
极市导读
本文作者从图像空间、特征空间、Loss profile 空间以及利用backpropagated gradient信息做异常检测四个方面,结合2019年和2020的顶会论文,对工业图像上的异常检测的最新进展进行了总结。>>加入极市CV技术交流群,走在计算机视觉的最前沿
写在前面
1. 简要地介绍一下什么是异常检测(anomaly detection)
2. 图像空间上的异常检测方法
图像空间上的异常检测方法的主流结构
2.1 MemAE:利用Memory抑制模型的泛化能力
-
比较接近原本图像的embedding; -
由正常样本的特征构成。
-
首先是在加权Memory中embedding时weight的计算: 

为输入图像的embedding,
为memory中第
个embedding,
为
对应的权重。
2.2 Memory的进一步改进
-
增加了memory update的机制,只需存储固定个数的memory; -
引入了feature compactness loss 和 feature separateness loss,减少需要保存的memory的数量; -
采用了将原图的embedding和memory中的embedding结合输入decoder的方式,一定程度上解决了重构后的图像比较糊的缺点,从而可以定位到异常区域的位置,从而可以运用到一些更加复杂、贴近现实情况的数据集上。
,找到memory中与其距离最近的embedding
,使得它们的距离越小越好。
,找到memory中与其距离最近的embedding
和距离第二近的embedding
,使得
和
的距离越小越好,
和
的距离越大越好。
2.3 利用bad quality reconstructed image做异常检测
OGNet框架
Story:
-
用generator重构图像,discriminator只是用来帮助generator更好地重构图像。在判断异常时,类似于auto-encoder检测异常的思路,用generator重构后的图像和原图做对比,不同处认为是异常; -
总体思路与1中类似,只是在检测异常时,综合generator和discriminator的结果作为判断异常的依据。
-
如何生成高质量和低质量的重构图像?
),另一个是第一阶段中训练的次数较少的generator(即图中的
)。认为
生成的图像为高质量重构图像,
生成的图像为低质量重构图像。
重构后将结果做pixel-level的平均,得到新的伪异常图像
(其实这个三角形应该在X上面,但是我查不到怎么打出来QwQ,大家意会一下即可),再将
用
再重构一遍就得到了伪异常重构图像
.
和高质量重构图像
为positive的类别,低质量重构图像
和伪异常重构图像
为negative的类别。如下图(7)式所示。
-
数据增强。用不充分训练的generator和人为伪造出来的异常图像作为负样本,来训练discriminator; -
异常检测任务转移。将检测异常的任务从generator或者generator与discriminator共同承担,转移到由discriminator承担
2.4 利用image segmentation信息做异常检测
3. 特征空间上的异常检测方法
3.1 利用teacher和students的差异做异常检测
-
在仅包含正常样本的数据集上,让pretrained的teacher模型去教没有pretrain的student模型,使得teacher模型和student模型输出的embedding尽可能一致。那么在inference时,由于teacher只教过student如何embed正常样本,所以正常样本上teacher模型和student模型输出的embedding会比较相似,但异常样本上两者输出的embedding差异会比较大; -
如果在1中的训练过程中,采用多个随即初始化的students模型和一个pretrained teacher模型,那么在正常样本上students之间的embedding比较一致,而在异常样本上,由于students是随机初始化的,且teacher并没有在异常样本上教过他们,所以在students之间embedding差异也会比较大。
-
多尺度。由于模型的输入都是patch,所以patch的大小直接决定了异常检测的resolution。由于图像中的异常大小不尽相同,当异常区域比较大时,用比较大的patch可能会比较好;反之,比较小的patch效果会比较好。所以文章中采用了三种边长的正方形patch: 17, 33和64(单位为pixel)。将这三种patch size的结果做算数平均就得到了multi-scale的结果; -
如何pretrain模型。现在有很多unsupervised pretrain的方法,例如MoCo。但是文章没有采用这种unsupervised方法,而是用pretrained resnet-18,通过蒸馏得到了teacher模型。我个人比较困惑的一点是为什么不直接用pretrained resnet-18,可能是为了更快吧...(迷)
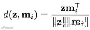
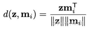
3.2 以patch为单位做SVDD
。距离中心点在
以内的认为是正常样本,否则认为是异常样本。Deep SVDD则是将这个投影的过程用深度神经网络处理,所以在SVDD前加了Deep。
是encoder,
和
是相邻的某两个patch,上面
的作用就是让相邻的patch的embedding尽可能接近。
,那么模型就会有让所有的patch都输出同一个embedding的趋势,这肯定不是我们想要的。所以作者加入了另一个loss,SSL(self-supervised learning) loss,来使得不同patch的embedding具有一定区分度:
是encoder,
是一个分类器,
是分类的label。大家读到这里可能一头雾水,我结合下面这张图来解释
是怎么让不同patch的embedding具有区分度的。
上图中,中间的patch(记为
)周围8个方向分别有8个patch,我们将这8个patch按照相对于中心patch的方位依次标记为
。然后从这8个patch中随机选一个patch(记为
),将
和
的embedding(分别是
和
)输入分类器
中,让
来分类
相对于
的方位(即标签
),最后用Cross Entropy Loss来计算分类器结果和标签之间的损失。
将无法分辨出相邻patch之间的相对方位,
就会非常大。这样就通过加入
避免了patch embedding完全一致的情况。
为待检测异常的patch,而
则是训练集中正常的patch。通过寻找在embedding空间上与
最近的那个正常patch,计算它们俩embedding之间的距离,作为
的anomaly score。即与正常patch的最近距离越大,异常越严重。
-
信息提取不充分(这里和我现在做的工作有关,所以不详细说了hhh) -
训练时使相邻的patch特征聚合在一起,这个设想不一定合理 -
对于物品会旋转的类别,判断patch相对方位可能不合理
4. Loss profile 空间上做异常检测
结构图
-
Neural Batch Sampler
,还可以顺带给neural batch sampler一个reward
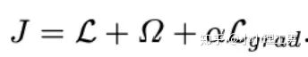
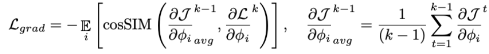
5. 利用backpropagated gradient信息做异常检测
计算公式如下:
为reconstruction loss,
为latent loss,都是auto-encoder中常用的loss,这里就不多加赘述。
是文章的重点,正常样本和异常样本的gradient的差异就体现这个
上。
的计算公式如下:
是当前训练次数,
就是前
次训练的gradient平均,
就是当前训练的gradient。通过计算两者的cosine similarity,如果cosine similarity较小,说明当前训练带给模型的变化较大,
也较大;反之说明当前训练对模型改变不大,
也相应较小。
写在后面
如果觉得有用,就请分享到朋友圈吧!
# CV技术社群邀请函 #
备注:姓名-学校/公司-研究方向-城市(如:小极-北大-目标检测-深圳)
即可申请加入极市目标检测/图像分割/工业检测/人脸/医学影像/3D/SLAM/自动驾驶/超分辨率/姿态估计/ReID/GAN/图像增强/OCR/视频理解等技术交流群
每月大咖直播分享、真实项目需求对接、求职内推、算法竞赛、干货资讯汇总、与 10000+来自港科大、北大、清华、中科院、CMU、腾讯、百度等名校名企视觉开发者互动交流~

