
极市导读
视觉 Transformer 一般性的宏观架构,而不是令牌混合器 (Token Mixer) 对模型的性能更为重要。 >>加入极市CV技术交流群,走在计算机视觉的最前沿
本文目录
1 MetaFormer:令牌混合器类型不重要,宏观架构才是通用视觉模型真正需要的
(来自 Sea AI Lab,新加坡国立大学)
1.1 MetaFormer 论文解读
1.1.1 背景和动机
1.1.2 什么是 MetaFormer?
1.1.3 PoolFormer 架构
1.1.4 PoolFormer 通用视觉任务的实验结果
1.1.5 MetaFormer 通用视觉任务的实验结果
1.1.6 MetaFormer 的性能还可以再提升吗?
1.1.7 新的激活函数 StarReLU
1.1.8 缩放分支输出和不使用偏置
1.1.9 IdentityFormer 和 RandFormer 架构
1.1.10 ConvFormer 和 CAFormer 架构
1.1.11 新 MetaFormer 通用视觉任务的实验结果
1 MetaFormer:令牌混合器类型不重要,宏观架构才是通用视觉模型真正需要的
论文名称:
MetaFormer Is Actually What You Need for Vision
MetaFormer Baselines for Vision (Extended version)
论文地址:
https://arxiv.org/pdf/2111.11418.pdf
https://arxiv.org/pdf/2210.13452.pdf
1.1.1 背景和动机
与卷积神经网络 (CNN) 相比,视觉 Transformer 模型在多种计算机视觉任务中展现出了巨大的潜力。很多工作也开始卷 Transformer 模型的具体架构。以 Transformer 为代表的通用视觉模型的每个模块的架构如下图1所示。每个 Block 一般由两部分组成。其一是用于融合空间位置信息的令牌混合器 (Token Mixer) 模块,其二是用于融合通道信息的 Channel MLP 模块。当令牌混合器取不同的形式时,通用视觉模型也变化为不同的类型。比如在 ViT 中,Token Mixer 就是自注意力模块 (Self-Attention) ;在 MLP-Mixer 中,Token Mixer 就是 Spatial MLP;在 Swin Transformer 中,Token Mixer 就是 Window-based Self-Attention;在 GFNet 中,Token Mixer 就是 2D-FFT。
这几个工作都训出了很好的性能,把所有这些结果放在一起,似乎只要模型采用的一般架构确定了之后,就可以获得有希望的结果。
这两篇文章为领域带来了全新的视角,即:当前普遍的看法是基于自注意力机制 (Self-Attention) 的令牌混合器 (Token Mixer) 对视觉 Transformer 架构的能力是贡献最大的。但是最近的很多研究也表明了 Self-Attention 模块其实是可以被更加简洁的 MLP 模块所取代,所得到的模型仍然表现得很好。基于这一观察,这两篇文章的核心观点是:视觉 Transformer 一般性的宏观架构,而不是令牌混合器 (Token Mixer) 对模型的性能更为重要。
1.1.2 什么是 MetaFormer?
在本文中,作者给出了 MetaFormer 的一般性定义,即:MetaFormer 是一种通用架构,其中不指定令牌混合器的具体类型,而其他组件与视觉 Transformer 相同。
输入图片 首先进行分 Patch 操作,一般是 Patch Embedding 模块进行处理:
式中, 代表输入的嵌入, 其中 是图片的 Patch 数, 是嵌入维度。
然后, 被输入到重复的 MetaFormer Block 中,每个 Block 包括两个残差子块。
第1块由归一化操作 (Norm,可以是 BN 或 LN 等) 和令牌混合器 (Token Mixer) 构成,为了在令牌之间传递信息,这个子块可以表示为:
值得注意的是,尽管有些令牌混合器也可以混合通道之间的信息,如 Self-attention,但是令牌混合器的主要功能是为了在令牌之间传递信息。
第2块由2层的 Channel MLP 和非线性操作构成,为了在通道之间传递信息,这个子块可以表示为:
式中, 是可学习参数, 是 Expansion ratio, 是非线性激活函数。
MetaFormer 描述了一种通用架构,通过不同的令牌混合器的具体设计,可以获得不同的模型。
1.1.3 PoolFormer 架构
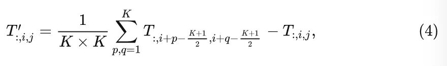
从 ViT 的提出开始,很多工作非常重视令牌混合器的具体架构是什么,并专注于设计各种高效的零派混合器。相比之下,这些工作很少注意到一般的架构,也就是 MetaFormer。本文认为这种 MetaFormer 的一般性的宏观架构对视觉 Transformer 和 MLP 的模型的成功贡献最大。为了验证这个猜想,作者搞了一个极其简单,简单到尴尬的令牌混合器 (Token Mixer):池化操作 (Pooling)。池化操作只有最最基本的融合不同空间位置信息的能力,它没有任何的权重。
定义特征为 ,池化操作的表达式可以写成:
式中, 是池化的大小,因为基本 Block 中有残差,所以作者在4式中把得到的结果减去了输入,PyTorch 代码如下:
import torch.nn as nn
class Pooling(nn.Module):
def __init__(self, pool_size=3):
super().__init__()
self.pool = nn.AvgPool2d(
pool_size, stride=1,
padding=pool_size//2,
count_include_pad=False,
)
def forward(self, x):
"""
[B, C, H, W] = x.shape
Subtraction of the input itself is added
since the block already has a
residual connection.
"""
return self.pool(x) - x
Pooling 操作的好处是计算复杂度随序列长度仅仅线性变化,因此作者借助 MetaFormer 的架构,设计出 PoolFormer 的架构如下图2所示。PoolFormer 由4个 stage 组成,各个 stage 的输入分辨率逐级递减,Block 数分别是 。PoolFormer 的超参数如下图3所示。
1.1.4 PoolFormer 通用视觉任务的实验结果
令人惊讶的是,这个被称为 PoolFormer 的派生模型取得了非常有竞争力的性能,甚至优于一些性能优良的 Transformer 和 MLP 模型。
ImageNet-1K 分类实验结果
如下图4所示是 PoolFormer 的 ImageNet-1K 分类结果。令人惊讶的是,尽管使用的是极其简单的池化令牌混合器,PoolFormer 仍然可以达到非常有竞争力的性能。比如,PoolFormer-S24 只使用了 21M 的参数和 3.4G MACs 的计算量就达到了超过 80% 的 ImageNet-1K 分类精度,其性能和效率都超过了经典的 DeiT-S 模型和 ResMLP-S24 等等。即使与更多改进的 ViT 和 MLP 模型相比,PoolFormer 仍然显示出更好的性能。具体来说,PVT-Medium 在 44M 的参数和 6.7G 的 MACs 下获得了 81.2 的 top-1 精度。而 PoolFormer-S36 在参数减少 30%(31M) 和 6.7G 的情况下达到了 81.4 的 top-1 精度。
与 RSB-ResNet[1] 相比,PoolFormer 仍然表现得更好。在大约 22M 参数 3.7GMACs 的情况下,RSB-ResNet-34可以获得 75.5% 的精度,而 PoolFormerS24 的精度可以达到 80.3%。由于池化层的局部空间建模能力比神经卷积层差很多,PoolFormer 的竞争性能只能归功于其通用架构 MetaFormer。
目标检测和实例分割实验结果
如下图5所示是在 COCO benchmark 上验证的目标检测和实例分割实验结果。作者使用 PoolFormer 作为 Backbone,RetinaNet 和 Mask R-CNN 作为检测头。使用 1× 的训练策略,训练模型 12 Epochs。基于PoolFormer 的 Backbone 搭配 RetinaNet 作为检测头进行目标检测,其表现一直优于同类的 ResNet Backbone。比如,PoolFormer-S12 取得了36.2的 AP,大大超过了 ResNet-18 的31.8的 AP。
语义分割实验结果
如下图6所示是在 ADE20K 上验证的语义分割实验结果。作者使用 PoolFormer 作为 Backbone,Semantic FPN 作为分割头。训练模型 80K iteration。基于PoolFormer 的 Backbone 搭配 Semantic FPN 作为分割头进行语义分割,其表现一直优于同类的 ResNet Backbone 和 PVT。这些结果进一步表明了 MetaFormer 的巨大潜力。
1.1.5 MetaFormer 通用视觉任务的实验结果
如下图7所示是 MetaFormer 通用视觉任务的实验结果。作者把池化操作进一步换成了多种不同的简单操作 (如 Identity Mapping,Global Random Matrix,Depthwise Convolution 等),精度分别达到了 74.3%,75.8%,78.1%,证明只要有 MetaFormer 这样的宏观架构,即使是用完全随机的令牌混合器 (Global Random Matrix),也能很好地工作,更不用说与其他更好的令牌混合器了。当进一步把令牌混合器换成带有可学习参数的 Depth-wise Convolution 之后,S12 级别的模型可以训出 78.1% 的性能。到目前为止,已经在 MetaFormer 中指定了多种令牌混合器,所有得出的模型都保持了良好的结果,说明 MetaFormer 架构确实是模型 work 的关键。
接下来作者进一步把 stage3 和 stage4 的 Pooling 操作换成 Attention 和 SpatialFC 操作。因为 Pooling 操作可以处理更长的输入序列,而 Attention 和 SpatialFC 操作则擅长捕捉全局的信息。因此,MetaFormer 的其中一种很自然而然的设计思路就是在前面的 stage 使用 Pooling 操作,在后面的 stage 放一些 Attention 和 SpatialFC 操作。从图7的实验结果也可以看出,这样的设计的性能可以分被实现 81.0% 和 77.9% 的 top-1 精度。
这些结果表明,将 MetaFormer 的池化和其他令牌混合器结合起来,可能是进一步提高性能的一个有希望的方向。下一节将继续探索如何使得 MetaFormer 的性能继续提升。
1.1.6 MetaFormer 的性能还可以再提升吗?
至此,ViT 的抽象宏观架构, MetaFormer,已被证明对一个通用视觉架构的 work 起了很关键的作用。原班人马作者又在新的一个工作中进行了下一步的探索,即:MetaFormer 的性能还可以再提升吗?
在这个工作里面,作者再一次将目光从令牌混合器上移开,使用了几种最最基本的 token mixer:**恒等映射 (Identity mapping),全局随机合并 (Global Random Mixing),可分离卷积 (Separable Convolution),以及原始的自注意力机制 (Self-attention)**。并给出了下面3个观察:
-
MetaFormer 保证了稳定的性能下限: 使用恒等映射作为令牌混合器 (其实压根就没有令牌混合的功能),搞出一个叫 IdentityFormer 的模型,让我们惊讶的是,这个极其粗糙的模型已经达到了令人满意的精度 (73M Params 和 11.5 GMACs 实现了 80.4% 的 ImageNet-1K 精度)。IdentityFormer 的结果表明,MetaFormer 确实是一个可靠的体系结构,即使使用恒等映射这种无效的令牌混合机制,它也能确保良好的性能下界。 -
MetaFormer 搭配任意令牌混合器,都能实现不错的性能: 为了进一步探究 MetaFormer 对令牌混合器的泛化性,作者进一步将令牌混合器替换为一个随机矩阵。这样以来,虽然也有令牌混合的功能,但是混合的方式也是完全任意的。具体而言,只在前两个 stage 使用随机矩阵,后两个 stage 依然使用 Identity mapping。该衍生模型被称为 RandFormer,这个模型提高了 IdentityFormer 1.0%,实现了 81.4% 的 ImageNet-1K 精度。这个结果验证了 MetaFormer 与令牌混合器的泛化性和兼容性。 -
MetaFormer 毫不费力地实现最先进的性能: 作者进一步尝试向 MetaFormer 中加入更多类型的令牌混合器,比如很久之前提出的可分离卷积 (Separable Convolution),以及原始的自注意力机制 (Self-attention),得到的模型分别称之为 ConvFormer 和 CAFormer,具体而言:
-
ConvFormer 的性能超越了 ConvNeXt [2] : 使用了可分离卷积作为令牌混合器之后,得到一个不含任何注意力机制的纯 CNN 模型,精度超越 CVPR 2022 的 ConvNeXt。
-
CAFormer 在 ImageNet-1K 上创下了新纪录: 使用了自注意力机制作为令牌混合器之后 (前2个 stage),在 ImageNet-1K 上在224×224 的分辨率下达到了 85.5% 的 top-1 精度的新记录。
1.1.7 新的激活函数 StarReLU
作者在这个工作里面给出了一个新的激活函数 StarReLU 和2个小改动。
ReLU 激活函数
原始 Transformer 模型使用 ReLU 作为默认的激活函数,ReLU 的表达式可以写成:
每个单元的计算量花销是 1 FLOP。
GELU 激活函数
GPT,BERT,ViT 等模型使用 GELU 作为默认的激活函数,GELU 的表达式可以写成:
式中, 是高斯分布的累计分布函数 (Cumulative Distribution Function for Gaussian Distribution, CDFGD),每个单元的计算量花销是 14 FLOPs (乘法加法都算作 1 FLOPs,tanh 的计算量按照 6 FLOPs 来计算)。
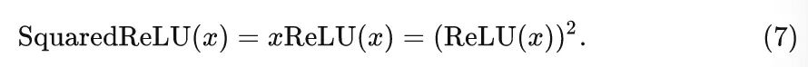
Squared ReLU 激活函数
为了简化 GELU 的运算,Primer[3] 这个工作发现 CDFGD 可以使用 ReLU 替换。
每个单元的计算量花销是 2 FLOPs。尽管 Squared ReLU 比较简单,但作者发现它在某些模型上的性能不如GELU 激活函数。作者认为,性能较差的原因可能是由于输出分布的偏移造成的。
StarReLU 激活函数
假设输入 服从均值为 0 , 方差为 1 的正态分布, 即 , 则有:
上式的计算过程是:
因此,为了消除输出分布偏移的影响,作者对 Squared ReLU 激活函数的分布减去均值,再除以标准差,得到 StarReLU 激活函数:
但是,在以上公式的推导中,作者假设输入呈现出标准正态分布,这一假设很强。为了使得激活函数可以适应不同的情况,可以将 scale 和 bias 设置为可学习的参数,因此,激活函数可以统一写成:
式中, 对于所有通道都是共享的。StarReLU 激活函数每个单元的计算量花销只有 4 FLOPs。
1.1.8 缩放分支输出和不使用偏置
为了能把 ViT 架构做得更深,CaiT[4] 这个工作提出使用 LayerScale 方法,即给可学习分支的输出乘以一个可学习的系数:
式中, 代表输入的特征, 是归一化函数, 代表令牌混合器或者 Channel MLP。
NormFormer 提出了一种 ResScale 的方法,即通过给 shortcut 分支的输出乘以一个可学习的系数来稳定模型的训练:
作者把上面两种技术结合,给两个分支都乘以一个可学习的系数,称为 BranchScale,表达式如下:
但是最后发现 ResScale 性能最好。
然后,作者在 FC 层,卷积层,归一化层中都不使用偏置项,发现这样不但不会影响性能,而且还能够带来轻微的提升。
1.1.9 IdentityFormer 和 RandFormer 架构
IdentityFormer 的令牌混合器 (恒等映射函数实质上没有令牌混合的功能):
RandFormer 的令牌混合器:
式中, 是一个不更新参数的随机矩阵,起到基本的令牌混合的功能。
PyTorch 代码如下:
import torch
import torch.nn as nn
# Identity mapping
from torch.nn import Identity
# Random mixing
class RandomMixing(nn.Module):
def __init__(self, num_tokens=196):
super().__init__()
self.random_matrix = nn.parameter.Parameter(
data=torch.softmax(torch.rand(num_tokens, num_tokens), dim=-1),
requires_grad=False)
def forward(self, x):
B, H, W, C = x.shape
x = x.reshape(B, H*W, C)
x = torch.einsum('mn, bnc -> bmc', self.random_matrix, x)
x = x.reshape(B, H, W, C)
return x
模型架构参数如下图9所示。
1.1.10 ConvFormer 和 CAFormer 架构
ConvFormer 的令牌混合器:
式中, 和 是 Pointwise 卷积, 是 Depthwise 卷积。作者遵循了 MobileNetV2[5] 里面 inverted separable convolution 的设计得到一个纯卷积的令牌混合器。
PyTorch 代码如下:
import torch
import torch.nn as nn
# Separable Convolution
class SepConv(nn.Module):
"Inverted separable convolution from MobileNetV2"
def __init__(self, dim, kernel_size=7, padding=3, expansion_ratio=2, act1=nn.ReLU, act2=nn.Identity,
bias=True):
super().__init__()
med_channels = int(expansion_ratio * dim)
self.pwconv1 = nn.Linear(dim, med_channels, bias=bias) # pointwise conv implemented by FC
self.act1 = preconv_act()
self.dwconv = nn.Conv2d(med_channels, med_channels, kernel_size=kernel_size,
padding=padding, groups=med_channels, bias=bias) # depthwise conv
self.act2 = act_layer()
self.pwconv2 = nn.Linear(med_channels, dim, bias=bias) # pointwise conv implemented by FC
def forward(self, x):
# [B, H, W, C] = x.shape
x = self.pwconv1(x)
x = self.act1(x)
x = x.permute(0, 3, 1, 2) # [B, H, W, D] -> [B, D, H, W]
x = self.dwconv(x)
x = x.permute(0, 2, 3, 1) # [B, D, H, W] -> [B, H, W, D]
x = self.act2(x)
x = self.pwconv2(x)
return x
模型架构参数如下图10所示。
1.1.11 新 MetaFormer 通用视觉任务的实验结果
ImageNet-1K 实验结果
训练方式1:先以 224×224 的分辨率在 ImageNet-1K 数据集上训练 300 Epochs (不使用 LayerScale,但是在最后的两个 stage 使用 ResScale。优化器使用 AdamW,Batch Size 设置为 4096,CAFormer 除外 (使用 LAMB 优化器)),再以 384×384 的分辨率在 ImageNet-1K 数据集上微调 30 Epochs。
训练方式2:先以 224×224 的分辨率在 ImageNet-21K 数据集上训练 90 Epochs,再以 224×224 或者 384×384 的分辨率在 ImageNet-1K 数据集上微调 30 Epochs。
如下图11所示是 IdentityFormer 和 RandFormer 与 RSB-ResNet 等模型对比的实验结果,下划线部分代表冻结参数的参数量。虽然令牌混合器只是恒等映射和冻结参数的随机映射矩阵,但是 IdentityFormer-S12/S24 也超过了 RSB-ResNet-18/34 4.0%/2.7% 的精度。通过缩放模型尺寸到 ~ 73M 参数和 ~ 12G MACs, IdentityFormer-M48 可以实现 80.4% 的精度,该精度已经超过 RSB-ResNet-50 的 79.8%。IdentityFormer 的结果表明,MetaFormer 对于模型性能的下限有个稳定的保底。也就是说,如果采用 MetaFormer 作为通用框架来开发自己的模型,在类似IdentityFormer-M48 的 Params 和 MACs 的情况下,精度不会低于80%。而且,RandFormer 可以持续提升 IdentityFormer 的精度。RandFormer 的结果表明了 MetaFormer 与令牌混合器的通用兼容性。因此,当配备了奇奇怪怪的令牌混合器时,可以放心 MetaFormer 的性能。
如下图12所示是 ConvFormer 和 CAFormer 与 ConvNeXt 等模型对比的实验结果,ConvFormer 实际上可以看作是一种没有任何注意力机制的纯 CNN 模型。从图中可以观察到,ConvFormer 明显优于强 CNN 基线模型ConvNeXt。比如在 224 ×224 的分辨率下,ConvFomer-B36 (100M 参数和 22.6 GMACs) 比 ConvNeXt-B (198M参数和34.4 GMACs) 高出 0.5% 的 top-1 精度。
而且,CAFormer 的性能更显著。CAFormer 只是把 ConvFormer 的前两个阶段由可分离卷积替换成了自注意力机制,但它已经持续优于其他不同规模的模型,如下图12所示。值得注意的是,CAFormer 在 ImageNet-1K 上创造了 224×224 直接训练 300 Epochs 的新记录 85.5% 的 top-1 精度,优于 MViTv2-L 等。
ConvFormer 和 CAFormer 的结果表明,即使是配备了可分离卷积这种几年前提出的 "老式" 令牌混合器,仍然可以取得显著的性能,这些结果表明MetaFormer可以提供很高的潜力。有了这些结论,当进一步将令牌混合器换成其他更高级的形式以后,取得更好的性能其实也已经不足为奇了。
总结
本文介绍的这两篇文章为领域带来了全新的视角,即:视觉 Transformer 一般性的宏观架构,而不是令牌混合器 (Token Mixer) 对模型的性能更为重要。为了验证这个猜想,作者搞了一个极其简单,简单到尴尬的令牌混合器 (Token Mixer):池化操作 (Pooling)。池化操作只有最最基本的融合不同空间位置信息的能力,它没有任何的权重。但是基于它所构建的 PoolFormer 架构依然能取得不俗的性能。不仅如此,把令牌混合器分别换成恒等映射和冻结参数的随机矩阵的结果表明 MetaFormer 对于模型性能的下限有个稳定的保底,及其对于令牌混合器的通用兼容性。即使是配备了可分离卷积这种几年前提出的 "老式" 令牌混合器,仍然可以取得显著的性能,这些结果表明MetaFormer可以提供很高的潜力。
参考
-
^Resnet' strikes back: An improved training procedure in timm -
^A ConvNet for the 2020s -
^Primer: Searching for Efficient Transformers for Language Modeling -
^Going deeper with Image Transformers -
^MobileNetV2: Inverted Residuals and Linear Bottlenecks
公众号后台回复“数据集”获取100+深度学习数据集下载~
# 极市平台签约作者#
科技猛兽
知乎:科技猛兽
清华大学自动化系19级硕士
研究领域:AI边缘计算 (Efficient AI with Tiny Resource):专注模型压缩,搜索,量化,加速,加法网络,以及它们与其他任务的结合,更好地服务于端侧设备。
作品精选

