释放,另一方面通过P2和N1向副边传递,磁芯复位后,电感L通过副边绕组向C和R提供能量。
如下图所示,全桥变换器与推挽变化器的工作原理类似,不同时间段根据开关管S1和S2的开通和关断状态,其电流变化如下:
-
开关S1和S4导通:电源通过S1和S4经过变压器原边向副边传递能量,同时励磁电感储能;副边通过D5向电感L,电容C和负载电阻R提供能量; -
开关S1和S4关断:励磁电感通过D6向副边输送能量,同时也通过D2和D3回馈电网; -
开关S2和S3导通:电源通过S2和S3经过变压器原边向副边传递能量,同时励磁电感储能,副边通过D6向电感L,电容C和电阻R提供能量; -
开关S2和S3关断:励磁电感通过D5向副边输送能量,同时也通过D1和D4回馈电网。
几种不同隔离型变换器的特点和应用功率区间为:
反激型变换器元器件少,电路简单;变压器铁芯较大,器件电压应力高,一般在150W以内;
正激性型变换器是中低功率级常用,一般小于500W,与反激变换器相比,会多1-2个晶体管和滤波电感,所需铁芯相对较小,不过电压应力高,双管正激虽然能够减小电压应力,但驱动相对复杂,两开关驱动不共地;
推挽型变换器可使用功率在1000W,两个开关管共地,驱动简单,由于可双向励磁,变压器磁芯相对较小,但电压应力较高,存在潜在磁饱和问题。
全桥变换器可使用功率在2000W,开关管的电压应力即为输入电压,但所需器件较多其器件驱动不共地。
05 总结
非隔离性DCDC变换器包含Buck,Boost, Buck-Boost, Cuk, Sepic 和Zeta共六种;隔离性DCDC变换器有反激型,正激型,推挽型和全桥变换器,实际应用中可以根据需求进行选型应用,这几种不同类型变换器的关系如下图所示。
点击文末[阅读原文],加入电力电子系统应用智库
如果觉得不错或对您有用
欢迎推荐给身边朋友
右下角点个在看❤+关注
作者更新更有动力
感谢大家支持
更多相关内容在知识星球中发布
欢迎进一步查阅、学习、共同成长


