
极市导读
本文综合介绍了基于深度卷积神经网络的小样本分割相关工作,并整理了方法分类、数据集、评测指标、实验结果等内容。>>加入极市CV技术交流群,走在计算机视觉的最前沿
介绍
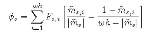
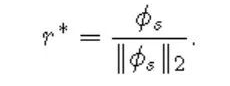
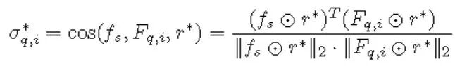
相关工作
方法总结分类
数据集介绍
评测指标介绍
结果陈列
如果觉得有用,就请分享到朋友圈吧!
公众号后台回复“transformer”获取最新Transformer综述论文下载~
# CV技术社群邀请函 #
备注:姓名-学校/公司-研究方向-城市(如:小极-北大-目标检测-深圳)
即可申请加入极市目标检测/图像分割/工业检测/人脸/医学影像/3D/SLAM/自动驾驶/超分辨率/姿态估计/ReID/GAN/图像增强/OCR/视频理解等技术交流群
每月大咖直播分享、真实项目需求对接、求职内推、算法竞赛、干货资讯汇总、与 10000+来自港科大、北大、清华、中科院、CMU、腾讯、百度等名校名企视觉开发者互动交流~

