
摘要:火灾传播的数值模拟需要捕捉木材热解(产生多种气态物质)与火焰中这些物质的燃烧(维持热解过程的能量来源)之间的耦合关系。针对热解过程的实验和数值研究旨在改进对其产率及气体化学性质的预测。木材热解会产生水、甲烷、丙烷、一氧化碳、二氧化碳、苯酚、甲酚、氢气等多种化学物质。为了更精确研究火灾传播的物理机制,我们开发了一个耦合三维详细热解模型与fireFoam的数值框架。本文通过模拟木柴燃烧展示了该工具的能力。木材被建模为由纤维素、半纤维素和木质素三组分构成,每组分通过平行降解反应生成甲烷和氢气。为验证多物种热解与火焰耦合的可行性,首次简化了气体混合物模型。火焰中,甲烷和氢气的燃烧通过两个独立有限速率反应描述。火焰形态随热解气体浓度动态演化,结果表明不同热解物种的引入显著影响火焰温度和形态。
关键词:数值模拟;木材;热解;燃烧;脉动效应
炭化材料(木材及复合材料)广泛用于民用[1]和航空[2]领域。尽管这类材料有助于降低能耗和污染,推动可持续发展,但其可燃性也带来了火灾隐患。因此,预测火灾潜在风险及其对材料刚度、强度和结构抗性的影响至关重要[3]。近几十年来,研究聚焦于炭化材料在燃烧中的性能表征,包括阻燃性[4]、可燃性[5]、气体排放[6]等关键特性。火灾研究领域的主要优势在于其能够全面描述特定材料的火灾行为,涵盖引燃、火势增长、传播及熄灭等过程[7]。为此,多种数值模拟工具被开发,其中fireFoam[8]作为开源代码表现尤为突出,可用于定义几何空间内的火灾行为模拟与可视化,相关应用案例见文献[9–11]。
在数值模拟中,仅模拟火焰是不够的。需同时描述炭化材料在缺氧条件下的降解过程(即热解),并捕捉材料与环境间的耦合机制。热解会生成水、甲烷、丙烷、一氧化碳、二氧化碳、苯酚、甲酚、氢气等多种化学物质[12,13]。这些物质的生成及其浓度受外部条件(如温度、压力)显著影响,不仅改变材料自身特性,还会干扰燃烧过程。热解产生的气态燃料通过材料内部渗透并释放至外部环境,其生成速率的准确预测对模拟结果至关重要。多年来,已经开发了不同的热解模型,每种模型在描述化学反应的准确性上具有不同的特点。最简单的是单反应机制[14],该机制仅考虑单一的分解反应。然后是多组分单反应模型[15],其考虑了原料的组分差异。随着复杂性的增加,出现了竞争反应模型[16],该模型引入了竞争反应,以预测不同的产品分布,具体取决于转化条件,如加热速率和压力。最后,还有竞争多组分模型[17,18],该模型综合了原料依赖性与温度对产率的影响,实现高效表征。
热解并不是在炭化材料中需要建模的唯一过程。炭化材料的建模还需满足质量、动量和能量守恒,并考虑气体输运过程。图1展示了含炭化材料的典型燃烧问题示意图。
该问题可划分为两个区域:环境区域(燃烧发生)和材料区域(以热降解过程即热解为特征)。数值求解需采用两种不同模型。本研究选择将fireFoam与详细热解模型耦合,后者属于Lachaud等人于2011年提出的类型3模型[19],已成功应用于烧蚀热防护设计、木质纤维素生物质热解等领域[20–22]。
本文核心目标是首次提出一种耦合三维详细热解模型与fireFoam的数值框架,将详细的三维热解模型与fireFoam耦合。数值框架及两个数值模型的描述将在接下来的章节中给出:第2节将详细介绍的热解模型,第3节介绍燃烧过程。第4节给定义两模型在界面处的耦合条件。第5节通过两个案例来验证工具的能力。第一个应用旨在展示不同热解物质的引入如何影响火焰的温度和行为。第二个应用是木材原木燃烧的二维模拟。在这里,我们选择简化气体混合物,以便首次验证多组分热解过程与火焰的耦合。结果显示模型耦合良好,且物种浓度时变特性直接影响火灾行为。最后,第6节给出了结论。
本节将阐述材料区域的数值模型。该模型由一个通用的热解模型组成,允许描述多个固体相与气相之间的相互作用[22]。以下小节中将总结固体相、气体和物质的控制方程。
2.1 主要假设
该模型考虑了多相反应材料(Np固体相)与多组分反应气体混合物(Ng气体元素/物质)之间的相互作用。模型中不考虑液相。材料中存在的任何液体(水)都被建模为固体相。描述是在宏观尺度上进行的,控制方程可以从上尺度理论中推导出来。其推导依赖于领域中存在一个代表性基本体积(REV)以及尺度分离的假设,如图2所示。
2.2. 热解
假设材料由Np个固体相组成。例如,在木材细胞壁中,主要成分是纤维素、半纤维素和木质素,这些成分被建模为三个相。每个固体相si可以在缺氧条件下遵循多种热解动力学进行分解。因此,每个相i被划分为Pi个子相,以建模不同的降解机制。子相j(来自固体相i)的通用分解会根据化学计量系数ξi,j,k产生物质Ak,如下所示:
热解反应通过Arrhenius定律建模。这样,子相j在相i内的热解反应进展χi,j可以定义为:
热解过程的总进展τ的计算如下:

物质πk的总生产速率由以下公式给出:
通过对气体混合物中所有贡献进行求和,可以得到整体的热解气体生产速率。
2.3 质量守恒
我们假设气体物质与固体相之间没有异相反应,唯一的生产项来自热解。所有固体相、物质和气体混合物都应被考虑在内。它们每一个都由不同的质量守恒方程来表征。对于固体相,方程为:
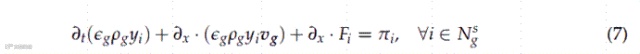
对于具有质量分数yi的通用物质,质量守恒方程为:
对于气相,质量守恒需要考虑热解生产速率。该项被添加到右侧:
2.4. 动量守恒
平均气体速度由达西定律获得:
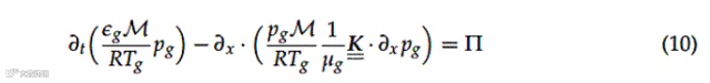
这个速度表达式可以代回气体质量守恒定律,即方程(8)。假设气体遵循理想气体状态方程,整体方程变为:
这个压力方程直接求解,而不是处理质量守恒定律(方程(8))、动量方程(方程(9))和理想气体状态方程。
2.5. 能量守恒
假设相之间满足局部热平衡(LTE)条件:Ts=Tg=T。因此,只需要一个能量守恒方程:

现在介绍用于描述环境区域的模型。控制方程是从纳维-斯托克斯方程推导而来的,经过应用大涡模拟(LES)滤波过程并使用Favre均值变量[23]。通过考虑一个通用的变量,引入以下符号:
是一个在时间周期T内的滤波变量:
以及滤波的密度加权变量:
3.1. 连续性方程
连续性方程为:
3.2. 动量守恒
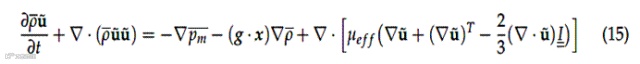
考虑到牛顿流体,方程的形式为:
由于在本研究中马赫数小于0.4[25],因此忽略了亚网格尺度应力张量的各向同性部分。
3.3. 能量守恒
该方程以焓为变量进行求解:
3.4. 不同组分运输方程
气体是不同物质的混合物。为了确定其组成,需要为每种物质建立传输方程:
3.5. 理想气体
假设气体混合物为理想气体。考虑以下状态方程:
其中使用Janaf模型来评估定压比热容:
动态粘度μ通过Sutherland粘度定律计算:
热导率由修正的Eucken近似确定[28]。热扩散率α由以下公式给出:
3.6 燃烧模型
燃烧是燃料与氧化剂(在本例中为氧气)之间的高温放热化学反应。它通过层流有限速率模型进行建模。忽略湍流波动的影响,反应速率由阿伦尼乌斯动力学表达式确定。该模型通常对湍流火焰不准确,而对层流火焰则是精确的。
通用的第z个化学反应可以写成:
该化学反应的总体反应速率为:
而物质k的反应速率为:
需要正向和反向反应速率常数k’和k’’来评估反应速率。它们的计算同样通过阿伦尼乌斯定律进行。最后,第k个反应产生的热量为:
3.7. 湍流模型
湍流通过大涡模拟(LES)方法进行建模。使用了一种单方程涡粘度模型来建模亚网格尺度应力张量。求解以下湍动能的守恒方程:
采用Boussinesq近似来建模亚网格尺度应力张量和动态粘度:
3.8. 辐射模型
在本研究中未考虑辐射模型。我们希望保持模型尽可能简单,以证明数值工具的可行性。此外,对于所考虑的模拟,火焰非常小,因此辐射贡献可能是可以忽略的。
两个区域之间的耦合在图3中示意。
在接口处,流体的速度与气体的速度进行更新,而压力则相反。从热的角度来看,耦合通过在接口处强制温度和法向热流的相等来实现。最后,对于物质浓度,耦合取决于流量方向。如果流量是从流体流向多孔材料,则多孔域内的物质浓度与流体中的浓度相等。在相反的情况下,则是流体中的物质浓度与多孔材料中的气体浓度相等。
两个测试案例被用于展示模拟工具的能力,所有细节将在接下来的小节中呈现。
5.1. 氢气VS甲烷的火焰
第一个案例考虑在同一域中燃烧两种气体物质,考虑了两个独立的有限速率燃烧反应。
第一个反应描述了甲烷(CH₄)的燃烧反应,其中O₂、CO₂和H₂O分别表示氧气、二氧化碳和水。第二个反应是氢气(H₂)的燃烧。两个反应的动力学采用阿伦尼乌斯类型的公式进行建模。相应的输入参数显示在表1中。
该域完全对应于环境区域。空气被视为流体。空气最初由21%的O₂和79%的N₂组成。在时间t= 0时,甲烷和氢气在两个不同的位置以500 K的温度注入该域。这个温度足够高,可以触发这两种燃烧反应。两个火焰在域中传播,如图5所示。
考虑了不同的时间间隔。在每个时间间隔中,火焰根据温度着色。这两个火焰是不同的。左侧的火焰,即氢气燃烧产生的火焰,较小且产生的能量比甲烷燃烧产生的火焰更多。这只是对理论已知内容的确认[30]。氢气混合物燃烧速度快于甲烷混合物,并且达到更高的温度(2500 K对比2100 K)。
这个简单的案例证明了在整体问题中引入不同热解物质的重要性。火焰以及整体模拟在很大程度上依赖于所考虑的物质。
5.2. 木材燃烧
第二个案例旨在模拟木材原木的燃烧,计算域在图6中示意。
一个孔隙率为εw= 0.5 的木材原木被放置在计算域的底部。它被建模为由四个相组成:半纤维素、木质素、纤维素和水,这些相的组成反映了一种通用的硬木。空气的组成与前一个案例相同,包围着木材原木。在时间t = 0时,原木的底部通过800 K的Dirichlet条件被加热。由于热量的作用,触发了不同的热解反应。考虑的反应及其动力学参数的列表可以在表2中找到。
所有相都经历不同的热解反应,每个反应都由不同的参数特征化。一旦产生,物质会渗透通过材料并最终到达外部环境。在时间t = 0.15 秒时,在原木的两侧模拟了两个火花。这些火花的目的是触发燃烧。甲烷和氢气开始燃烧,火焰根据空气中物质的浓度演变。模拟的第一个物理秒的快照收集在图7中。
在大约30秒的物理时间内,木材原木完全热解。在大约50秒的物理时间内,由于缺乏燃料,火焰被熄灭。图8中显示了H₂和CH₄浓度的结果。
在图中可以看到气体物质的浓度如何随时间变化,并依赖于材料区域的热解活动。后者由参数τ(方程(3))捕捉,该参数描述了整体热解过程的进展。当τ = 1时,尚未发生任何化学反应。当τ = 0时,所有热解机制都已完成,材料中只剩下炭。图9中显示了在模拟过程中该参数演变的一些快照。
捕捉了四个不同的时间步长,每个时间步都集中在材料区域。可以看到原木从初始状态演变到最终状态,此时只剩下炭。在大约30秒的物理时间内,所有热解反应完成,气体不再产生。一旦环境区域的火焰消耗了所有燃料(CH₄和H₂),火焰便熄灭。
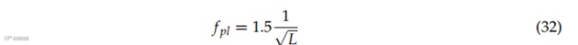
在这次模拟中捕捉到的一个特殊效应是所谓的“puffing phenomenon现象”。这是由于重力引起的火焰不稳定效应,导致脉动行为。这些火焰的周期性波动以频率f重复出现。在图7中,可以通过观察时间间隔t = 0.5秒和t = 0.7秒来观察这一效应。这两个快照都代表各自脉动的结束,并且非常相似。我们可以推测,对于数值模拟,puffing 效应的频率约为fsim≈5Hz。不同的研究尝试研究这一效应,并试图将其与物理尺寸相关联[31-33]。已定义一个幂律来拟合数据。
在这种情况下,L是燃烧器的直径。通过将火焰底部的直径作为L的度量,可以发现这个关联给出的puffing 频率为fsim≈7Hz。这两个puffing频率的测量值大致相同。
这项研究提出了一个新的数值框架,以研究热解材料的燃烧。一个详细的三维热解模型与fireFoam(一个用于燃烧过程的数值求解器)耦合。热解模型捕捉材料区域的物理特性,并描述多相反应材料与多组分反应气体混合物之间的相互作用。描述是在宏观尺度上进行的,控制方程是从上尺度理论中推导而来的。FireFoam用于描述环境区域。其控制方程是从纳维-斯托克斯方程推导而来的,经过应用大涡模拟(LES)滤波过程并使用Favre均值变量。两个模型在材料与环境的接口处耦合,在此处施加了速度、压力、温度和物质浓度的特定条件。考虑了两个应用案例以展示该工具的能力。第一个案例考虑了两种不同气体物质的燃烧,并实现了两个独立的有限速率燃烧反应。结果显示,生成的两个火焰在温度和反应时间方面存在差异。火焰的行为受到模型中考虑的热解物质的强烈影响。第二个案例展示了木材原木的燃烧。结果说明了气体物质如何随着时间的推移通过木材原木的热解而产生,以及这些物质如何进入环境区域以启动和维持火焰。由于火焰和温度的升高,热解过程加速,物质浓度根据反应速率不断随时间变化。一旦木材完全热解,火焰便消耗所有燃料并自行熄灭。在模拟演变过程中可以观察 puffing 效应:火焰表现出周期性波动,其数值频率大致与理论频率相同。
在本研究中开发的数值框架可在基于OpenFoam的多孔材料分析工具箱(PATO)中获得,该工具箱由NASA发布为开源软件(www.pato.ac,访问日期:2021年9月14日)[34]。

