大数跨境
0
0

即插即用模块:CompConv卷积让模型不丢精度还可以提速

即插即用模块:CompConv卷积让模型不丢精度还可以提速 极市平台
2021-06-23
3
导读:利用分治法策略来简化特征图的转换。即插即用!可直接替换普通卷积,几乎不牺牲性能,极致压缩CNN结构!
↑ 点击蓝字 关注极市平台

作者丨ChaucerG
来源丨集智书童
编辑丨极市平台

极市导读

 

为了降低CNN的计算成本,本文提出了一种新的卷积设计:CompConv。它利用分治法策略来简化特征图的转换。即插即用!可直接替换普通卷积,几乎不牺牲性能,极致压缩CNN结构! >>加入极市CV技术交流群,走在计算机视觉的最前沿

简介

卷积神经网络(CNN)在各种计算机视觉任务中取得了显著的成功,但其也依赖于巨大的计算成本。为了解决这个问题,现有的方法要么压缩训练大规模模型,要么学习具有精心设计的网络结构的轻量级模型。在这项工作中,作者仔细研究了卷积算子以减少其计算负载。特别是,本文提出了一个紧凑的卷积模块,称为CompConv,以促进高效的特征学习。通过分治法的策略,CompConv能够节省大量的计算和参数来生成特定维度的特征图。
此外,CompConv将输入特征集成到输出中以有效地继承输入信息。更重要的是CompConv是一个即插即用模块,可以直接应用于CNN结构,无需进一步设计即可替换普通卷积层。大量的实验结果表明,CompConv可以充分压缩baseline CNN结构,同时几乎不牺牲性能。

本文主要贡献

  • 提出了一种紧凑的卷积模块CompConv,它利用了分治法策略和精心设计的相同映射大大降低了CNN的计算代价。
  • 通过研究递归计算对学习能力的影响,对所提出的CompConv进行了详尽的分析。进一步提出了一个切实可行的压缩率控制方案。
  • 作为传统卷积层的方便替代作者将CompConv应用于各种benchmark。结果表明,CompConv可以大幅节省计算负载,但几乎不牺牲模型在分类和检测任务上的性能的情况下,CompConv方法优于现有的方法。

2 本文方法

2.1 动机何在?

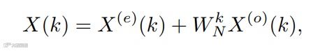
卷积可以被视为一种将特征从一个空间映射到另一个空间的操作。在某种程度上,这个过程类似于离散傅里叶变换(DFT),将信号序列从时域映射到频域。快速傅里叶变换(FFT)被广泛用于提高DFT的计算速度。所以本文通过分治策略来压缩普通的卷积模块:CompConv。
回顾一下FFT的公式。在时域对 个信号序列 进行DFT时,FFT提出将其分割成2个 个子序列,分别记为 ,并对每个子序列进行DFT。这里 分别代表“偶”和“奇”。据此,由中间变换结果 得到频域的最终结果 :
其中 是一个乘数。在此基础上,可将分解后的结果 进一步划分为更小的分组,形成递归计算的方式。

2.2 CompConv核心单元

在FFT的启发下,作者将分治策略引入到卷积模块中以提高其计算效率。通过类比,将由CNN生成的中间特征映射视为通道轴的序列。更具体地说,要开发带有C通道的特性映射 ,可以选择开发2个特性映射 ,每个特性映射都使用 个通道,然后将它们组合在一起:
其中+表示沿通道轴的拼接操作,W是用于变换特征映射的可学习参数。
上式体现了CompConv的核心思想。具体来说,CompConv的核心单元由2部分实现,如图2所示。其中一个部分(即 )从输入通道的子集完全映射过来,它能够轻松地从输入中继承信息。另一部分(即 )通过卷积模块从输入特征转化而来。

2.3 递归计算

根据式(2)中的公式,将 进一步分解为2部分,可递归计算出CompConv:
其中d为递归深度。

Tailing Channels

将第1个分离步骤 与其他步骤区别对待,如图2所示。具体来说, 不是直接从输入中来的,而是从 转化而来的。
这样做主要有2个原因:
  • 一方面,在所有相同的部件 中, 的通道最多。如果直接将一些输入通道复制为 ,那么输入特征映射和输出特征映射之间会有过多的冗余,严重限制了该模块的学习能力。

  • 另一方面,除了从 转换之外,还有一些其他方法可以获得 ,例如从整个输入特征映射或构建另一个递归。其中,从 开发 是计算成本最低的一种方法。同时, 的推导已经从输入特征中收集了足够的信息,因此学习能力也可以保证。

整合递归结果

为了更好地利用递归过程中的计算,最终的输出不仅通过分组两个最大的子特征得到 ,并综合了所有中间结果,如图2所示。这样就可以充分利用所有的计算操作来产生最终的输出。此外,在这些特征映射的连接之后会添加一个shuffle block。

2.4 Adaptive Separation策略

CompConv采用分治策略进行高效的特征学习。因此,如何对通道进行递归分割是影响通道计算效率和学习能力的关键。这里分别用 表示输入通道数和输出通道数。 为图2中d=3时最小计算单元的通道数,如 。考虑到递归计算过程中通道数的指数增长,可以预期:
可以很容易得到以下结果:
其中[]表示使 为整数的上限函数。如果所有单元的通道之和大于 ,就简单地放入最后一些通道 以确保输出特征具有适当的尺寸。

递归计算深度的选择

由式(5)可知 高度依赖于递归深度d,这是CompConv模块中的一个超参数。较大的d对应较高的压缩率,其中d=0表示没有压缩。针对现代神经网络不同的结构和不同的模型尺度,作者提出了一种自适应的深度选择策略:
在这里, 是一个特定于模型的设计选择,由目标压缩率和模型大小决定([32;64;128;256;512;···])。从直觉上看, 越大,d越小,压缩越轻。从这个角度来看, 可以用来控制计算效率和学习能力之间的权衡。
值得注意的是,递归深度d与Eq.(6)中输入通道的数量 有关,这意味着自适应策略会在不同层动态调整计算深度。同时,为了保证最小单元有足够的学习能力,要给它分配了足够的通道。换句话说, 不能太小。从Eq.(5)可以看出,当d=3时, 只占输出通道的约8%。因此,作者将深度d限定为最大值3。

推荐配置

对于最受欢迎的CNN网络,如VGG和ResNet,建议设置 =128。作者将此配置表示为CompConv128

2.5 复杂度分析

假设输入和输出特征图的分辨率都是H×W,那么普通卷积和CompConv的计算复杂度分别是:
其中k为卷积核的大小。
和d=3的配置下,与传统卷积相比,CompConv只需要约20%的计算资源就可以开发具有相同通道数的输出特征。

3 实验

3.1 ImageNet分类

模型结构为使用CompConv替换普通CNN的ResNet50模型,实验结果如下:
可以看出,性价比很高的!!!

3.2 COCO目标检测


论文传递门:


论文链接:
https://arxiv.org/abs/2106.10486


如果觉得有用,就请分享到朋友圈吧!

△点击卡片关注极市平台,获取最新CV干货

公众号后台回复“79”获取CVPR 2021:TransT 直播链接~


极市干货
YOLO教程:一文读懂YOLO V5 与 YOLO V4大盘点|YOLO 系目标检测算法总览全面解析YOLO V4网络结构
实操教程:PyTorch vs LibTorch:网络推理速度谁更快?只用两行代码,我让Transformer推理加速了50倍PyTorch AutoGrad C++层实现
算法技巧(trick):深度学习训练tricks总结(有实验支撑)深度强化学习调参Tricks合集长尾识别中的Tricks汇总(AAAI2021
最新CV竞赛:2021 高通人工智能应用创新大赛CVPR 2021 | Short-video Face Parsing Challenge3D人体目标检测与行为分析竞赛开赛,奖池7万+,数据集达16671张!


CV技术社群邀请函 #

△长按添加极市小助手
添加极市小助手微信(ID : cvmart2)

备注:姓名-学校/公司-研究方向-城市(如:小极-北大-目标检测-深圳)


即可申请加入极市目标检测/图像分割/工业检测/人脸/医学影像/3D/SLAM/自动驾驶/超分辨率/姿态估计/ReID/GAN/图像增强/OCR/视频理解等技术交流群


每月大咖直播分享、真实项目需求对接、求职内推、算法竞赛、干货资讯汇总、与 10000+来自港科大、北大、清华、中科院、CMU、腾讯、百度等名校名企视觉开发者互动交流~



觉得有用麻烦给个在看啦~  
【声明】内容源于网络
0
0
极市平台
为计算机视觉开发者提供全流程算法开发训练平台,以及大咖技术分享、社区交流、竞赛实践等丰富的内容与服务。
内容 8155
粉丝 0
极市平台 为计算机视觉开发者提供全流程算法开发训练平台,以及大咖技术分享、社区交流、竞赛实践等丰富的内容与服务。
总阅读16.8k
粉丝0
内容8.2k