
有关设区市发展改革委、扶贫办,国网河北省电力公司、国网冀北电力有限公司:
按照国家《关于下达第一批光伏扶贫项目的通知》(国能新能〔2016〕280号)和我省《关于组织申报村级光伏扶贫电站项目的通知》(冀发改能源〔2016〕1343号)要求,现将2016年度第二批村级光伏扶贫电站项目并网计划(见附件)予以下达,并就做好光伏扶贫项目建设有关事项通知如下:
一、 第二批村级光伏扶贫电站项目安排规模和原则
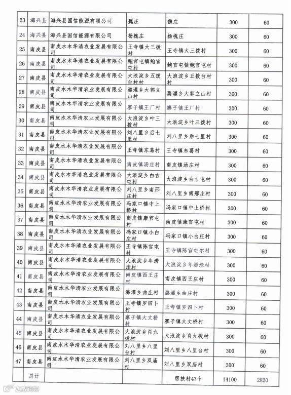
本批安排村级光伏扶贫电站并网计划项目88个,总规模258万千瓦,涉及88个村,帮扶贫困户数5165户。项目均符合《关于积极推进村级光伏扶贫电站(含户用)建设的指导意见》(冀发改能源〔2016〕1201号)有关要求,并经各市发展改革委、扶贫办联合申报,且以县为单位编制了实施方案,明确了村级电站建设地点、建设运维企业以及每户对应5千瓦,每年不低于3000元、连续20年扶贫标准。
二、做好光伏扶贫项目建设有关要求
2月5日,省扶贫开发领导小组召开了2017年第一次全体会议,就全省扎实推进脱贫攻坚工作进行了安排部署。按照要求,各市发改、扶贫部门和电网公司要站在讲政治的高度,进一步加强光伏扶贫工作组织领导,明确责任分工,制定推进措施,切实把光伏扶贫工作作为产业扶贫的一项重点任务,抓紧抓好,抓出成效。凡纳入2016年度建设计划的光伏扶贫项目,省发展改革委、省扶贫办将组成督导组,定期进行督导检查,力争早投产、早发挥作用。
对集中式光伏扶贫电站,开发企业作为项目责任主体,要加快推进项目建设,倒排工期、明确时间节点,确保在6月30日前建成并网。对不能如期建成的项目,届时一律调整计划指标,并对项目单位进行通报批评,今后不予安排新的光伏发电项目;对村级光伏扶贫电站,结合《关于下达2016年第一批村级光伏扶贫电站并网计划的通知》(冀发改能源〔2016〕1660号)要求,督促开发企业尽快落实项目场址和其他建设条件,全部项目确保3月底前如期开工,6月30日前建成并网。
附件:1.第二批村级光伏扶贫电站项目并网计划汇总表

2.第二批村级光伏扶贫电站项目并网计划明细表(分市)






