
极市导读
积分梯度 (Integral Gradient) 本质上是一种归因分析 (Attribution Analysis) 方法。这一小节里面我们对归因分析方法做个总结,并推导积分梯度方法。 >>加入极市CV技术交流群,走在计算机视觉的最前沿
本文目录
积分梯度:一种归因分析方法
0 归因分析方法总结
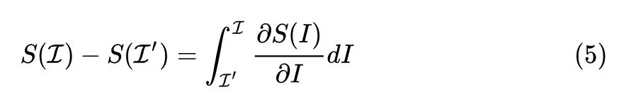
1 预测概率对输入的梯度
2 预测概率对输入的梯度与输入的点乘
3 预测概率对输入的积分梯度 (Integrated Gradients)
0 归因分析方法总结
积分梯度 (Integral Gradient) 本质上是一种归因分析 (Attribution Analysis) 方法。这一小节里面我们对归因分析方法做个总结,并推导积分梯度方法。
基于分类问题归因分析中,一种重要的方法是Integrated Gradient(积分梯度)。这一小节我们做个汇总。
[1] How to Explain Individual Classification Decisions (The Journal of Machine Learning Research)
[2] Deep Inside Convolutional Networks: Visualising Image Classification Models and Saliency Maps (ICLR 2014)
[3] Axiomatic attribution for deep networks (ICML 2017)
[4] Gradients of Counterfactuals
给定输入图片 和模型 ,模型是分类模型。归因分析 (Attribution Analysis) 方法会给出一张**归因图 (Attribution Map)**,这张图 对应模型 ,它与输入图片 的尺寸是一致的,代表了每个像素对最终输出的 "贡献度大小"。对于分类网络,这通常是每个特定的类别的贡献度。所谓归因,简单来说就是对于给定的输入图片 和模型 ,我们想办法指出 的哪些分量对模型的决策有重要影响,或者说对 的各个分量的重要性做个排序,用专业的话术来说那就是 "归因"。一个朴素的思路是直接使用 "预测概率对输入 的梯度 (Gradient w.r.t. )" 来作为 的各个分量的重要性指标,而积分梯度是对它的改进。
下面简单介绍下分类模型中几种计算归因图 (Attribution Map) 的方法。
1 预测概率对输入的梯度
该方法采用预测概率对输入 的梯度:
衡量了模型对输入的第 个分量变化的敏感程度,但是这种普通的计算预测概率对输入 的梯度的方法存在饱和问题 (典型的就是 ReLU 函数的负半轴),即:梯度就为0了,那就揭示不出什么有效信息了。输入 发生一点点的变化将不会改变输出的概率。对于超分模型,饱和问题依旧存在。
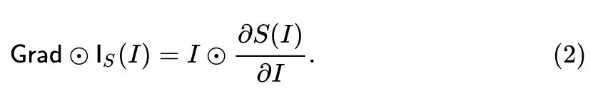
2 预测概率对输入的梯度与输入的点乘
这种方法是为了解决上面的饱和问题:
衡量了模型对输入的第 个分量变化的敏感程度。
3 预测概率对输入的积分梯度 (Integrated Gradients)
很多介绍积分梯度方法的文章 (包括原论文),都过于生硬,没有很好地突出积分梯度方法是怎么推导过来的。本文试图用我自己的思路推导一下积分梯度方法的来龙去脉。
原论文认为归因分析 (Attribution Analysis) 方法应该首先满足两条基本的公理:
公理1:敏感性 (Sensitivity)
敏感性 (Sensitivity) 是指:任意的输入图片和基线图片,当其差值的某一部分发生了变化,导致模型的预测结果也发生变化时,归因图结果也应该能够表达出这种变化。
第1小节的方法1很显然是违背这个公理的。一个很直观的例子是 。假设 baseline 是 ,输入是 。当输入从 ,输出从0变化到1。但是因为输出自打 变化到1时就已经平了,没梯度了,所以归因图结果不发生变化。所以方法1显然丧失了敏感性。实际上,灵敏度的缺乏导致梯度集中在不相关的特征上。
公理2:实现不变性 (Implementation Invariance)
如果两个网络,尽管它们的实现方式非常不同,但是其输出对所有输入都相等,则这两个网络在功能上是等效的。举个例子:
-
网络1: -
网络2:
其中,
,
网络 和 就是功能相同的,即其输出对所有输入都相等,但是实现方式却不一致。
归因分析方法需要满足实现不变性 (Implementation Invariance),即:对于两个功能相同的网络,尽管结构可能不一样,但是归因图的结果应该是相同的。
下面我们给大家从头推导积分梯度 (Integrated Gradients) 的方法。
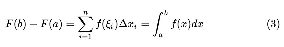
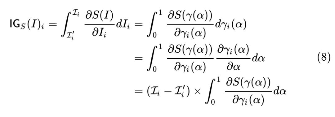
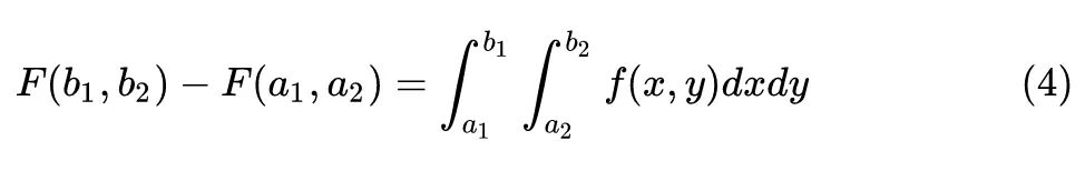
在高等数学定积分章节里面,有下面的求解一元函数定积分的方法 (这个公式来自同济大学高等数学教材第七版):
其中,第2项到第3项是通过令 得到的。这里的 都是标量。
如果把 换成矢量,则有下面的求解多元函数定积分的方法:
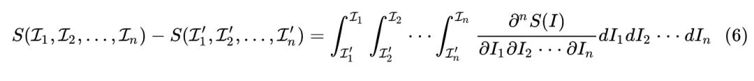
式中,函数 是个多元函数,其输入就可以看做是矢量了。这样一来和神经网络的联系就明朗了。
现在,我们把上式这个高等数学的表达换成神经网络的表达,就变成了:
式中, 是介于 和 的一个中间变量。 相当于4式的多元函数 , 和 则相当于是矢量输入。5式其实是个多重积分,因为自变量 是多元矢量: 。
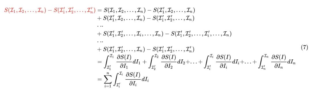
把这个多重积分写成易于理解的展开式形式就是:
注意到 ,或者写成 就是当输入图片从 变化到 ,神经网络输出结果的变化量,是个标量。那么这个东西是没办法作为归因结果的,因为归因图必须是 维大小的。
接下来我们把6式变化一下:
根据7式,我们看到:神经网络输出结果的变化量 其实是 个分量累加得到的,而这每个分量
恰好是第 个分量对输出变化的贡献。
所以积分梯度把
作为衡量了模型对输入的第 个分量的敏感程度。
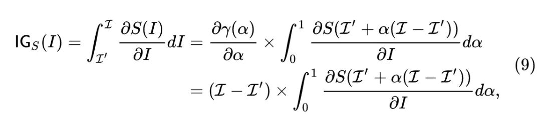
我们假设 代表连接 和 的一条曲线,其中: 。那么 就可以表示为 。我们就把它代入7式,有:
其中, 代表路径函数,最简单地可以取 ,代表连接 和 的一条直线。
衡量了模型对输入的第 个分量的敏感程度。下面我们把8式的下角标 去掉,依然将输入记为 ,Baseline 记为 ,积分梯度法的归因图 (Attribution Map) 的定义如下:
式中, 是插值参数。
根据7式,积分梯度满足:
总结
积分梯度是一种神经网络归因分析的工具,能够很好地解决直接使用梯度进行归因分析时的 Gradient Saturation 问题。本文是我个人的一个思路推导。
公众号后台回复“数据集”获取火焰和烟雾图像数据集下载~
# 极市平台签约作者#
科技猛兽
知乎:科技猛兽
清华大学自动化系19级硕士
研究领域:AI边缘计算 (Efficient AI with Tiny Resource):专注模型压缩,搜索,量化,加速,加法网络,以及它们与其他任务的结合,更好地服务于端侧设备。
作品精选

