
极市导读
IOU损失函数目前主要应用于目标检测的领域,其演变的过程如下:IOU --> GIOU --> DIOU -->CIOU损失函数,每一种损失函数都较上一种损失函数有所提升。本文来具体介绍这几种损失函数。 >>魏秀参教授坐镇评审、220G数据集!ACCV2022国际细粒度图像分析挑战赛赛题详解
IOU损失函数:
图片展示了3组矩形框重合的示例:绿色是真实目标存在的框GT box,黑色是预测的box位置。通过观察上图,发现第三个预测效果较好,因为预测目标的位置与真实目标最为接近。但是计算三组l2损失发现损失值都为8.41,然而IOU的值不同。因此说明l2损失不能准确反应两个目标边界框重合的程度,因此诞生了IOU损失函数。
上图是IOU损失函数的计算方法:首先绿色的框表示真实目标的位置,蓝色框代表预测框的位置。IOU的计算方法很简单,用两个方框相交的面积/两个方框合并的面积,将得到的值取以e为底对数,前面添上负号就得到了IOU损失函数。
GIOU损失函数:
如图:绿色是真实目标边界框,红色是预测目标边界框,最外面的蓝色边框是将红绿矩形用最小矩形框起来的边界,Ac是蓝色矩形框的面积,u对应红绿矩形的并集面积。
如果当红绿矩形完美重合,那么IOU =1, Ac = u = 预测目标边界框面积,GIOU = 1 - 0 = 1。如果两个目标分开很远,Ac趋向于很大的数值,u趋于0,IOU也趋于0,GIOU = 0 - 1 = -1。因此GIOU取值的区间是[-1, 1]。
GIOU损失函数的最终表达形式是L(GIOU) = 1 - GIOU
上表是原论文中的实验效果:第一列(AP-IoU一列)采用MSE(l2损失)的mAP=0.461,采用IoU损失得到的mAP=0.466,有些许提升。如果采用GIoU loss,能达到0.477,效果比IOU更好。
但是,GIOU也存在它的缺点:当两个预测框高宽相同,且处于同一水平面时,GIOU就退化为IOU。此外,GIOU和IOU还有两个缺点:收敛较慢、回归不够准确。
DIOU 损失函数:
在介绍DIOU之前,先来介绍采用DIOU的效果:如图,黑色代表anchor box, 蓝色红色代表default box,绿色代表真实目标存在的框GT box的位置,期望红蓝框与绿框尽可能重合。第一行是使用GIOU训练网络,让预测边界框尽可能回归到真实目标边界框中,迭代到400次后才勉强重合。第二行使用DIOU训练网络,到达120步时,发现与目标边界框已经完全重合。可以看出,相对于GIOU,DIOU的不仅收敛速度更快,准确率也更高。
我们再看一组图,图中给出了3组目标边界框与目标边界框的重合关系,显然他们的重合位置不相同的,我们期望第三种重合(两个box中心位置尽可能重合。这三组计算的IOU loss和GIoU loss是一模一样的,因此这两种损失不能很好表达边界框重合关系)。但是DIOU计算出的三种情况的损失是不一样的,显然DIOU更加合理。
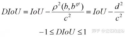
ρ代表b和b(gt)之间的欧氏距离
结合这张图理解一下公式:b代表预测中心坐标的参数,也就是黑框的中心点,bgt代表真实目标边界框中心的参数,即绿框中心点。ρ^2就是两个中心点距离的平方,即图中的d(红线)的平方,c代表两个矩形的最小外接矩形对角线(蓝线)长度。如果两个框完美重叠,d=0 ,IOU = 1,DIOU = 1 - 0 = 1 。如果两个框相距很远,d^2/c^2 趋近于1,IOU = 0, DIOU = 0 - 1 = -1 。因此,DIOU的取值范围也是[-1,1]。
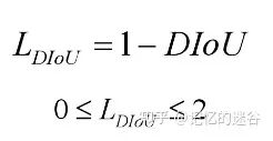
DIOU最终损失函数为:L(DIoU) = 1 - DIOU
当采用DIOU loss,mAP为46.57,相较于Iou和GIOU准确率都有提高,且收敛速度相比IOU提高了3%左右。
CIOU LOSS:
论文中,作者表示一个优秀的回归定位损失应该考虑三种几何参数:重叠面积、中心点距离、长宽比。CIoU就是在DIoU的基础上增加了检测框尺度的loss,增加了长和宽的loss,这样预测框就会更加的符合真实框。
因此CIOU的三项恰好对应IOU,中心点距离,长宽比的计算。CIOU loss = 1 - CIoU。α和v为长宽比,计算公式如上图所示:w、h和w(gt)、h(gt)分别代表预测框的高宽和真实框的高宽。
如果使用CIOU,mAP可以达到49.21%,相比于GIoU涨了1.5个百分点。CIOU(D)指在验证模型评价mAP时,将IOU换成DIOU,准确率还有提升 。
实际检测效果中,CIOU相比GIOU在框选目标时,能找到一个更合适的框选位置。如上图所示,第一行的两张图中,第一个猫猫使用GIOU损失函数,发现有一只猫耳朵在框外,第二只猫猫使用DIOU损失函数,将猫猫的位置准确标出。同样,第二行中,第一只狗狗虽然完整标出,但并不能准确框出狗狗的轮廓,而第二张图检测框的位置刚好合适。
鸣谢:本文内容总结自up主霹雳吧啦Wz
参考视频来源:https://www.bilibili.com/video/BV1yi4y1g7ro

# CV技术社群邀请函 #
备注:姓名-学校/公司-研究方向-城市(如:小极-北大-目标检测-深圳)
即可申请加入极市目标检测/图像分割/工业检测/人脸/医学影像/3D/SLAM/自动驾驶/超分辨率/姿态估计/ReID/GAN/图像增强/OCR/视频理解等技术交流群
极市&深大CV技术交流群已创建,欢迎深大校友加入,在群内自由交流学术心得,分享学术讯息,共建良好的技术交流氛围。
“
点击阅读原文进入CV社区
收获更多技术干货

