
极市导读
本文介绍的是今年CVPR的最佳学生论文提名的工作:ClipBert。这篇论文解决了以前工作中对于视频-语言任务训练消耗大、性能不高、多模态特征提取时没有交互等问题。 >>加入极市CV技术交流群,走在计算机视觉的最前沿
【写在前面】
本文介绍的是今年CVPR的最佳学生论文提名的工作:ClipBert。这篇论文解决了以前工作中对于视频-语言任务训练消耗大、性能不高、多模态特征提取时没有交互等问题。另外,这是一篇用Image-Text 预训练的模型去解决Video-Text的任务。以前的Video-Text任务大多是对视频进行Dense采样,而本文通过预训练的Image-Text模型,对视频进行稀疏采样,只需要很少的帧数,就能超过密集采样的效果,进而提出了本文标题中的 “Less is More”。
1. 论文和代码地址
Less is More: CLIPBERT for Video-and-Language Learning via Sparse Sampling
论文地址:https://arxiv.org/abs/2102.06183
代码地址:https://github.com/jayleicn/ClipBERT
2. Motivation
在这篇文章之前,大多数解决Video-Language任务的工作的框架图都是如上图所示的这样,对视频和语言分别提取特征,然后通过多模态信息的融合结构,将两个模态的信息embedding到一个共同的空间。
这样的结构具有两个方面的问题:
1) Disconnection in tasks/domains:缺少了任务之间的联系,比如在动作识别任务中提取的特征,并不一定使用于下游任务(比如:Video Captioning),由于存在任务之间的gap,这样的特征提取方式会有导致sub-optimal的问题。
2) Disconnection in multimodal features:缺少了特征之间的联系,两个特征提取分支在提取特征过程中没有进行交互,导致视觉和语言信息并没有得到充分联系。
除此之外,在提取视频特征的时候,由于相比于图片特征,视频会多一个时间维度,因此提取视频特征是非常耗时、并且计算量是非常大的。
基于以上的问题,本文提出了CLIPBERT,一个端到端的视频-语言学习框架(结构如上图)。相比于以前的框架,本文主要有下面几个方面的不同:
1)以前的方法是对原始视频以dense的方式提取特征,非常耗时、耗计算量。但是众所周知,视频中大多数的帧其实都是非常相似的,对这些相似的帧进行特征提取确实比较浪费(而且就算提取了信息,模型也不一定能够学习到,如果模型的学习能力不够,过多的冗余信息反而会起到反作用)。因此,本文对视频采用稀疏采样,只采用很少的几张图片。
2)如果对这些采样的clip拼接后同时计算,这就相当于又多了一个维度,就会增加计算的负担。因此本文是对每一个clip分别计算后,然后再将计算结果融合,来减少计算量和显存使用,从而来实现端到端的视频-语言任务。
另外,本文还有一个创新点就是用图片-语言数据集进行预训练,然后在视频-语言数据上微调,因此本文将图片-语言数据集上学习到的信息转换到了视频-语言这个下游任务中,并且效果非常好。
3. 方法
3.1. Previous work
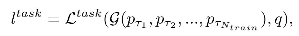
以往的方法对于视频-文本任务,往往都是直接对密集的视频V和文本S提取特征,每个视频V可以被分成N个clip,因此,以前视频-文本任务的模型可以被建模成下面的公式:
模型的损失函数为基于预测值 和Ground Truth 的特定任务损失函数:
3.2. 随机稀疏采样
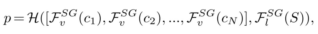
为了减少计算量,作者对视频进行了稀疏采样,只采样了很少的视频帧数,来表示视频的信息,因此本文的模型可以用下面的公式表示(第i个clip的信息可以被表示成 ):
作者对每一个clip的特征分别进行预测,然后在将每个clip的预测信息进行融合,本文模型的损失函数如下(G是聚合不同clip信息的函数):
由于在训练中,同一视频每次采样的图片并不一样,所以本文使用的稀疏采样方法也可以被看作是一种数据增强。因为在以往的方法中,是用整个视频进行训练的,全部的视频信息都暴露在模型中;而随机稀疏采样每次都暴露几个clip的信息,并且每次暴露的clip还是不同的,因此就起到了数据增强的效果(就像CV中的Random Crop,不采用数据增强的话,就将整张图片暴露给模型;如果使用Random Crop,每次都会对图片进行随机裁剪,只暴露图片的一部分信息,并且由于裁剪是随机的,所以每次暴露的信息也是不一样的)。
3.3. 模型结构
本文的模型结果如上图所示:
对于视觉编码器,本文采用的是2D CNN结构ResNet-50,因为相比于3D的CNN结构,2D的结构使用的显存更少、速度更快。
图中的Spatial Downsampling模块,作者采用的是2x2的max-pooling。
图中的Temporl Fusion模块,本文采用的mean-pooling,来聚合每个clip中T个帧的信息,得到clip级别的特征表示。
然后采用row-wise和column-wise的position embedding来实现2D的Position Embedding。
对于语言编码器,作者采用了一个work embedding层进行本文信息的映射,然后采用position embedding进行特征位置的编码。
接着,作者又加入了一个type embedding层,对输入特征的类型(视觉或语言)进行编码。
最后,只需要让这些视觉和语言特征进入一个12层的Transformer中进行训练即可。
4. 实验
4.1. Image Size
为了确定最合适的输入图片的大小,作者首先在Image Size上做了实验:
从图中可以看出,图片大小从224→448的过程中,性能提高显著;但将448的图片继续放大,性能提升就不太显著了,甚至部分指标已经开始下降了。
4.2. 帧信息的聚合
实验中,每个clip采样了T帧,为了探究如何对这些帧的信息进行聚合,获得clip级别的特征表示,作者尝试了以下方法:
可以看出,Conv3D和Conv(2+1)D的方法明显没有Mean Pooling好。
4.3. 测试时的clip数量
为了探究测试时采用多少clip的信息合适,作者进行了下面的实验:
可以看出,clip≤4,随着clip的增加,性能显著提升;clip>4,随着clip的增加,性能提升不显著。此外,每个clip采样两帧明显比采样一帧的效果好。
4.4. 训练时的clip数量
为了探究训练时采用多少clip的信息合适,作者进行了下面的实验:
总体上来说,训练时clip数量从1→2时,效益最显著。比如在LogSumExp函数下,clip从1增加到2,R1高了2.8%;clip从2增加到16,R1高了1.9%。
4.5. 稀疏随机采样 vs.密集均匀采样.
可以看出采用4帧的随机采样,就比16帧的均匀采样要好。(因为随机采样有了随机性,就有数据增强的效果)
4.6. 相比于SOTA
在多个视频-语言任务上,本文提出方法的性能能够大大超过以往的SOTA模型,证明了本文方法的有效性。
5. 总结
本文提出了一个端到端的视频-语言训练框架,只采样了视频中的部分信息,就能超过以前密集采样的方法,证明了“less is more”思想的有效性。另外,本文的方法在多个数据集、多个任务上都远远超过以前的SOTA方法。
本文亮点总结
如果觉得有用,就请分享到朋友圈吧!
公众号后台回复“CVPR21检测”获取CVPR2021目标检测论文下载~
# 极市原创作者激励计划 #

