搜索
首页
大数快讯
大数活动
服务超市
文章专题
出海平台
流量密码
出海蓝图
产业赛道
物流仓储
跨境支付
选品策略
实操手册
报告
跨企查
百科
导航
知识体系
工具箱
更多
找货源
跨境招聘
DeepSeek
首页
>
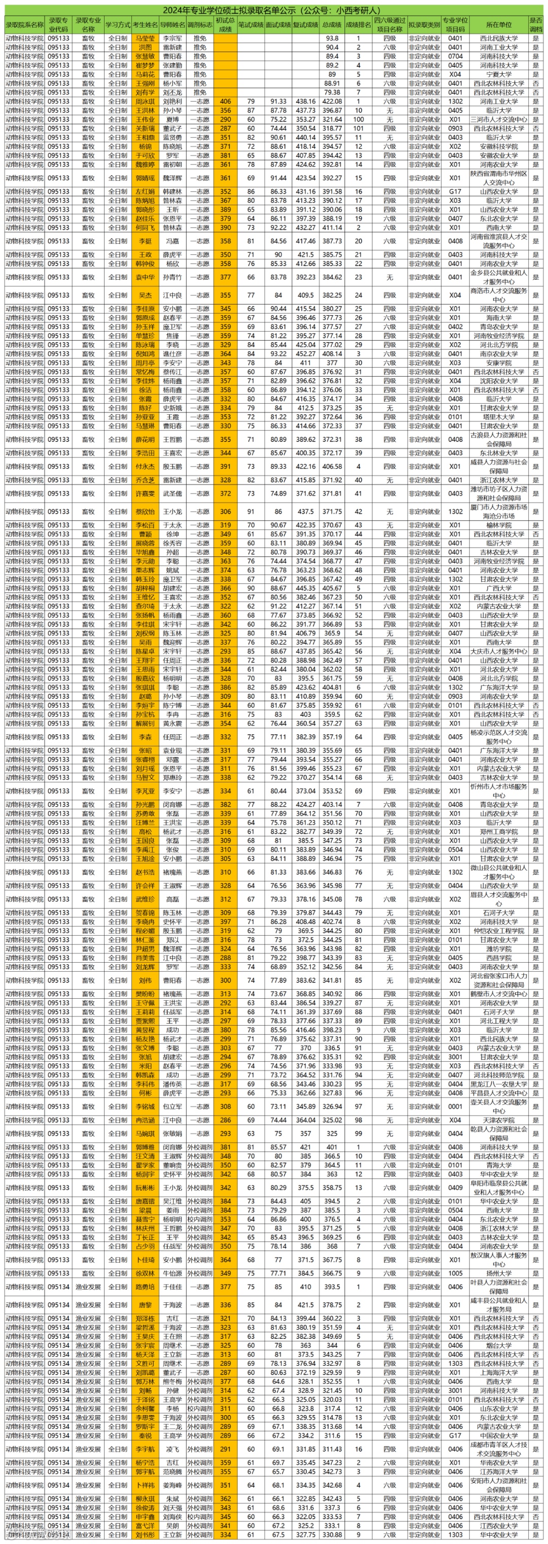
2024年西北农林科技大学动物科技学院专业型硕士研究生录取名单
>
0
0
2024年西北农林科技大学动物科技学院专业型硕士研究生录取名单
小西考研人
2024-10-31
2
导读:2024年西北农林科技大学动物科技学院专业型硕士研究生录取名单在看点击蓝字 关注我们
2024年西北农林科技大学
动物科技学院专业型硕士研究生
录取名单
在看
点击蓝字 关注我们
【声明】内容源于网络
0
0
小西考研人
西北农林科技大学在读硕博士小团体创建,主要目的是帮助西北农林科技大学考研的西农本校、外校同学。
内容
608
粉丝
0
关注
在线咨询
小西考研人
西北农林科技大学在读硕博士小团体创建,主要目的是帮助西北农林科技大学考研的西农本校、外校同学。
总阅读
1.6k
粉丝
0
内容
608
在线咨询
关注