
极市专栏
论文推荐:在图神经网络里面,应该如何选择更好的归一化技术?本文将介绍一种为图神经网络学习有效的图归一化的方式。
摘要
Learning Graph Normalization for Graph Neural Networks
https://arxiv.org/abs/2009.11746
Source Code:
https://github.com/cyh1112/GraphNormalization
背景
核心思想介绍
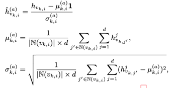
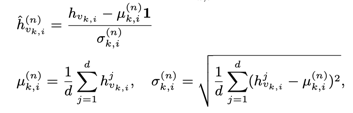
4种归一化方法分析
实验
结论
作者团队

