
极市导读
本文详细介绍了谷歌大脑提出的gMLP以及港大提出的cycleMLP。 >>加入极市CV技术交流群,走在计算机视觉的最前沿
本文目录
4 谷歌大脑提出gMLP:请多多关注MLP
(来自谷歌大脑,Quoc V .Le 团队)
4.1 gMLP原理分析5 港大提出CycleMLP:用于密集预测的类似 MLP 的架构
(来自港大,罗平教授团队)
5.1 CycleMLP原理分析
5.2 CycleMLP代码解读
4 谷歌大脑提出gMLP:请多多关注MLP
论文名称:Pay Attention to MLPs
论文地址:
https://arxiv.org/abs/2105.08050
4.1 gMLP原理分析
本文提出了一种 gMLP 模型,g 代表 "gating"。作者觉得这是一个仅包含 gating 的 MLP 模型,所以取名为 gMLP。
介绍 gMLP 模型之前先大致了解下它的性能如何:
在 ImageNet 标准分类实验上,gMLP 与基于 Transformer 的 DeiT 模型性能相当。因此作者认为:self-attention 结构可能不是视觉模型所必需的。
在 masked language modeling (MLM) 问题上,即作者将 gMLP 模型应用于这个最常见的 NLP 任务中时,发现它与 Transformer 模型性能也相当。作者的实验表明,MLM 问题模型的性能只与模型大小相关,对注意力机制的存在不敏感。比如,在256-batch size 和 1M-step training 的实验设置下,gMLP 可以在 MNLI 上达到 86.4% 的精度,在 SQuAD v1.1 上达到 89.5% 的 F1,与 Transformer 模型的结果相当。
除此之外,gMLP 模型的诸多性质和 Transformer 模型是类似的,比如:增大模型的尺寸可以提升模型的性能,增加数据量可以提升模型的性能,这与是否使用 self-attention 机制无关。作者的研究结果表明,self-attention 机制并不是扩大机器学习模型的必要因素。随着数据和计算量的增加,使用简单空间相互作用机制的模型,如 gMLP,可以像 Transformer 一样强大。

gMLP 模型的结构和伪代码如上图1所示。
gMLP 模型包括 个大小和结构相同的 block,假设输入是 ,其中 是 个tokens, 是每个 token 的 Embedding dimension。每个 block 的定义是:

其中, 是激活函数,比如 GeLU。
和 是类似于 FFN 的全连接操作,作者称为 Channel Projection。为了简写起见,省略了 Shortcuts, normalizations 和 biases。
所以最关键的就是红色部分的 ,也就是 Spatial Gating Unit 的操作。
在 MLP-Mixer 中我们提到,MLP-Mixer的输入是维度是 的张量,那么这个Mixer不仅混合各个channels之间的信息,也混合不同空间位置 (tokens 或 patches) 之间的信息。 所以主要分成了2种层:channel-mixing MLPs 层和 token-mixing MLPs 层。
channel-mixing MLPs层结合不同channels的信息,是一种按位置per-location的操作。
token-mixing MLPs层结合不同tokens的信息,是一种跨位置cross-location的操作。
那么对于一个维度是 的输入矩阵来讲,channel-mixing MLPs层应该是作用于它的每一行,而token-mixing MLPs层作用于它的每一列。
MLP-Mixer即可以靠channel-mixing MLPs层结合不同channels的信息,也可以靠token-mixing MLPs层结合不同空间位置的信息。
gMLP 的 Channel Projection 层就是 MLP-Mixer 的 channel-mixing MLPs 层,而这个红色的 作用就相当于 MLP-Mixer 的 token-mixing MLPs 层。
如果 是 identity mapping,则整个结构就是个 FFN,没有任何的 cross-token 的交流。因此,重点是设计一个捕捉复杂空间相互作用的 。
设计 的一种最简单的想法是:
式中, 矩阵的作用是融合 spatial 的信息。比如输入序列的长度是 ,则 。在这项工作中,作者将空间相互作用单元定义为二者的乘积:
式中, 代表 element-wise 的乘法。 以接近0作初始化, 以接近1作初始化。这样初始化的目的是让 在一开始和 Identity mapping 接近。
这个初始化确保每个 gMLP block 在训练的初期阶段像一个常规的 FFN 模型一样运行,其中每个 token 都是独立处理的,并且在 token 之间随训练的进行逐步注入空间信息。
multiplicative gating 靠的是 来调制输入信号 ,作者进一步发现把输入信号 沿着 channel 维度分开成 ,并先对 进行归一化运算 norm,再对 和归一化后的 进行下列运算:
这一过程的伪代码如下:
def spatial_gating_unit(x):
u, v = split(x, axis="channel")
v = norm(v, axis="channel")
n = get_dim(v, axis="spatial")
v = proj(v, n, axis="spatial", init_bias=1)
return u * v
norm(v, axis="channel"):
对 进行归一化运算 norm。proj(v, n, axis="spatial", init_bias=1):
使用 来调制输入信号。return u * v:
进行 element-wise 的乘法计算输出。
Spatial Gating Unit 与 Gated Linear Units (GLUs) 的区别是:
Spatial Gating Unit 进行空间维度的 cross-token 的计算,而 Gated Linear Units (GLUs) 进行 channel 维度的 per-token 的计算。Spatial Gating Unit 也有点像 SE 模块的元素级操作。
图像分类实验
**数据集:**ImageNet
模型配置如下:
gMLP-Tiny,Small,Base 模型的参数量和 DeiT-Tiny,Small,Base 模型相当。所有的图片都会被分成大小为 16×16 的 patch。下图3是 ImageNet 分类任务的实验结果。
可以看到尺寸相当的 gMLP 的 ImageNet 分类精度超过了 ResMLP,并且和 DeiT 模型的精度相当。换句话讲,就 accuracy-parameter/FLOPs tradeoff 而言,gMLP 超过了其余两种 MLP 模型。事实上,模型的准确性似乎与参数量大小更好地相关,而不是是否存在注意力机制。attention-free 的模型也可以是 Data-Efficient 的。
下图4可视化了每一层的空间投影矩阵 (spatial projection 矩阵),即伪代码中的:
v = proj(v, n, axis="spatial", init_bias=1)
观察可以发现, spatial weights 展示出了局部和空间的不同。换句话说,每个空间投影矩阵有效地学习到了不规则的核形状。
Masked Language Modeling 实验
模型: BERT
作者进一步在 Masked Language Modeling 任务上进行了实验,pretraining 和 finetuning 的输入和输出和 BERT 保持一致。
如下图5所示,作者对比了几种位置编码以及 gMLP 模块的组成方式,发现 的做法性能最佳。
下图6展示了 gMLP 随着模型增大逐渐能有与 Transformer 相当的效果,可见Transformer的效果应该主要是依赖于模型尺寸而非self-attention。
从上面的 Case Study 可以发现 gMLP 对于需要跨句子连接的 Finetuing 任务可能不及Transformer,所以作者提出了 gMLP 的增强版 aMLP。aMLP 相较于 gMLP 仅增加了一个单头 Embedding dimension=64 (远小于 DeiT-Base 的Embedding dimension=768,12 heads) 的 self-attention 如下图7所示:
从下图8结果可以发现 aMLP (64-d single head-attention) 相较于 gMLP 极大提升了效果并在所有 task 都超过了Transformer。通过改变模型深度 (从 {0.5,1,2} 中选择) 或数据量 (从 {1,2,4,8} 中选择) 来收集数据点。可以看出,不管注意力的存在与否,gMLP 对 SST-2 的迁移效果都比 Transformer 好,而 gMLP 对 MNLI-m 的迁移效果较差,只要稍微加上 Tiny-attention 就足以缩小性能上的差距。
下图9展示了BERT、gMLP、aMLP在不同模型参数情况下的效果比较,可以看到模型相当的情况下, gMLP 能取得接近 BERT 的效果,aMLP 更是能超过 BERT。
小结
gMLP 这种模型架构通过一种不包含卷积的 Spatial Gating Unit 操作来实现模型对于输入特征的空间位置信息的融合,在图像分类任务和 Masked Language Modeling 实验上都能取得不错的性能。而且,只要稍微融合如一些 Attention 机制就能够在 Masked Language Modeling 任务上进一步地再提升模型性能。
5 港大提出CycleMLP:用于密集预测的类似 MLP 的架构
论文名称:CycleMLP: A MLP-like Architecture for Dense Prediction
论文地址: https://arxiv.org/abs/2107.10224
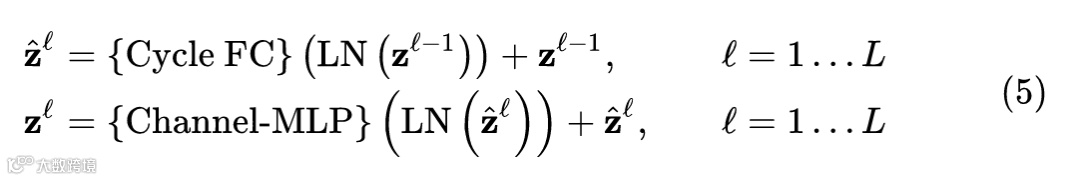
5.1 CycleMLP原理分析
本文来自港大罗平老师团队,是 MLP 模型家族的又一个新作品。针对 MLP-Mixer 等已有方案存在的分辨率相关、不便于向下游任务迁移的问题,提出了一种新颖的 CycleFC 操作,并由此构建了 CycleMLP 架构。所提 CycleMLP 在 ImageNet 分类、COCO 检测以及 ADE20K语义分割等任务上均取得了优于其他 MLP 架构的性能,同时具有与 Swin 相当甚至更佳的性能。
已有的一些经典的 MLP 模型,比如:MLP-Mixer, ResMLP, 和 gMLP 等,它们存在以下3个问题:
-
所有的 Block 具有相同的结构,即每个 Block 输出的特征的维度也是一致的,不能产生金字塔结构的特征。 -
只能适用于 input shape 不变的情况,但是不能适用于 input shape 改变的情况,如目标检测和语义分割任务。比如某一层的输入是 ,输出是 ,spatial FC 的权重是 。因此,Spatial FC 的结构是通过 来配置的。因此,这些模型在训练和验证阶段都需要一个固定的输入。但是,比如在 ADE20K (分辨率为 512×512) 上做语义分割,或者一些需要多尺度训练的任务中,在训练和验证阶段具有不同的分辨率大小。因此,之前的这些 MLP 模型在此类应用场景中就会受到限制。 -
Spatial FC 的计算复杂度与图像尺寸呈平方关系,使得现有的高分辨率图像难以处理。
接下来我们依次来看 Cycle MLP 是如何解决以上3个问题的,如上图10所示。
针对第1个问题,作者构建了一金字塔结构的表征,模型从浅层到深层,特征的空间分辨率在逐渐减小,channel 数在逐渐增大。
针对第2和第3个问题,作者提出了一种 Cycle Fully-Connected Layer。该 Cycle FC 层能够处理不同尺度的图像,并且计算复杂度与图像尺寸成线性关系。
仔细观察图10,发现 Cycle FC 层和 FFN 的 Channel FC 层很像,我们把 这个维度视作是 token 维度,并有 。Channel FC 层就是对这 个 tokens 中的每一个的 个值进行映射,而 Cycle FC 层就是对来自不同 tokens 的 个值进行映射,且这 个值是循环往复选取的。
这样一来,Cycle FC 层就和 Channel FC 层的计算复杂度一致了,都是与序列长度 成线性关系。这样,模型中所有的 Channel FC 层都使用 Cycle FC 层进行替换,就得到了 Cycle MLP 模型,它是第一个提供检测分割任务的 MLP 模型基线的模型。
模型的设计思路遵循金字塔结构,即随着层数的加深,特征的分辨率在逐渐减小,也就是 token 的数目在不断地减小。假设输入图片的维度是 ,首先通过 patch embedding 操作,即 stride=4 的 patch embedding 操作将 投影成 的特征。
接下来连续地通过几个 Cycle FC block,在每个阶段中 token 的数量保持不变。在阶段与阶段的转换中,token 的数量减少,同时增加 channel 数。这种策略有效地降低了空间分辨率的复杂性。总的来说,每个模型都有四个阶段,最后阶段的输出特征是 。
Cycle FC 块的具体表达式是:

block 的设计和 ViT 相似,只是将 MHSA 换成了 Cycle FC 模块。 因此,Cycle FC 模块可以作为现有的变压器或基于 mlp 架构的现成替代品。
Cycle Fully-Connected Layer
如上图10 (a) 所示,Channel FC 层的结构与图像的尺度无关。因此,这个操作可以处理可变的输入图像尺度。此外,Channel FC 的另一个优点是它的计算复杂度与图像尺度的关系是线性的。然而,它有限的感受野,不能聚合足够的上下文信息。
为了增加感受野的大小,如上图10 (c) 所示,Cycle FC 层的也在 channel 的维度进行计算,但是,不同于 Channel FC 层的采样点位于同一空间位置的所有通道,Cycle FC 层的采样点像个梯子,采用一种循环采样的方式。
得益于这种简单而有效的设计,Cycle FC 层具有与Channel FC 层严格相等的计算复杂度。另外,感受野从一个点扩大到伪核 (Pseudo-kernel),这将在下面介绍。
伪核 (Pseudo-kernel)
这里作者引入了伪核的概念。如上图11所示,在空间表面投影 Cycle FC 层的采样点 (橙色块) ,并定义投影区域为 pseudo-kernel size。令 表示输入特征映射,其中 表示其展平的高度和宽度, 表示输入通道。对于 Channel FC 层,输出特征是: 。

Cycle FC 层的计算范式如下式所示:

将
变成了
,随着
的增加,采样的位置
也在不断地变化。这里
是伪核的尺寸,也可以看做 Cycle FC 层的感受野。
Cycle FC 层可以感知相邻的上下文信息,同时保持与 Channel FC 层相同的复杂度。因此,Cycle FC 是一个通用的即插即用操作符,用于促进空间上下文聚合。注意,当将伪内核大小配置为 时,Cycle FC 层退化为 Channel FC。
模型及其变体
如上图12所示是 Cycle MLP 模型及其变体,计算量的范围从2.1GFLOPs 到 12.3GFLOPs 不等。并行的 Cycle FC 分支的数目设置为3个,伪核容量为 。超参数的定义如下:
• :第 个 stage 过渡层的 stride 值。
• :第 个 stage 的 Embedding dimension。
• :第 个 stage 的 block 数。
• :第 个 stage 的 Expansion ratio。
ImageNet 分类实验
如下图13所示为 ImageNet 分类实验结果。作者首先比较 Cycle MLP 模型和现有的 MLP-like 模型,结果总结在下图。Cycle MLP 模型的 Accuracy/FLOPs 的 trade-off 始终优于现有的 MLP-like 模型,作者把这归功于Cycle FC 模块的有效性。此外,与现有的 SOTA MLP-like 模型,即 ViP 相比,Cycle MLP-B5 只使用了一半的浮点运算 (12.3 GFLOPs) ,同时保持了相同的 Top-1 准确度(83.2%)。
下图14进一步比较了 Cycle MLP 模型与先前的最先进的 CNN,Transformer 和混合结构的性能。有趣的是,看到 Cycle MLP 模型实现了与 Swin-transformer 相当的性能,Swin-transformer 是最先进的基于 Transformer 的模型。具体来说,Cycle MLP-B5 的准确率几乎与 Swin-B 相当 (83.2%) ,但是参数和浮点运算量都较低。
对比实验:三个分支的作用
下图15进一步详细描述了 Cycle MLP 模型的对比实验。结果表明,去掉 这三个平行支路中的任意一个,特别是去掉 后,Top-1 Accuracy 会明显下降。为了消除更少的参数和浮点运算导致性能下降的可能性,作者进一步使用两个相同的分支和一个 分支来对齐参数和浮点运算。这进一步证明了3个独特分支的必要性。
目标检测实验
数据集: COCO,118k训练集,5k验证集
Backbone: RetinaNet,Mask R-CNN
初始化权重: ImageNet pre-trained weights
结果如下图16所示:
基于 CycleMLP 模型的 Retina-Net 在相似的参数约束条件下,始终超过了基于 CNN 的 Resnet、 ResneXt 和基于 Transformer 的 PVT,这表明 CycleMLP 模型可以作为一个优秀的通用 Backbone 网络。
语义分割实验
数据集: ADE20K,20k训练集,2k验证集,3k测试集
Backbone: Semantic FPN
初始化权重: ImageNet pre-trained weights
结果如下图17所示:
CycleMLP 在类似参数下的性能优于 Resnet 和 PVT。此外,与最先进的基于 Transformer 的 Backbone Swin transformer 相比,CycleMLP 可以获得相当甚至更好的性能。
5.2 CycleMLP代码解读
代码来自:
https://github.com/ShoufaChen/CycleMLP
1 Cycle FC
我们首先看看最关键的 Cycle FC 是如何实现的。
CycleFC 的实现其实借助了 torchvision.ops.deform_conv 中的 deform_conv2d 这个 API。所以,可以从某种角度上认为:Cycle FC 操作是一种极其特殊的 Deformable Conv。但也不能完全这么说,因为毕竟 Cycle FC 操作和 Deformable Conv 的具体做法存在本质的区别。
class CycleFC(nn.Module):
"""
"""
def __init__(
self,
in_channels: int,
out_channels: int,
kernel_size, # re-defined kernel_size, represent the spatial area of staircase FC
stride: int = 1,
padding: int = 0,
dilation: int = 1,
groups: int = 1,
bias: bool = True,
):
super(CycleFC, self).__init__()
if in_channels % groups != 0:
raise ValueError('in_channels must be divisible by groups')
if out_channels % groups != 0:
raise ValueError('out_channels must be divisible by groups')
if stride != 1:
raise ValueError('stride must be 1')
if padding != 0:
raise ValueError('padding must be 0')
self.in_channels = in_channels
self.out_channels = out_channels
self.kernel_size = kernel_size
self.stride = _pair(stride)
self.padding = _pair(padding)
self.dilation = _pair(dilation)
self.groups = groups
self.weight = nn.Parameter(torch.empty(out_channels, in_channels // groups, 1, 1)) # kernel size == 1
if bias:
self.bias = nn.Parameter(torch.empty(out_channels))
else:
self.register_parameter('bias', None)
self.register_buffer('offset', self.gen_offset())
self.reset_parameters()
deform_conv2d 这个操作需要传入几个参数:
input,offset,weight,bias,stride,padding,dilationweight 参数设置为 kernel size=1×1。
offset 参数不随优化器进行更新,所以使用了:
self.register_buffer('offset', self.gen_offset())
进行定义。
2 gen_offset()
这个函数就是生成 offset 值的函数,定义如下:
def gen_offset(self):
"""
offset (Tensor[batch_size, 2 * offset_groups * kernel_height * kernel_width,
out_height, out_width]): offsets to be applied for each position in the
convolution kernel.
"""
offset = torch.empty(1, self.in_channels*2, 1, 1)
start_idx = (self.kernel_size[0] * self.kernel_size[1]) // 2
assert self.kernel_size[0] == 1 or self.kernel_size[1] == 1, self.kernel_size
for i in range(self.in_channels):
if self.kernel_size[0] == 1:
offset[0, 2 * i + 0, 0, 0] = 0
offset[0, 2 * i + 1, 0, 0] = (i + start_idx) % self.kernel_size[1] - (self.kernel_size[1] // 2)
else:
offset[0, 2 * i + 0, 0, 0] = (i + start_idx) % self.kernel_size[0] - (self.kernel_size[0] // 2)
offset[0, 2 * i + 1, 0, 0] = 0
return offset
每个 channel 都有 2 个偏移值,所以维度设置为:(1, self.in_channels*2, 1, 1)。
kernel_size 是 CycleFC 这个 class 传入的参数,如果是 1×3 的话,则:
offset[0, 2 * i + 0, 0, 0] = 0,即每个 channel 的横向偏移为0。
offset[0, 2 * i + 1, 0, 0] = (i + start_idx) % self.kernel_size[1] - (self.kernel_size[1] // 2),即每个 channel 的纵向偏移为 。
接下来有了 offset 和 weight,就能够使用 deform_conv2d 这个 API 构建 CycleFC 的操作了。
def forward(self, input: Tensor) -> Tensor:
"""
Args:
input (Tensor[batch_size, in_channels, in_height, in_width]): input tensor
"""
B, C, H, W = input.size()
return deform_conv2d_tv(input, self.offset.expand(B, -1, H, W), self.weight, self.bias, stride=self.stride,
padding=self.padding, dilation=self.dilation)
3 Cycle MLP Block
借助 CycleFC 操作实现 Cycle MLP Block。
class CycleMLP(nn.Module):
def __init__(self, dim, qkv_bias=False, qk_scale=None, attn_drop=0., proj_drop=0.):
super().__init__()
self.mlp_c = nn.Linear(dim, dim, bias=qkv_bias)
self.sfc_h = CycleFC(dim, dim, (1, 3), 1, 0)
self.sfc_w = CycleFC(dim, dim, (3, 1), 1, 0)
self.reweight = Mlp(dim, dim // 4, dim * 3)
self.proj = nn.Linear(dim, dim)
self.proj_drop = nn.Dropout(proj_drop)
def forward(self, x):
B, H, W, C = x.shape
# h: (B, H, W, C)
h = self.sfc_h(x.permute(0, 3, 1, 2)).permute(0, 2, 3, 1)
# w: (B, H, W, C)
w = self.sfc_w(x.permute(0, 3, 1, 2)).permute(0, 2, 3, 1)
# c: (B, H, W, C)
c = self.mlp_c(x)
# a: (B, C)
a = (h + w + c).permute(0, 3, 1, 2).flatten(2).mean(2)
# a: (3, B, 1, 1, C)
a = self.reweight(a).reshape(B, C, 3).permute(2, 0, 1).softmax(dim=0).unsqueeze(2).unsqueeze(2)
# X: (B, H, W, C)
x = h * a[0] + w * a[1] + c * a[2]
x = self.proj(x)
x = self.proj_drop(x)
# X: (B, H, W, C)
return x
每一步的维度变化都已经以注释的形式标注在了代码里面,可以清晰地看到 Cycle MLP Block 的3个分支,并且这3个分支还进行了一次:
a = self.reweight(a).reshape(B, C, 3).permute(2, 0, 1).softmax(dim=0). unsqueeze(2).unsqueeze(2)
x = h * a[0] + w * a[1] + c * a[2]
操作,它极其类似于 SE 模块的 Attention,可能是涨点的关键。
4 CycleBlock
借助 Cycle MLP Block 实现 CycleBlock。
class CycleBlock(nn.Module):
def __init__(self, dim, mlp_ratio=4., qkv_bias=False, qk_scale=None, drop=0., attn_drop=0.,
drop_path=0., act_layer=nn.GELU, norm_layer=nn.LayerNorm, skip_lam=1.0, mlp_fn=CycleMLP):
super().__init__()
self.norm1 = norm_layer(dim)
self.attn = mlp_fn(dim, qkv_bias=qkv_bias, qk_scale=None, attn_drop=attn_drop)
# NOTE: drop path for stochastic depth, we shall see if this is better than dropout here
self.drop_path = DropPath(drop_path) if drop_path > 0. else nn.Identity()
self.norm2 = norm_layer(dim)
mlp_hidden_dim = int(dim * mlp_ratio)
self.mlp = Mlp(in_features=dim, hidden_features=mlp_hidden_dim, act_layer=act_layer)
self.skip_lam = skip_lam
def forward(self, x):
x = x + self.drop_path(self.attn(self.norm1(x))) / self.skip_lam
x = x + self.drop_path(self.mlp(self.norm2(x))) / self.skip_lam
return x
5 basic_blocks
借助 CycleBlock 实现 basic_blocks。
def basic_blocks(dim, index, layers, mlp_ratio=3., qkv_bias=False, qk_scale=None, attn_drop=0.,
drop_path_rate=0., skip_lam=1.0, mlp_fn=CycleMLP, **kwargs):
blocks = []
for block_idx in range(layers[index]):
block_dpr = drop_path_rate * (block_idx + sum(layers[:index])) / (sum(layers) - 1)
blocks.append(CycleBlock(dim, mlp_ratio=mlp_ratio, qkv_bias=qkv_bias, qk_scale=qk_scale,
attn_drop=attn_drop, drop_path=block_dpr, skip_lam=skip_lam, mlp_fn=mlp_fn))
blocks = nn.Sequential(*blocks)
return blocks
6 整个 CycleNet
class CycleNet(nn.Module):
""" CycleMLP Network """
def __init__(self, layers, img_size=224, patch_size=4, in_chans=3, num_classes=1000,
embed_dims=None, transitions=None, segment_dim=None, mlp_ratios=None, skip_lam=1.0,
qkv_bias=False, qk_scale=None, drop_rate=0., attn_drop_rate=0., drop_path_rate=0.,
norm_layer=nn.LayerNorm, mlp_fn=CycleMLP, fork_feat=False):
super().__init__()
if not fork_feat:
self.num_classes = num_classes
self.fork_feat = fork_feat
self.patch_embed = PatchEmbedOverlapping(patch_size=7, stride=4, padding=2, in_chans=3, embed_dim=embed_dims[0])
network = []
for i in range(len(layers)):
stage = basic_blocks(embed_dims[i], i, layers, mlp_ratio=mlp_ratios[i], qkv_bias=qkv_bias,
qk_scale=qk_scale, attn_drop=attn_drop_rate, drop_path_rate=drop_path_rate,
norm_layer=norm_layer, skip_lam=skip_lam, mlp_fn=mlp_fn)
network.append(stage)
if i >= len(layers) - 1:
break
if transitions[i] or embed_dims[i] != embed_dims[i+1]:
patch_size = 2 if transitions[i] else 1
network.append(Downsample(embed_dims[i], embed_dims[i+1], patch_size))
self.network = nn.ModuleList(network)
if self.fork_feat:
# add a norm layer for each output
self.out_indices = [0, 2, 4, 6]
for i_emb, i_layer in enumerate(self.out_indices):
if i_emb == 0 and os.environ.get('FORK_LAST3', None):
# TODO: more elegant way
"""For RetinaNet, `start_level=1`. The first norm layer will not used.
cmd: `FORK_LAST3=1 python -m torch.distributed.launch ...`
"""
layer = nn.Identity()
else:
layer = norm_layer(embed_dims[i_emb])
layer_name = f'norm{i_layer}'
self.add_module(layer_name, layer)
else:
# Classifier head
self.norm = norm_layer(embed_dims[-1])
self.head = nn.Linear(embed_dims[-1], num_classes) if num_classes > 0 else nn.Identity()
self.apply(self.cls_init_weights)
def cls_init_weights(self, m):
if isinstance(m, nn.Linear):
trunc_normal_(m.weight, std=.02)
if isinstance(m, nn.Linear) and m.bias is not None:
nn.init.constant_(m.bias, 0)
elif isinstance(m, nn.LayerNorm):
nn.init.constant_(m.bias, 0)
nn.init.constant_(m.weight, 1.0)
elif isinstance(m, CycleFC):
trunc_normal_(m.weight, std=.02)
nn.init.constant_(m.bias, 0)
def init_weights(self, pretrained=None):
""" mmseg or mmdet `init_weight` """
if isinstance(pretrained, str):
logger = get_root_logger()
load_checkpoint(self, pretrained, map_location='cpu', strict=False, logger=logger)
def get_classifier(self):
return self.head
def reset_classifier(self, num_classes, global_pool=''):
self.num_classes = num_classes
self.head = nn.Linear(self.embed_dim, num_classes) if num_classes > 0 else nn.Identity()
def forward_embeddings(self, x):
x = self.patch_embed(x)
# B,C,H,W-> B,H,W,C
x = x.permute(0, 2, 3, 1)
return x
def forward_tokens(self, x):
outs = []
for idx, block in enumerate(self.network):
x = block(x)
if self.fork_feat and idx in self.out_indices:
norm_layer = getattr(self, f'norm{idx}')
x_out = norm_layer(x)
outs.append(x_out.permute(0, 3, 1, 2).contiguous())
if self.fork_feat:
return outs
B, H, W, C = x.shape
x = x.reshape(B, -1, C)
return x
def forward(self, x):
x = self.forward_embeddings(x)
# B, H, W, C -> B, N, C
x = self.forward_tokens(x)
if self.fork_feat:
return x
x = self.norm(x)
cls_out = self.head(x.mean(1))
return cls_out
7 最后注册好全部的模型:
@register_model
def CycleMLP_B1(pretrained=False, **kwargs):
transitions = [True, True, True, True]
layers = [2, 2, 4, 2]
mlp_ratios = [4, 4, 4, 4]
embed_dims = [64, 128, 320, 512]
model = CycleNet(layers, embed_dims=embed_dims, patch_size=7, transitions=transitions,
mlp_ratios=mlp_ratios, mlp_fn=CycleMLP, **kwargs)
model.default_cfg = default_cfgs['cycle_S']
return model
... ...
小结
CycleMLP 的关键是 CycleFC 操作,Cycle FC 层的也在 channel 的维度进行计算,但是,不同于 Channel FC 层的采样点位于同一空间位置的所有通道,Cycle FC 层的采样点像个梯子,采用一种循环采样的方式。在代码实现上,作者巧妙地借助了 torchvision.ops.deform_conv 中的 deform_conv2d 这个 API,并且 Cycle MLP Block 中有类似于 SE 模块的注意力操作。总而言之,CycleMLP 是一个优秀的 MLP-like 模型,在分类检测分割任务上都取得了优异的性能。

# 极市平台签约作者#
科技猛兽
知乎:科技猛兽
清华大学自动化系19级硕士
研究领域:AI边缘计算 (Efficient AI with Tiny Resource):专注模型压缩,搜索,量化,加速,加法网络,以及它们与其他任务的结合,更好地服务于端侧设备。
作品精选

