
极市导读
在本文中,为了在更少的可训练参数下获得更好的性能,作者提出了一个框架:WideNet来有效地部署可训练参数,通过更宽的网络而不是更深。在0.72×可训练参数的情况下,作者的最佳模型比Vision Transformer (ViT)高出1.46%。 >>加入极市CV技术交流群,走在计算机视觉的最前沿
写在前面
Transformer-based结构最近在各项任务上取得了惊人的成果。为了进一步提高Transformer的有效性和效率,在现有的工作中主要有两种思路:(1)扩大可训练参数范围;(2)通过参数共享实现浅层化或在模型深度上进行压缩。
然而,当可供训练的token较少时,较大的模型往往不易于发挥它强大的建模表征能力;另外,当模型非常大时,就需要更多的并行操作。由于特征表示能力有限,较小的Transformer往往达不到大模型的performance。
在本文中,为了在更少的可训练参数下获得更好的性能,作者提出了一个框架来有效地部署可训练参数,通过更宽的网络而不是更深。
具体实现上,作者采用了用一个混合专家(mixture-of-experts,MoE)结构代替前馈网络(FFN),沿模型宽度进行缩放。接着,作者使用参数不共享的多个Layer Norm在Transformer层之间共享MoE层。这样的部署起到了转换各种语义表示的作用,使模型更具有参数效率和有效性。
为了验证框架的有效性,作者设计了WideNet,并在ImageNet-1K数据集上进行了实验。在0.72×可训练参数的情况下,作者的最佳模型比Vision Transformer (ViT)高出1.46%。采用0.46×和0.13×参数时,作者提出的WideNet仍然比ViT和ViT-MoE分别高出0.83%和2.08%。
1. 论文和代码地址
论文地址:https://arxiv.org/abs/2107.11817
代码地址:未开源
2. Motivation
上面提到了,目前主要有两种方式来提高Transformer的有效性和效率:
1)第一种是沿宽度缩放Transformer到更多可训练的参数。通过稀疏条件计算,这些稀疏模型可以扩展到具有可比较FLOPs的超大模型。
2)另一种是减少可训练参数变成一个小模型。为此,有人提出在Transformer Block之间重用可训练参数。
但是,两种思想都有其局限性。对于大型模型,将Transformer Block中的部分前馈网络(FFN)层替换为MoE层是缩放可训练参数的一种典型而有效的方法。在每个MoE层中,为了优化单个token表示,只有少数专家被激活,因此基于MoE的Transformer拥有与普通Transformer相当的FLOPs。然而,在训练和推理过程中,需要在TPU或GPU上并行地保持这些模型,所以performance不能被线性的提升 。
另一个局限性是基于MoE的模型的稀疏性不能在相对较小的数据集上很好地扩展 。对于小模型,虽然通过降低模型的深度可以显著减少可训练参数,但这些“比较浅”模型的性能仍然低于原来的Transformer。这些较小的模型只是简单地压缩了原始模型的深度,这种结构导致模型学习能力的损失是不可避免的 。
在本文中,作者提出了一个更有效地部署可训练参数的参数部署框架:going wider instead of deeper。然后在Transformer中实现这种思想,实例化为WideNet。WideNet在深度上参数共享,并使用混合专家(MoE)在宽度上扩展可训练参数。在所有的Transformer Block中,作者采用了参数共享的MoE层和Multi-Head Self-Attention层。
因此,通过MoE层,WideNet可以在宽度上训练更多的参数(更宽 ),通过参数在Transformer Block之间共享,WideNet可以在深度上训练更少的参数(更浅 )。
那么这些参数都共享了,怎么才能保证语义的多样性呢?作者采用了参数不共享的Norm层来提高多样性。Norm层可训练参数不同,使Transformer Block能以不同的表示形式输入。由于MoE层增强了每个Transformer Block的建模能力,因此可以在相同的可训练参数下有效地对不同的语义进行建模。通过一个attention层,一个MoE层和一些参数不共享的Norm层,作者实现了going wider instead of deeper的思想。
与简单的沿宽度缩放相比,WideNet是一个参数效率更高的框架,这使得模型足够小,可以适应下游任务。WideNet中的每个专家可以通过更多的token表示进行训练,使其具有更好的泛化性能。
与单纯随深度压缩的模型相比,WideNet中的所有Transformer Block共享同一个MoE层而不是一个FFN层。这种结构最大限度地提高了每个Transformer Block的建模能力。更多的专家可以以更强的能力为更复杂的token表示建模。另一个区别是参数不共享的Norm层,这些层提供了一些额外的可训练参数,可以将输入表示转换为其他语义信息。在这种情况下,有了足够强大的MoE层,WideNet仍然可以从不同的层中很好地建模语义信息。
3. 方法
在本文中,作者研究了一种新的可训练参数部署框架,并在Transformer上实现了该框架,模型结构如上图所示。在本文中,作者使用Vision Transformer作为Backbone,因此在attention层或FFN层之前对特征进行Normalize。
在WideNet中,作者用MoE层代替FFN层。采用参数共享的Transformer,以实现更有效的参数部署。在每个MoE层中,有一个路由器来选择K个专家来学习更复杂的表示。为了特征语义信息的多样性,Layer Norm层的参数是不共享的。
3.1. 条件计算与MoE
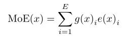
作者的核心理念是沿着宽度部署更多的可训练参数,沿着深度部署更少的可训练参数。基于这个思想,作者使用MoE将Transformer缩放到大量的可训练参数。
给定E个专家(expert,每个专家在MoE中其实都是一个FFN )和输入x,MoE模型的输出为:
其中 是一个非线性函数,也就图中的FFN; 是可训练的路由器(router)。
从上面的公式可以看出,MoE将多个专家的输出加权求和了,这样计算量其实还是比较大的。为了减少计算量,作者只是将其中的几个专家的结果求和了,意思就是说g函数的输出其实是一个非常稀疏的矩阵,所以每次只选择几个专家,并没有采纳所有专家的“意见”。
3.2. Routing
为了保证g的输出是一个稀疏矩阵,因此作者采用了TopK()函数,按照贡献度来选择前K个专家,表示如下:
是一个从D维(特征的维度)到E维(专家的个数)的线性映射, 是一个用于专家路由探索的高斯噪声。当K远小于E的时候,g函数的输出是一个稀疏矩阵。
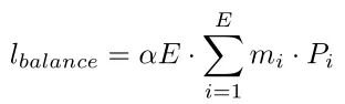
3.3. Balanced Loading
在基于MoE的Transformer中,模型将每个token分派给K个专家。在训练期间,如果MoE模型没有规则,大多数token可能会被分派给一小部分专家。这种不平衡的分配会降低MoE模型的吞吐量 。更重要的是,大多数附加的可训练参数没有得到充分的训练 ,使得稀疏条件模型无法超越相应的稠密模型。
因此,为了平衡负载,需要避免两件事:(1)分派给单个专家的token过多;(2)单个专家收到的token太少。
为了解决第一个问题,需要设置缓冲容量B。也就是说,对于每个专家,不管分派给该专家多少token,最多只保留B个token。如果分配了超过B个token,那么剩下的标记将被丢弃:
C是超参数,用于控制为每个专家保留token的比例;K是每个token选择的专家数量;N是Batch Size;L是每张图像中patch token的数量。
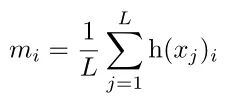
为了解决第二个问题,作者使用可区分的负载均衡损失。对于每个路由操作,给定E个专家和一个Batch中的NL个Token,在训练时的模型总损失中加入以下辅助损失:
m是一个向量, 为TopK选取的索引向量。可以看出 是不可微的。然而,需要一个可微分的损失函数才能来优化MoE。因此,作者定义 为:
可以看出 是routing结果softmax的第i个元素,因此 是可微的
负载均衡损失的目的是实现均衡分配。当最小化 时,m和P都接近均匀分布。
3.4. Sharing MoE across Transformer blocks
WideNet采用了一个参数共享的Transformer Block,这么做主要有两个原因:
首先,作者的目的就是提出一个在参数上更加有效的结构;
第二,作者使用MoE层来获得更强的建模能力。
另外为了克服稀疏条件计算产生的过拟合问题,作者给每个专家提供足够的token。
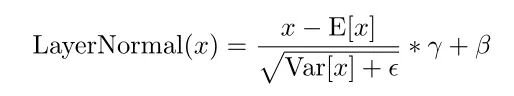
3.5. Individual Layer Normalization
上面作者已经在不同Transformer Block的Self-Attention、MoE上共享了参数,因此,为了提高特征的泛化性,模型使用了不同的LN。(这个觉得这一步很妙,因为LN本身参数就不多,所以其他结构参数共享,LN参数不共享能够在很小的overhead下提高特征的多样性。 )
第i个参数Transformer Block的计算方式如下:
LayerNorm的计算方式如下:
3.6. Optimization
虽然在每个Transformer Block中重用了路由器的可训练参数,但由于输入表示的不同,分配也会不同。因此,给定T次具有相同可训练参数的路由操作,优化的损失如下:
其中 就是模型的主要目标,比如说对于分类任务, 就是cross-entropy loss。
4.实验
4.1. Pretraining Performance
4.1.1. Hyper-parameters
预训练的超参数如上表所示。
4.1.2. Main results
上表展示了ViT和WideNet在ImageNet-1K上的结果。在可训练参数较少的情况下,WideNet-H比ViT-B高出1.46%。即使最小的模型WideNet-B,在可训练参数少4倍以上的情况下,达到与ViT-L和ViT-MoE-B相当的性能。
4.2. MoE Analysis
从上图可以看出随着专家数量增加,虽然模型的学习能力也会更强,但是会导致过拟合。
从上表可以看出,当使用更少的group时,这意味着更少的路由操作,会导致有明显的性能下降。
4.3. Ablation Study
4.3.1. Contributions of key modifications
作者进行消融实验,以探究的三个关键修改(Independent Layer Normalization,scaling width with MoE layer,compressing depth with parameter sharing)的影响。
作者首先用共享层替换单个层的Norm。可以观察到,在几乎相同的训练参数下,性能下降。
此外,作者将MoE层恢复到FFN层。如果没有MoE层,训练将会非常困难,可训练的参数会少得多。例如,没有MoE层的WideNet-B会遇到梯度爆炸,性能会显著下降。
最后,如果在Transformer Block之间不共享参数,可以观察到轻微的性能下降和显著的参数增加。
4.3.2. Comparison with comparable speed or computation cost
从上表可以看出,与ViT-L相比,WideNet-L的计算成本更高。然而,当WideNet-L使用的Transformer Block比ViT-L少时,WideNet-L在训练时间略短和13.1%的参数情况下,比ViT-L高出0.7%。
5. 总结
在本文中,作者提出“go wider instead of deeper ”来使得参数部署更高效和有效。基于这个思想作者提出WideNet。WideNet首先通过在Transformer Block之间共享参数来压缩可训练参数和深度。为了最大化每个Transformer Block的建模能力,作者将FFN层替换为MoE层。然后,参数不共享的LayerNorm提供了一种更有效的参数化方法来增强语义表示。作者通过实验也证明了WideNet能够在参数更少的情况下达到更好的性能。
如果觉得有用,就请分享到朋友圈吧!
公众号后台回复“CVPR21检测”获取CVPR2021目标检测论文下载~

# 极市平台签约作者#
小马
公众号:FightingCV
专注于解决视觉模态和语言模态相结合的任务,促进Vision-Language模型的实地应用。
知乎:FightingCV
作品精选

