
极市导读
本文介绍了由FReLU激活函数,ShuffleNet的作者MaNingNing提出的ACON激活函数,构思十分巧妙,将ReLU和NAS搜索出来的Swish激活函数联系起来,可以自适应的选择是否激活神经元。>>加入极市CV技术交流群,走在计算机视觉的最前沿
简介
在该工作中,我们提出了一种名为ACON(Activate Or Not)激活函数。此外,我们发现由NAS搜索得到的Swish函数,是我们常用的ReLU激活函数的平滑形式。我们将该形式推广到ReLU函数的其他变体(Leaky-ReLU, PReLU等)。最后我们提出了一个meta-ACON激活函数和其设计空间,它可以自适应的选择是否激活神经元,通过替换原网络的激活层,能提升1-2个点的网络精度(ResNet-152)。
论文地址:Activate or Not: Learning Customized Activation(https://arxiv.org/abs/2009.04759)
代码地址:nmaac/ACON.pytorch(https://github.com/nmaac/ACON.pytorch)
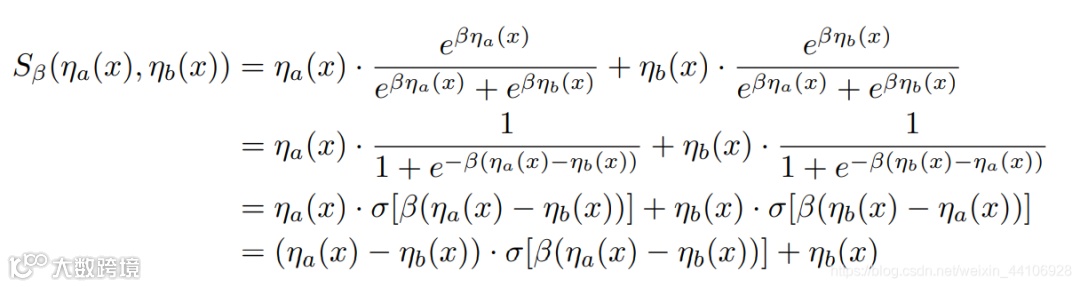
Smooth Maximum
我们常用的ReLU激活函数本质是一个MAX函数,其公式如下而MAX函数的平滑,可微分变体我们称为Smooth Maximum,其公式如下
其中 是一个平滑因子,当 趋近于无穷大时,Smooth Maximum就变为标准的MAX函数,而当 为0时,Smooth Maximum就是一个算术平均的操作这里我们只考虑Smooth Maximum只有两个输入量的情况,于是有以下公式
其中 表示 sigmoid函数笔者写了一段关于Smooth Maximum的代码
`import numpy as npimport matplotlib.pyplot as pltdef smooth_maximum(x, x1_func, x2_func, beta=0.0):"""Smooth Maximum:param x: The input variable:param x1_func: The functor of n1:param x2_func: The functor of n2:param beta: The beta value:return:"""a_x = x1_func(x)b_x = x2_func(x)e_beta_a_x = np.exp(beta * a_x)e_beta_b_x = np.exp(beta * b_x)return ((a_x * e_beta_a_x) + (b_x * e_beta_b_x)) / (e_beta_a_x + e_beta_b_x)`
从ReLU推广到Swish
考虑平滑形式下的ReLU,即代入公式我们得到而这个结果就是Swish激活函数!所以我们可以得到,Swish激活函数是ReLU函数的一种平滑近似。我们称其为ACON-A我们也可以用上述代码验证下
`def swish(x, beta=1.0):return beta * x / (1 + np.exp(-x))Acon_a = lambda x: smooth_maximum(x, x1_func=lambda x: x, x2_func=lambda x: 0, beta=1.0)x = np.arange(-5, 5, 0.01).astype(np.float32)acon_a_out = Acon_a(x)swish_out = swish(x)plt.plot(x, acon_a_out, ls='--')plt.plot(x, swish_out, ls='-.')plt.grid()plt.show()`
ACON-B
上述的平滑形式可以推广到ReLU激活函数家族里(PReLU,Leaky-ReLU) 因此我们提出了ACON-B的变体,即
我们按照前面的代码实验一下Leaky ReLU和它的平滑形式
`def leaky_relu(x, beta):return np.maximum(x, beta * x)Acon_b = lambda x: smooth_maximum(x, x1_func=lambda x: x, x2_func=lambda x: 0.2 * x, beta=1.0)x = np.arange(-5, 5, 0.01).astype(np.float32)acon_b_out = Acon_b(x)leaky_relu_out = leaky_relu(x, 0.2)plt.plot(x, acon_b_out)plt.plot(x, leaky_relu_out)plt.grid()plt.show()`
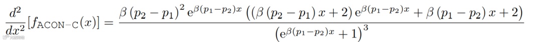
ACON-C
最后我们提出最广泛的一种形式ACON-C,即
它能涵盖之前的,甚至是更复杂的形式,在代码实现中,p1和p2使用的是两个可学习参数来自适应调整我们简单看下ACON-C的函数性质对其求一阶导,可以得到
当 x 趋近于正无穷时,其梯度为 p1,当x趋近于负无穷时,其梯度为 p2。 对其求二阶导,有
为了得到一阶导的上下界,我们令其二阶导为0,求得一阶导上下界分别为
可以看到ACON-C下,一阶导的上下界也是通过p1和p2两个参数来共同决定的最后总结下各个形态的公式
Meta-ACON
前面我们有提到,ACON系列的激活函数通过 的值来控制是否激活神经元(为0,即不激活)。因此我们需要为ACON设计一个计算 的自适应函数。而自适应函数的设计空间包含了layer-wise,channel-wise,pixel-wise这三种空间,分别对应的是层,通道,像素。这里我们选择了channel-wise,首先分别对H, W维度求均值,然后通过两个卷积层,使得每一个通道所有像素共享一个权重。公式如下
为了节省参数量,我们在和之间加了个缩放参数r,我们设置为16
代码解读
具体的代码很简单,实现为:
`import torchfrom torch import nnclass MetaAconC(nn.Module):r""" ACON activation (activate or not).MetaAconC: (p1x-p2x) * sigmoid(beta*(p1x-p2x)) + p2*x"""def init(self, width):super().init()self.fc1 = nn.Conv2d(width, width//16, kernel_size=1, stride=1, bias=False)self.fc2 = nn.Conv2d(width//16, width, kernel_size=1, stride=1, bias=False)self.p1 = nn.Parameter(torch.randn(1, width, 1, 1))self.p2 = nn.Parameter(torch.randn(1, width, 1, 1))self.sigmoid = nn.Sigmoid()def forward(self, x, **kwargs):beta = self.sigmoid(self.fc2(self.fc1(x.mean(dim=2, keepdims=True).mean(dim=3, keepdims=True))))return (self.p1 * x - self.p2 * x) * self.sigmoid( beta * (self.p1 * x - self.p2 * x)) + self.p2 * x`
首先作者设置了p1和p2这两个可学习参数,并且设置了fc1和fc2两个1x1卷积。在前向过程中,首先计算beta,x首先在H和W维度上求均值,然后经过两层1x1卷积,最后由sigmoid激活函数得到一个(0, 1)的值,用于控制是否激活。接着就是按照前面的公式进行计算,大家可以参考上文的图
实验
作者针对不同大小的网络做出了调整,针对小网络它替换了所有ReLU激活层,针对大网络(如ResNet50/101)只替换了每一个Block中3x3卷积后面的ReLU激活层,作者怎么设置的理由是避免过拟合,但我个人认为如果全都换成Meta-ACON,额外增加的参数量是很大的。Meta-ACON虽然带来了一定的参数量,但是对大网络和小网络上都是有一定的提升作者还针对设计空间做了一系列消融实验,其中channel-wise的效果是最好的
小结
该工作是之前旷视FReLU激活函数,ShuffleNet的作者MaNingNing提出的,构思十分巧妙,将ReLU和NAS搜索出来的Swish激活函数联系起来,并推广到一般的形式,为了让网络自适应的调整是否激活,设置了两层1x1卷积来控制。从实验上也从各个角度论证其有效性,期待后续对激活函数的进一步探索。
推荐阅读
2021-03-23
2021-03-22
2021-03-20
# CV技术社群邀请函 #
备注:姓名-学校/公司-研究方向-城市(如:小极-北大-目标检测-深圳)
即可申请加入极市目标检测/图像分割/工业检测/人脸/医学影像/3D/SLAM/自动驾驶/超分辨率/姿态估计/ReID/GAN/图像增强/OCR/视频理解等技术交流群
每月大咖直播分享、真实项目需求对接、求职内推、算法竞赛、干货资讯汇总、与 10000+来自港科大、北大、清华、中科院、CMU、腾讯、百度等名校名企视觉开发者互动交流~

