热图不止一种玩法
普通热图能看趋势,但只能展示一个维度的数据:
■ ■ ■ ■ ■
Fig1. 普通热图
如果想同时呈现物质变化和差异信息,试试「组合热图」工具,它除了常规的热图外,还能额外展示物质在比较组中的差异倍数、显著性等信息:
■ ■ ■ ■ ■
Fig2. 组合热图
颜色表示Z-score标准化后的含量(红高蓝低),右侧柱子长度代表|log₂FC|,颜色和星号标出显著性。
如果只关注一批关键物质在在多个比较组中的变化规律,那就用「拼接热图」:
■ ■ ■ ■ ■
Fig3. 拼接热图
左边展示log₂FC,右边展示Pvalue值,两组信息一目了然,聚焦核心不跑偏。
小提琴图也能“双分类”?
传统「小提琴图」适合展示单一分组下的数据分布:
■ ■ ■ ■ ■
Fig4. 普通小提琴图
在科研中,数据常常涉及双重分组(例如:不同处理条件 × 不同时间点),此时传统的单分类小提琴图就显得力不从心。这时,「双分类小提琴图」便应运而生,能够更清晰地展现两个分类变量交叉作用下的数据分布特征:
■ ■ ■ ■ ■
Fig5.双分类小提琴图
它不仅能保留原始数据的分布形态,还能清晰区分两个维度的组合效应——是交互作用?还是主效应主导?看图就知道。
雷达图也能“组团出道”
最开始我们用普通「雷达图」来展示几个关注物质在某一指标(比如log2FC、Pvalue等)上的差异,直观又简洁,但是它一次只能讲一个故事——信息维度有限:
■ ■ ■ ■ ■
Fig6. 雷达图
当你需要同时比较多个分组时「多组雷达图」就派上用场了,比如,把A vs B、C vs D两组差异结果并列画在同一张图上,不同颜色代表不同比较组,一眼就能看出哪些物质在哪些条件下变化更显著:
■ ■ ■ ■ ■
Fig7. 多组雷达图
而如果还想叠加更多维度的信息——比如log₂FC、均值、显著性、变化幅度等——那就该用「组合雷达图」,他像一个“数据洋葱”,层层展开:
■ ■ ■ ■ ■
Fig8. 组合雷达图
最外层:标注物质名称
第二层:物质在两组间log2FC值(方向)
第三层:以点大小表示物质在两组中log2FC绝对值(变化强度)
第四层:物质在两组中定量均值(表达水平)
第五层:以面积大小呈现log2处理后的均值差异
柱状图也有“镜像魔法”
差异统计柱状图,在很多场合我们都看到过:
■ ■ ■ ■ ■
Fig9. 普通柱状图
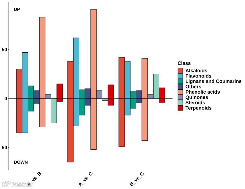
哪些物质上调?哪些下调?它们属于哪类通路?「分组镜像柱形图」完美解决这个问题:
■ ■ ■ ■ ■
Fig10. 分组镜像柱形图图
它将上调与下调的物质分别置于中轴线两侧,按分类分组排列——不仅美观,更能直观体现差异方向与类别分布,让统计结果“活”起来。
好研究,值得被更好理解。
这些图,不是为了炫技,而是为了让你的科学发现更容易被看见、被理解、被记住。
好消息是——以上所有的图,都已在迈维云平台上线:
✅ 无需代码
✅ 一键生成
✅ 支持自定义调整
只需进入「云工具」栏目,搜索对应名称,马上就能用。不管是基础款,还是看起来像加了“科技与狠活”的高阶图,其实在迈维云平台都是一键生成——没有魔法,只有好。
立即体验https://cloud.metware.cn/
如有侵权,联系删除。




