
极市导读
激活函数是神经网络模型重要的组成部分,本文作者Sukanya Bag从激活函数的数学原理出发,详解了十种激活函数的优缺点。>>加入极市CV技术交流群,走在计算机视觉的最前沿
激活函数(Activation Function)是一种添加到人工神经网络中的函数,旨在帮助网络学习数据中的复杂模式。类似于人类大脑中基于神经元的模型,激活函数最终决定了要发射给下一个神经元的内容。
1. Sigmoid激活函数
-
Sigmoid 函数的输出范围是 0 到 1。由于输出值限定在 0 到 1,因此它对每个神经元的输出进行了归一化; -
用于将预测概率作为输出的模型。由于概率的取值范围是 0 到 1,因此 Sigmoid 函数非常合适; -
梯度平滑,避免「跳跃」的输出值; -
函数是可微的。这意味着可以找到任意两个点的 sigmoid 曲线的斜率; -
明确的预测,即非常接近 1 或 0。
-
倾向于梯度消失; -
函数输出不是以 0 为中心的,这会降低权重更新的效率; -
Sigmoid 函数执行指数运算,计算机运行得较慢。
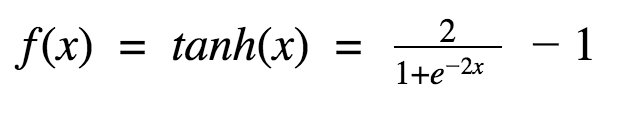
2. Tanh / 双曲正切激活函数
-
首先,当输入较大或较小时,输出几乎是平滑的并且梯度较小,这不利于权重更新。二者的区别在于输出间隔,tanh 的输出间隔为 1,并且整个函数以 0 为中心,比 sigmoid 函数更好; -
在 tanh 图中,负输入将被强映射为负,而零输入被映射为接近零。
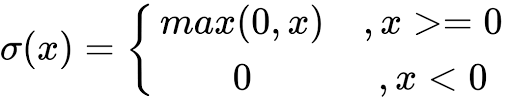
3. ReLU激活函数
-
当输入为正时,不存在梯度饱和问题。 -
计算速度快得多。ReLU 函数中只存在线性关系,因此它的计算速度比 sigmoid 和 tanh 更快。
-
Dead ReLU 问题。当输入为负时,ReLU 完全失效,在正向传播过程中,这不是问题。有些区域很敏感,有些则不敏感。但是在反向传播过程中,如果输入负数,则梯度将完全为零,sigmoid 函数和 tanh 函数也具有相同的问题; -
我们发现 ReLU 函数的输出为 0 或正数,这意味着 ReLU 函数不是以 0 为中心的函数。
4. Leaky ReLU
-
Leaky ReLU 通过把 x 的非常小的线性分量给予负输入(0.01x)来调整负值的零梯度(zero gradients)问题; -
leak 有助于扩大 ReLU 函数的范围,通常 a 的值为 0.01 左右; -
Leaky ReLU 的函数范围是(负无穷到正无穷)。
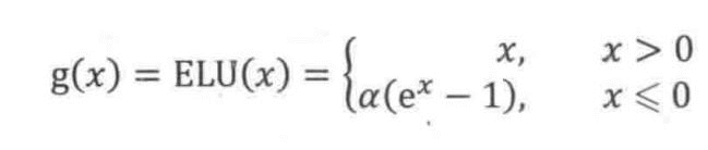
5. ELU
-
没有 Dead ReLU 问题,输出的平均值接近 0,以 0 为中心; -
ELU 通过减少偏置偏移的影响,使正常梯度更接近于单位自然梯度,从而使均值向零加速学习; -
ELU 在较小的输入下会饱和至负值,从而减少前向传播的变异和信息。
6. PReLU(Parametric ReLU)
-
如果 a_i= 0,则 f 变为 ReLU -
如果 a_i> 0,则 f 变为 leaky ReLU -
如果 a_i 是可学习的参数,则 f 变为 PReLU
-
在负值域,PReLU 的斜率较小,这也可以避免 Dead ReLU 问题。 -
与 ELU 相比,PReLU 在负值域是线性运算。尽管斜率很小,但不会趋于 0。
7. Softmax
-
在零点不可微; -
负输入的梯度为零,这意味着对于该区域的激活,权重不会在反向传播期间更新,因此会产生永不激活的死亡神经元。
8. Swish
-
「无界性」有助于防止慢速训练期间,梯度逐渐接近 0 并导致饱和;(同时,有界性也是有优势的,因为有界激活函数可以具有很强的正则化,并且较大的负输入问题也能解决); -
导数恒 > 0; -
平滑度在优化和泛化中起了重要作用。
9. Maxout
10. Softplus
推荐阅读
2019-10-31
2019-07-27
2021-02-25
# CV技术社群邀请函 #
备注:姓名-学校/公司-研究方向-城市(如:小极-北大-目标检测-深圳)
即可申请加入极市目标检测/图像分割/工业检测/人脸/医学影像/3D/SLAM/自动驾驶/超分辨率/姿态估计/ReID/GAN/图像增强/OCR/视频理解等技术交流群
每月大咖直播分享、真实项目需求对接、求职内推、算法竞赛、干货资讯汇总、与 10000+来自港科大、北大、清华、中科院、CMU、腾讯、百度等名校名企视觉开发者互动交流~

