厦门大学人工智能方向硕士毕业生李慧霞的一篇文言文式致谢彰显了现当代携科学素养的AI研究者的风范。
论文致谢仅是一篇论文中的一部分内容,向自己导师、学校、家人以及朋友表达感激之情。而当论文致谢被赋予某种情感或信仰时,也同样会令许多人动容。
之前,中科院自动化所 2017 届博士黄国平在其博士论文《人机交互式机器翻译方法研究与实现》中的致谢就感动了很多人。他并没有按照套路来写这篇致谢,而是以一种过来人平淡的口吻娓娓道来「我走了很远的路,吃了很多的苦,才将这份博士学位论文送到你的面前……」人生的种种不易在他口中成为了成就自己的一块块基石,靠着知识一步步改变命运的故事也激励鼓舞了所有人。
随着这篇论文致谢的爆火,人们发现优秀的人无论在哪方面都会投入全身心的热情和精力,哪怕是一份简单的致谢,也不愿自己落入俗套。有人娓娓道来,有人慷慨激昂,有人挥洒文情……
厦大计算机科学系硕士毕业生李慧霞的一篇文言文式致谢饱含了自己的真情实感,全篇致谢对仗工整,一气呵成,将一位理科生的文学素养和情怀表达地酣畅淋漓。
逝者如斯,不舍昼夜。承恩蒙泽,切切难忘。情深几许,感韶华之易老;恩泽何厚,叹往事之不复。悟已往之不谏兮,桓温植木于金城;知来者之可追兮,陶潜采菊于南山。尔来三年有余矣。时维五月,序属夏初。草长莺飞兮,有巍楼名颂恩;泉水丁零兮,有湖者锡芙蓉。草木欣荣,庆厦园之期颐;水华泽润,响即期之骊歌。今之视昔,踌躇彷徨。后之视今,感佩盈肠!
嗟乎!哀我父母,生我劬劳。何以结草,衔环可报?暌违日久,忝列师门。授我德业,传道树人。亲朋兄长,衷谢相伴,片言之赐,足忆流年。
锦瑟之年,辞离双亲。异乡求学,寄旅蓬门。千里江风,一叶浮萍;极目远眺,不见江宁。明州浪涌,寒暑潜移;凤凰灼灼,鹭岛三载。外无攘力襄助于家事,内无躬身奉亲于承欢。每每思忆,扼腕叹息,愁煞满绪。严父慈母,躬耕田畝。势弱力孤,鬓丝成雪,舐犊之情,抚育之恩,无以为报。唯刺股悬梁,上下求索,乃不负双慈殷殷之盼。
吾幸师从纪先生荣嵘。先生清风朗月,谦润俊彦,温和恭蔼,修业谨肃。自戊戌季秋,承蒙先生谆谆教诲,晓吾以理。先生言传身教,事必躬亲,细致关怀,敦促鼓励。惭被深眷,愧受垂情,由此不敢一念疏进。先生之德,修文阅事于毫厘之处,启弊发蒙于微末之间。学门因以入,正术因以知。白驹过隙,云山苍海,垂教之恩,钦钦难忘。
学旅漫漫,幸得余师之教诲。翩翩鸿儒,苛兢明理,旁指曲谕,鞠养谆谆。纸短情长,咸列于此。金先生泰松、曹先生刘娟、孙先生晓帅、张先生声传、林先生贤明、戴先生平阳、毛先生旭东、周先生奕毅、张先生宝昌、晁飞先生、陈杰先生、刘弘先生。今将拜别,珍之重之,恩义长记,谢无疆已。
师门兄长,名曰绍辉。体微胖,性笃诚,实践真知,学风稳健。清风濡染,受益颇丰。修吾拙论,行至子夜,恩何敢忘?与超兄长,古道热肠,思虑慎笃。踯躅踌躇之际,幸得陈曲疏直、感发胸怀。亦颍川之良友,沛郡之卓朋。胖胖其人,柔妍温婉,懿质宽敛;又言圆圆,容色明艳,慧心伶俐;美丽其人,颖悟绝伦,论辩风生;再曰仔仔,逸飒绝尘,大智若愚;梅梅其人,敏而好学,福慧双至;恰风华正貌,结金兰之义,幸甚至哉。余兄长同学少年者,慨同门联袂之谊,顾雍下共衿之情。念朝夕相对之往昔,思切磋琢磨之当时,追载笑载言之荏苒,忆切切恩情之言谈。江湖四海,各自奔赴,聚散合欢,顶峰相见。

李慧霞本科毕业于宁波大学信息管理与信息系统专业,2018 年进入厦门大学攻读计算机科学硕士。顺利取得硕士学位后,她将就职于字节跳动,继续从事计算机视觉算法研究工作。
在学术科研方面,她以第一作者身份发表了一篇 ECCV 2020 会议论文,探究底层视觉任务网络压缩与加速的问题。
Github 链接: https://github.com/colorjam/PAMS
图片引自: PAMS: Quantized Super-Resolution via Parameterized Max Scale]
此外,李慧霞同学还与他人合作在 TPAMI 2021 和《中国图像图形学报》上陆续发表了多篇论文。

图片引自:Evolving Fully Automated Machine Learning via Life-Long Knowledge Anchors
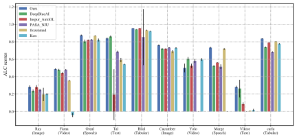
此外,她曾参与并获得多项学术竞赛冠军。如在 NeurIPS 2020 AutoDL Challenge 中,其所在的 DeepWisdom 团队成功设计开发出一套能解决包括图像、视频、语音、文本和结构化表格数据等多模态、多领域的全自动多标签分类系统。在 Feedback 阶段和 Final 阶段取得了双项总分第一的成绩。两阶段平均排名分数大幅领先于其他来自国内外著名前沿科研院校和企业的多支队伍。

图片引自:AutoCV Challenge Design and Baseline Results
在 CVPR 2020 的国际顶级低功耗计算机视觉挑战赛 (Low Power Computer Vision Challenge, LPCVC),所在团队在有限计算和存储资源的移动嵌入式设备上,极大提升了计算机视觉任务的精度。以突出的精度和低功耗性能,打败了来自麻省理工学院、清华大学、百度、快手等全球知名高校和科技企业。同时获得了 Video Track 的冠军, OVIC Classification DSP Track 的冠军, OVIC Classification CPU Track 的季军。
硕士期间,李慧霞同华为合作获得了两项专利,其中的 “基于可训练截断参数的深度神经网络量化方法”,在工业界的某些特殊视觉任务上的性能已得到验证和使用。此外,硕士期间,李慧霞同学还参加了数字音视频编解码技术标准制定的相关测试维护工作,两项神经网络压缩提案被纳入技术标准。

李慧霞是国家杰青,厦门大学纪荣嵘教授团队 - 媒体分析与计算组的一员。纪老师长期研究紧致化计算机视觉分析,推动系统“鲁棒表示-紧致推理-高效训练”。入选国家杰青,国家万人青拔;发表TPAMI、IJCV、CVPR等领域重要期刊会议110余篇,谷歌学术引用11000余次,SCI他引3500余次,H因子52。主持国防973项目、国家基金联合重点项目等,获中外专利12项,成果应用于华为、腾讯、百度、阿里、滴滴等产品,并服务战略支援部队跨媒体内容管控等国防需求,任国家人工智能技术标准⼯作组神经网络压缩组联合组长,作为第一完成人获福建省科技进步一等奖、厦门市科技进步一等奖。
实验室主页链接: https://mac.xmu.edu.cn/index.htm
公众号后台回复“CVPR21检测”获取CVPR2021目标检测论文下载~
备注:姓名-学校/公司-研究方向-城市(如:小极-北大-目标检测-深圳)
即可申请加入极市目标检测/图像分割/工业检测/人脸/医学影像/3D/SLAM/自动驾驶/超分辨率/姿态估计/ReID/GAN/图像增强/OCR/视频理解等技术交流群
每月大咖直播分享、真实项目需求对接、求职内推、算法竞赛、干货资讯汇总、与 10000+来自港科大、北大、清华、中科院、CMU、腾讯、百度等名校名企视觉开发者互动交流~
觉得有用麻烦给个在看啦~