
极市导读
3.1415926...... >>加入极市CV技术交流群,走在计算机视觉的最前沿
AI,可以产生数学公式,还是迄今尚未解决的那种问题。
例如π和e这样的常数,虽然在科学领域司空见惯,但是计算其高精度近似值往往令人头大。
由谷歌打造的拉马努金机(Ramanujan Machine)便帮上了大忙——能算近似值,还能在数学计算中快速找出精准规律
并且就在今天,还登上了顶刊Nature。

AI生成连分数
生成连分数 (continued fractions),就是拉马努金机的功能之一。
它是计算π和e这样常数的方式之一,它的分母无限延伸下去,结果就会越来越接近:

那么谷歌的科学家为什么要用AI打造连分数?
这是因为各种数学常数的连分数是存在却不是唯一的。
如果找到一个合适的连分数,那么计算结果的收敛速度会非常快,大大减少计算机的运算量。

而发现连分数里那些特殊整数的规律,需要有长年数学知识的积累,更要有易于常人的直觉。
有了拉马努金机器,就可以用电脑代替人的思维去寻找特殊的连分数了。
并且连分数还应用到了各种概念上重要的数字上。
其中一个是加Catalan常数。
这个数字大约为0.916,但可以说是非常的神秘,因为没有人知道它是否是有理的。
换而言之,没人知道它是否可以表示为两个整数的分数。
数学家们对此数能够做到的,就是证明它的 “非理性指数”——衡量用有理数来近似一个数字的难度。
证明Catalan常数是无理数,就等于证明它的无理指数大于1。
人类对此最佳的结果是0.554,但在拉马努金机的帮助下,这一结果有改进,达到了0.567。
具体如何实现?
论文当中提到了两种算法。
第一种是中间相遇法(The Meet-In-The Middle)。这个算法的思路非常简单:
给定一个常数c(如 c=π),根据公式:

先计算出公式右边一个精度较低的值,并将其存入哈希表,然后通过枚举的方法来使公式左右两边的值相匹配,匹配上的值称为“hits”。
随后增加hits的精度并重新比较,重复这个过程直到hits达到指定精度。这个最终的结果就提供了一个新的连分数。

有些hits值会产生误报,针对这一点,研究人员提出通过计算任意精度的有理函数来减少误报。

在这个算法当中,由于公式右边的计算成本更高,所以将它的值以哈希表来存储,以空间换时间。这个哈希表也可以保存下来重新服务于公式左边的枚举,从而大大减少未来的枚举时间。
MITM-RF算法不需要任何关于基本常数的先验信息,不过有许多基本常数的结构是可以推断出来的,以此作为MITM-RF的先验信息可以有效降低空间复杂度和计算复杂度。
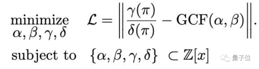
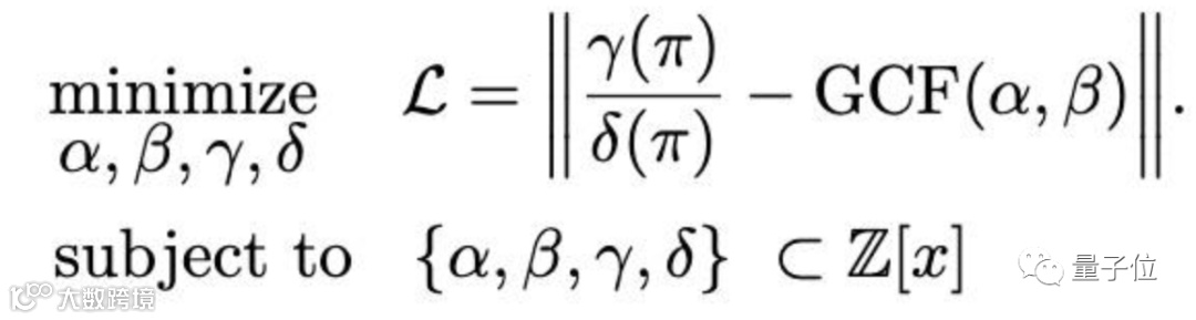
不过,MITM-RF方法还是存在扩展性不佳的问题,于是研究者使用到了机器学习当中常用的梯度下降方法,他们称其为Descent&Repel方法。
我们可以把优化问题描述成这个样子:

这里的最小值不是零维度点,而是(d-1)维的流形,其中d是给定的单一约束所预期的优化变量的数量。
研究者还观察到所有的最小值都是全局的,并且它们的误差为0,也就是说所有的梯度下降过程最后都会得到L=0的解。
这个优化问题起始于一个大的点的集合,在示例当中,所有初始条件被放置在一条线上。对每一个点迭代执行梯度下降,然后强制所有的点通过库仑排斥彼此排斥。通过梯度下降步骤保证算法朝向整数格并趋向最小曲线,最后仅返回位于整数格上的解。

AI增加了数学的复杂性
自动生成猜想,并不是计算机帮助推动数学发展的唯一领域。
虽然许多数学家仍旧喜欢用纸、笔来工作,但是利用数学软件,确实可以操作复杂的代数表达式。
计算机辅助计算在几个引人注目的结果的证明中发挥了关键作用。
最近,一些数学家在人工智能方面取得了进展,人工智能不仅能进行重复的计算,还能自己做出证明。
另一个正在发展的领域是软件,它可以检查人类写的数学证明,并检查它是否正确。
正如证明自动化的先驱Zeilberger所述:
最终,人类将会被淘汰。
随着人工智能产生的数学的复杂性增加,数学家们将会失去计算机正在做什么的轨迹,并且只能粗略地理解计算。
但尽管计算机能够提出数学表示,甚至证明它们是正确的,但如果没有人类的干预,目前还不清楚它们是否仅仅是从技术角度来区分这些数学表示。
因此也有人认为,类似于拉马努金机这样的AI,只是数学工作者的一个辅助工具。
关于拉马努金
拉马努金是印度最著名的数学家之一。

在20世纪早期,拉马努金对数学做出了重要贡献。
他没受过正规的高等数学教育,沉迷数论,尤爱牵涉π、质数等数学常数的求和公式,以及整数分拆。
拉马努金习惯以直觉导出公式,不喜作证明(事后往往证明他是对的)。他留下的那些没有证明的公式,引发了后来的大量研究。
最后,与拉马努金机相关的项目,在GitHub上已开源,戳下方链接可以去试试哦~
参考链接:
https://www.nature.com/articles/d41586-021-00304-8
相关项目地址:
https://github.com/AnonGit90210/RamanujanMachine
推荐阅读

