极市导读
Transformer整个网络结构完全由Attention机制组成,其出色的性能在多个任务上都取得了非常好的效果。本文从Transformer的结构出发,结合视觉中的成果进行了分析,能够帮助初学者们快速入门。 >>加入极市CV技术交流群,走在计算机视觉的最前沿
0 摘要
transformer结构是google在17年的Attention Is All You Need论文中提出,在NLP的多个任务上取得了非常好的效果,可以说目前NLP发展都离不开transformer。最大特点是抛弃了传统的CNN和RNN,整个网络结构完全是由Attention机制组成。由于其出色性能以及对下游任务的友好性或者说下游任务仅仅微调即可得到不错效果,在计算机视觉领域不断有人尝试将transformer引入,近期也出现了一些效果不错的尝试,典型的如目标检测领域的detr和可变形detr,分类领域的vision transformer等等。本文从transformer结构出发,结合视觉中的transformer成果(具体是vision transformer和detr)进行分析,希望能够帮助cv领域想了解transformer的初学者快速入门。由于本人接触transformer时间也不长,也算初学者,故如果有描述或者理解错误的地方欢迎指正。
本文的大部分图来自论文、国外博客和国内翻译博客,在此一并感谢前人工作,具体链接见参考资料。本文特别长,大概有3w字,请先点赞收藏然后慢慢看....
1 transformer介绍
一般讲解transformer都会以机器翻译任务为例子讲解,机器翻译任务是指将一种语言转换得到另一种语言,例如英语翻译为中文任务。从最上层来看,如下所示:

1.1 早期seq2seq
机器翻译是一个历史悠久的问题,本质可以理解为序列转序列问题,也就是我们常说的seq2seq结构,也可以称为encoder-decoder结构,如下所示:

encoder和decoder在早期一般是RNN模块(因为其可以捕获时序信息),后来引入了LSTM或者GRU模块,不管内部组件是啥,其核心思想都是通过Encoder编码成一个表示向量,即上下文编码向量,然后交给Decoder来进行解码,翻译成目标语言。一个采用典型RNN进行编码码翻译的可视化图如下:

可以看出,其解码过程是顺序进行,每次仅解码出一个单词。对于CV领域初学者来说,RNN模块构建的seq2seq算法,理解到这个程度就可以了,不需要深入探讨如何进行训练。但是上述结构其实有缺陷,具体来说是:
-
不论输入和输出的语句长度是什么,中间的上下文向量长度都是固定的,一旦长度过长,仅仅靠一个固定长度的上下文向量明显不合理 -
仅仅利用上下文向量解码,会有信息瓶颈,长度过长时候信息可能会丢失
通俗理解是编码器与解码器的连接点仅仅是编码单元输出的隐含向量,其包含的信息有限,对于一些复杂任务可能信息不够,如要翻译的句子较长时,一个上下文向量可能存不下那么多信息,就会造成翻译精度的下降。
1.2 基于attention的seq2seq
基于上述缺陷进而提出带有注意力机制Attention的seq2seq,同样可以应用于RNN、LSTM或者GRU模块中。注意力机制Attention对人类来说非常好理解,假设给定一张图片,我们会自动聚焦到一些关键信息位置,而不需要逐行扫描全图。此处的attention也是同一个意思,其本质是对输入的自适应加权,结合cv领域的senet中的se模块就能够理解了。

se模块最终是学习出一个1x1xc的向量,然后逐通道乘以原始输入,从而对特征图的每个通道进行加权即通道注意力,对attention进行抽象,不管啥领域其机制都可以归纳为下图:

将Query(通常是向量)和4个Key(和Q长度相同的向量)分别计算相似性,然后经过softmax得到q和4个key相似性的概率权重分布,然后对应权重乘以Value(和Q长度相同的向量),最后相加即可得到包含注意力的attention值输出,理解上应该不难。举个简单例子说明:
-
假设世界上所有小吃都可以被标签化,例如微辣、特辣、变态辣、微甜、有嚼劲....,总共有1000个标签,现在我想要吃的小吃是[微辣、微甜、有嚼劲],这三个单词就是我的Query -
来到东门老街一共100家小吃点,每个店铺卖的东西不一样,但是肯定可以被标签化,例如第一家小吃被标签化后是[微辣、微咸],第二家小吃被标签化后是[特辣、微臭、特咸],第二家小吃被标签化后是[特辣、微甜、特咸、有嚼劲],其余店铺都可以被标签化,每个店铺的标签就是Keys,但是每家店铺由于卖的东西不一样,单品种类也不一样,所以被标签化后每一家的标签List不一样长 -
Values就是每家店铺对应的单品,例如第一家小吃的Values是[烤羊肉串、炒花生] -
将Query和所有的Keys进行一一比对,相当于计算相似性,此时就可以知道我想买的小吃和每一家店铺的匹配情况,最后有了匹配列表,就可以去店铺里面买东西了(Values和相似性加权求和)。最终的情况可能是,我在第一家店铺买了烤羊肉串,然后在第10家店铺买了个玉米,最后在第15家店铺买了个烤面筋
以上就是完整的注意力机制,采用我心中的标准Query去和被标签化的所有店铺Keys一一比对,此时就可以得到我的Query在每个店铺中的匹配情况,最终去不同店铺买不同东西的过程就是权重和Values加权求和过程。简要代码如下:
# 假设q是(1,N,512),N就是最大标签化后的list长度,k是(1,M,512),M可以等于N,也可以不相等
# (1,N,512) x (1,512,M)-->(1,N,M)
attn = torch.matmul(q, k.transpose(2, 3))
# softmax转化为概率,输出(1,N,M),表示q中每个n和每个m的相关性
attn=F.softmax(attn, dim=-1)
# (1,N,M) x (1,M,512)-->(1,N,512),V和k的shape相同
output = torch.matmul(attn, v)
带有attention的RNN模块组成的ser2seq,解码时候可视化如下:
在没有attention时候,不同解码阶段都仅仅利用了同一个编码层的最后一个隐含输出,加入attention后可以通过在每个解码时间步输入的都是不同的上下文向量,以上图为例,解码阶段会将第一个开启解码标志<START>(也就是Q)与编码器的每一个时间步的隐含状态(一系列Key和Value)进行点乘计算相似性得到每一时间步的相似性分数,然后通过softmax转化为概率分布,然后将概率分布和对应位置向量进行加权求和得到新的上下文向量,最后输入解码器中进行解码输出,其详细解码可视化如下:
通过上述简单的attention引入,可以将机器翻译性能大幅提升,引入attention有以下几个好处:
-
注意力显著提高了机器翻译性能 -
注意力允许解码器以不同程度的权重利用到编码器的所有信息,可以绕过瓶颈 -
通过检查注意力分布,可以看到解码器在关注什么,可解释性强
1.3 基于transformer的seq2seq
基于attention的seq2seq的结构虽然说解决了很多问题,但是其依然存在不足:
-
不管是采用RNN、LSTM还是GRU都不利于并行训练和推理,因为相关算法只能从左向右依次计算或者从右向左依次计算 -
长依赖信息丢失问题,顺序计算过程中信息会丢失,虽然LSTM号称有缓解,但是无法彻底解决
最大问题应该是无法并行训练,不利于大规模快速训练和部署,也不利于整个算法领域发展,故在Attention Is All You Need论文中抛弃了传统的CNN和RNN,将attention机制发挥到底,整个网络结构完全是由Attention机制组成,这是一个比较大的进步。
google所提基于transformer的seq2seq整体结构如下所示:
其包括6个结构完全相同的编码器,和6个结构完全相同的解码器,其中每个编码器和解码器设计思想完全相同,只不过由于任务不同而有些许区别,整体详细结构如下所示:
第一眼看有点复杂,其中N=6,由于基于transformer的翻译任务已经转化为分类任务(目标翻译句子有多长,那么就有多少个分类样本),故在解码器最后会引入fc+softmax层进行概率输出,训练也比较简单,直接采用ce loss即可,对于采用大量数据训练好的预训练模型,下游任务仅仅需要训练fc层即可。上述结构看起来有点复杂,一个稍微抽象点的图示如下:

看起来比基于RNN或者其余结构构建的seq2seq简单很多。下面结合代码和原理进行深入分析。
1.4 transformer深入分析
前面写了一大堆,没有理解没有关系,对于cv初学者来说其实只需要理解QKV的含义和注意力机制的三个计算步骤:Q和所有K计算相似性;对相似性采用softmax转化为概率分布;将概率分布和V进行一一对应相乘,最后相加得到新的和Q一样长的向量输出即可,重点是下面要讲的transformer结构。
下面按照 编码器输入数据处理->编码器运行->解码器输入数据处理->解码器运行->分类head 的实际运行流程进行讲解。
1.4.1 编码器输入数据处理
(1) 源单词嵌入
以上面翻译任务为例,原始待翻译输入是三个单词:

输入是三个单词,为了能够将文本内容输入到网络中肯定需要进行向量化(不然单词如何计算?),具体是采用nlp领域的embedding算法进行词嵌入,也就是常说的Word2Vec。对于cv来说知道是干嘛的就行,不必了解细节。假设每个单词都可以嵌入成512个长度的向量,故此时输入即为3x512,注意Word2Vec操作只会输入到第一个编码器中,后面的编码器接受的输入是前一个编码器输出。
为了便于组成batch(不同训练句子单词个数肯定不一样)进行训练,可以简单统计所有训练句子的单词个数,取最大即可,假设统计后发现待翻译句子最长是10个单词,那么编码器输入是10x512,额外填充的512维向量可以采用固定的标志编码得到,例如$$。
(2) 位置编码positional encoding
采用经过单词嵌入后的向量输入到编码器中还不够,因为transformer内部没有类似RNN的循环结构,没有捕捉顺序序列的能力,或者说无论句子结构怎么打乱,transformer都会得到类似的结果。为了解决这个问题,在编码词向量时会额外引入了位置编码position encoding向量表示两个单词i和j之间的距离,简单来说就是在词向量中加入了单词的位置信息。
加入位置信息的方式非常多,最简单的可以是直接将绝对坐标0,1,2编码成512个长度向量即可。作者实际上提出了两种方式:
-
网络自动学习 -
自己定义规则
提前假设单词嵌入并且组成batch后,shape为(b,N,512),N是序列最大长度,512是每个单词的嵌入向量长度,b是batch
(a) 网络自动学习
self.pos_embedding = nn.Parameter(torch.randn(1, N, 512))
比较简单,因为位置编码向量需要和输入嵌入(b,N,512)相加,所以其shape为(1,N,512)表示N个位置,每个位置采用512长度向量进行编码
(b) 自己定义规则
自定义规则做法非常多,论文中采用的是sin-cos规则,具体做法是:
-
将向量(N,512)采用如下函数进行处理

pos即0~N,i是0-511
-
将向量的512维度切分为奇数行和偶数行 -
偶数行采用sin函数编码,奇数行采用cos函数编码 -
然后按照原始行号拼接
def get_position_angle_vec(position):
# d_hid是0-511,position表示单词位置0~N-1
return [position / np.power(10000, 2 * (hid_j // 2) / d_hid) for hid_j in range(d_hid)]
# 每个单词位置0~N-1都可以编码得到512长度的向量
sinusoid_table = np.array([get_position_angle_vec(pos_i) for pos_i in range(n_position)])
# 偶数列进行sin
sinusoid_table[:, 0::2] = np.sin(sinusoid_table[:, 0::2]) # dim 2i
# 奇数列进行cos
sinusoid_table[:, 1::2] = np.cos(sinusoid_table[:, 1::2]) # dim 2i+1
上面例子的可视化如下:

如此编码的优点是能够扩展到未知的序列长度,例如前向时候有特别长的句子,其可视化如下:
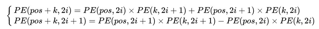
作者为啥要设计如此复杂的编码规则?原因是sin和cos的如下特性:

可以将
用
进行线性表出:

假设k=1,那么下一个位置的编码向量可以由前面的编码向量线性表示,等价于以一种非常容易学会的方式告诉了网络单词之间的绝对位置,让模型能够轻松学习到相对位置信息。注意编码方式不是唯一的,将单词嵌入向量和位置编码向量相加就可以得到编码器的真正输入了,其输出shape是(b,N,512)。
1.4.2 编码器前向过程
编码器由两部分组成:自注意力层和前馈神经网络层。

其前向可视化如下:

注意上图没有绘制出单词嵌入向量和位置编码向量相加过程,但是是存在的。
(1) 自注意力层
通过前面分析我们知道自注意力层其实就是attention操作,并且由于其QKV来自同一个输入,故称为自注意力层。我想大家应该能想到这里attention层作用,在参考资料1博客里面举了个简单例子来说明attention的作用:假设我们想要翻译的输入句子为The animal didn't cross the street because it was too tired,这个“it”在这个句子是指什么呢?它指的是street还是这个animal呢?这对于人类来说是一个简单的问题,但是对于算法则不是。当模型处理这个单词“it”的时候,自注意力机制会允许“it”与“animal”建立联系即随着模型处理输入序列的每个单词,自注意力会关注整个输入序列的所有单词,帮助模型对本单词更好地进行编码。实际上训练完成后确实如此,google提供了可视化工具,如下所示:

上述是从宏观角度思考,如果从输入输出流角度思考,也比较容易:

假设我们现在要翻译上述两个单词,首先将单词进行编码,和位置编码向量相加,得到自注意力层输入X,其shape为(b,N,512);然后定义三个可学习矩阵
(通过nn.Linear实现),其shape为(512,M),一般M等于前面维度512,从而计算后维度不变;将X和矩阵
相乘,得到QKV输出,shape为(b,N,M);然后将Q和K进行点乘计算向量相似性;采用softmax转换为概率分布;将概率分布和V进行加权求和即可。其可视化如下:
上述绘制的不是矩阵形式,更好理解而已。对于第一个单词的编码过程是:将q1和所有的k进行相似性计算,然后除以维度的平方根(论文中是64,本文可以认为是512)使得梯度更加稳定,然后通过softmax传递结果,这个softmax分数决定了每个单词对编码当下位置(“Thinking”)的贡献,最后对加权值向量求和得到z1。
这个计算很明显就是前面说的注意力机制计算过程,每个输入单词的编码输出都会通过注意力机制引入其余单词的编码信息。
上述为了方便理解才拆分这么细致,实际上代码层面采用矩阵实现非常简单:

上面的操作很不错,但是还有改进空间,论文中又增加一种叫做“多头”注意力(“multi-headed” attention)的机制进一步完善了自注意力层,并在两方面提高了注意力层的性能:
-
它扩展了模型专注于不同位置的能力。在上面的例子中,虽然每个编码都在z1中有或多或少的体现,但是它可能被实际的单词本身所支配。如果我们翻译一个句子,比如“The animal didn’t cross the street because it was too tired”,我们会想知道“it”指的是哪个词,这时模型的“多头”注意机制会起到作用。 -
它给出了注意力层的多个“表示子空间",对于“多头”注意机制,有多个查询/键/值权重矩阵集(Transformer使用8个注意力头,因此我们对于每个编码器/解码器有8个矩阵集合)。

简单来说就是类似于分组操作,将输入X分别输入到8个attention层中,得到8个Z矩阵输出,最后对结果concat即可。论文图示如下:
先忽略Mask的作用,左边是单头attention操作,右边是n个单头attention构成的多头自注意力层。
代码层面非常简单,单头attention操作如下:
class ScaledDotProductAttention(nn.Module):
''' Scaled Dot-Product Attention '''
def __init__(self, temperature, attn_dropout=0.1):
super().__init__()
self.temperature = temperature
self.dropout = nn.Dropout(attn_dropout)
def forward(self, q, k, v, mask=None):
# self.temperature是论文中的d_k ** 0.5,防止梯度过大
# QxK/sqrt(dk)
attn = torch.matmul(q / self.temperature, k.transpose(2, 3))
if mask is not None:
# 屏蔽不想要的输出
attn = attn.masked_fill(mask == 0, -1e9)
# softmax+dropout
attn = self.dropout(F.softmax(attn, dim=-1))
# 概率分布xV
output = torch.matmul(attn, v)
return output, attn
再次复习下Multi-Head Attention层的图示,可以发现在前面讲的内容基础上还加入了残差设计和层归一化操作,目的是为了防止梯度消失,加快收敛。

Multi-Head Attention实现在ScaledDotProductAttention基础上构建:
class MultiHeadAttention(nn.Module):
''' Multi-Head Attention module '''
# n_head头的个数,默认是8
# d_model编码向量长度,例如本文说的512
# d_k, d_v的值一般会设置为 n_head * d_k=d_model,
# 此时concat后正好和原始输入一样,当然不相同也可以,因为后面有fc层
# 相当于将可学习矩阵分成独立的n_head份
def __init__(self, n_head, d_model, d_k, d_v, dropout=0.1):
super().__init__()
# 假设n_head=8,d_k=64
self.n_head = n_head
self.d_k = d_k
self.d_v = d_v
# d_model输入向量,n_head * d_k输出向量
# 可学习W^Q,W^K,W^V矩阵参数初始化
self.w_qs = nn.Linear(d_model, n_head * d_k, bias=False)
self.w_ks = nn.Linear(d_model, n_head * d_k, bias=False)
self.w_vs = nn.Linear(d_model, n_head * d_v, bias=False)
# 最后的输出维度变换操作
self.fc = nn.Linear(n_head * d_v, d_model, bias=False)
# 单头自注意力
self.attention = ScaledDotProductAttention(temperature=d_k ** 0.5)
self.dropout = nn.Dropout(dropout)
# 层归一化
self.layer_norm = nn.LayerNorm(d_model, eps=1e-6)
def forward(self, q, k, v, mask=None):
# 假设qkv输入是(b,100,512),100是训练每个样本最大单词个数
# 一般qkv相等,即自注意力
residual = q
# 将输入x和可学习矩阵相乘,得到(b,100,512)输出
# 其中512的含义其实是8x64,8个head,每个head的可学习矩阵为64维度
# q的输出是(b,100,8,64),kv也是一样
q = self.w_qs(q).view(sz_b, len_q, n_head, d_k)
k = self.w_ks(k).view(sz_b, len_k, n_head, d_k)
v = self.w_vs(v).view(sz_b, len_v, n_head, d_v)
# 变成(b,8,100,64),方便后面计算,也就是8个头单独计算
q, k, v = q.transpose(1, 2), k.transpose(1, 2), v.transpose(1, 2)
if mask is not None:
mask = mask.unsqueeze(1) # For head axis broadcasting.
# 输出q是(b,8,100,64),维持不变,内部计算流程是:
# q*k转置,除以d_k ** 0.5,输出维度是b,8,100,100即单词和单词直接的相似性
# 对最后一个维度进行softmax操作得到b,8,100,100
# 最后乘上V,得到b,8,100,64输出
q, attn = self.attention(q, k, v, mask=mask)
# b,100,8,64-->b,100,512
q = q.transpose(1, 2).contiguous().view(sz_b, len_q, -1)
q = self.dropout(self.fc(q))
# 残差计算
q += residual
# 层归一化,在512维度计算均值和方差,进行层归一化
q = self.layer_norm(q)
return q, attn
现在pytorch新版本已经把MultiHeadAttention当做nn中的一个类了,可以直接调用。
(2) 前馈神经网络层
这个层就没啥说的了,非常简单:
class PositionwiseFeedForward(nn.Module):
''' A two-feed-forward-layer module '''
def __init__(self, d_in, d_hid, dropout=0.1):
super().__init__()
# 两个fc层,对最后的512维度进行变换
self.w_1 = nn.Linear(d_in, d_hid) # position-wise
self.w_2 = nn.Linear(d_hid, d_in) # position-wise
self.layer_norm = nn.LayerNorm(d_in, eps=1e-6)
self.dropout = nn.Dropout(dropout)
def forward(self, x):
residual = x
x = self.w_2(F.relu(self.w_1(x)))
x = self.dropout(x)
x += residual
x = self.layer_norm(x)
return x
(3) 编码层操作整体流程
可视化如下所示:
单个编码层代码如下所示:
class EncoderLayer(nn.Module):
def __init__(self, d_model, d_inner, n_head, d_k, d_v, dropout=0.1):
super(EncoderLayer, self).__init__()
self.slf_attn = MultiHeadAttention(n_head, d_model, d_k, d_v, dropout=dropout)
self.pos_ffn = PositionwiseFeedForward(d_model, d_inner, dropout=dropout)
def forward(self, enc_input, slf_attn_mask=None):
# Q K V是同一个,自注意力
# enc_input来自源单词嵌入向量或者前一个编码器输出
enc_output, enc_slf_attn = self.slf_attn(
enc_input, enc_input, enc_input, mask=slf_attn_mask)
enc_output = self.pos_ffn(enc_output)
return enc_output, enc_slf_attn
将上述编码过程重复n遍即可,除了第一个模块输入是单词嵌入向量与位置编码的和外,其余编码层输入是上一个编码器输出即后面的编码器输入不需要位置编码向量。如果考虑n个编码器的运行过程,如下所示:
class Encoder(nn.Module):
def __init__(
self, n_src_vocab, d_word_vec, n_layers, n_head, d_k, d_v,
d_model, d_inner, pad_idx, dropout=0.1, n_position=200):
# nlp领域的词嵌入向量生成过程(单词在词表里面的索引idx-->d_word_vec长度的向量)
self.src_word_emb = nn.Embedding(n_src_vocab, d_word_vec, padding_idx=pad_idx)
# 位置编码
self.position_enc = PositionalEncoding(d_word_vec, n_position=n_position)
self.dropout = nn.Dropout(p=dropout)
# n个编码器层
self.layer_stack = nn.ModuleList([
EncoderLayer(d_model, d_inner, n_head, d_k, d_v, dropout=dropout)
for _ in range(n_layers)])
# 层归一化
self.layer_norm = nn.LayerNorm(d_model, eps=1e-6)
def forward(self, src_seq, src_mask, return_attns=False):
# 对输入序列进行词嵌入,加上位置编码
enc_output = self.dropout(self.position_enc(self.src_word_emb(src_seq)))
enc_output = self.layer_norm(enc_output)
# 作为编码器层输入
for enc_layer in self.layer_stack:
enc_output, _ = enc_layer(enc_output, slf_attn_mask=src_mask)
return enc_output
到目前为止我们就讲完了编码部分的全部流程和代码细节。现在再来看整个transformer算法就会感觉亲切很多了:
1.4.3 解码器输入数据处理
在分析解码器结构前先看下解码器整体结构,方便理解:

其输入数据处理也要区分第一个解码器和后续解码器,和编码器类似,第一个解码器输入不仅包括最后一个编码器输出,还需要额外的输出嵌入向量,而后续解码器输入是来自最后一个编码器输出和前面解码器输出。
(1) 目标单词嵌入
这个操作和源单词嵌入过程完全相同,维度也是512,假设输出是i am a student,那么需要对这4个单词也利用word2vec算法转化为4x512的矩阵,作为第一个解码器的单词嵌入输入。
(2) 位置编码
同样的也需要对解码器输入引入位置编码,做法和编码器部分完全相同,且将目标单词嵌入向量和位置编码向量相加即可作为第一个解码器输入。
和编码器单词嵌入不同的地方是在进行目标单词嵌入前,还需要将目标单词即是i am a student右移动一位,新增加的一个位置采用提前定义好的标志位BOS_WORD代替,现在就变成[BOS_WORD,i,am,a,student],为啥要右移?因为解码过程和seq2seq一样是顺序解码的,需要提供一个开始解码标志,。不然第一个时间步的解码单词i是如何输出的呢?具体解码过程其实是:输入BOS_WORD,解码器输出i;输入前面已经解码的BOS_WORD和i,解码器输出am...,输入已经解码的BOS_WORD、i、am、a和student,解码器输出解码结束标志位EOS_WORD,每次解码都会利用前面已经解码输出的所有单词嵌入信息
下面有个非常清晰的gif图,一目了然:

上图没有绘制BOS_WORD嵌入向量输入,然后解码出i单词的过程。
1.4.4 解码器前向过程
仔细观察解码器结构,其包括:带有mask的MultiHeadAttention、MultiHeadAttention和前馈神经网络层三个组件,带有mask的MultiHeadAttention和MultiHeadAttention结构和代码写法是完全相同,唯一区别是是否输入了mask。
为啥要mask?原因依然是顺序解码导致的。试想模型训练好了,开始进行翻译(测试),其流程就是上面写的:输入BOS_WORD,解码器输出i;输入前面已经解码的BOS_WORD和i,解码器输出am...,输入已经解码的BOS_WORD、i、am、a和student,解码器输出解码结束标志位EOS_WORD,每次解码都会利用前面已经解码输出的所有单词嵌入信息,这个测试过程是没有问题,但是训练时候我肯定不想采用上述顺序解码类似rnn即一个一个目标单词嵌入向量顺序输入训练,肯定想采用类似编码器中的矩阵并行算法,一步就把所有目标单词预测出来。要实现这个功能就可以参考编码器的操作,把目标单词嵌入向量组成矩阵一次输入即可,但是在解码am时候,不能利用到后面单词a和student的目标单词嵌入向量信息,否则这就是作弊(测试时候不可能能未卜先知)。为此引入mask,目的是构成下三角矩阵,右上角全部设置为负无穷(相当于忽略),从而实现当解码第一个字的时候,第一个字只能与第一个字计算相关性,当解出第二个字的时候,只能计算出第二个字与第一个字和第二个字的相关性。具体是:在解码器中,自注意力层只被允许处理输出序列中更靠前的那些位置,在softmax步骤前,它会把后面的位置给隐去(把它们设为-inf)。
还有个非常重要点需要知道(看图示可以发现):解码器内部的带有mask的MultiHeadAttention的qkv向量输入来自目标单词嵌入或者前一个解码器输出,三者是相同的,但是后面的MultiHeadAttention的qkv向量中的kv来自最后一层编码器的输入,而q来自带有mask的MultiHeadAttention模块的输出。
关于带mask的注意力层写法其实就是前面提到的代码:
class ScaledDotProductAttention(nn.Module):
''' Scaled Dot-Product Attention '''
def __init__(self, temperature, attn_dropout=0.1):
super().__init__()
self.temperature = temperature
self.dropout = nn.Dropout(attn_dropout)
def forward(self, q, k, v, mask=None):
# 假设q是b,8,10,64(b是batch,8是head个数,10是样本最大单词长度,
# 64是每个单词的编码向量)
# attn输出维度是b,8,10,10
attn = torch.matmul(q / self.temperature, k.transpose(2, 3))
# 故mask维度也是b,8,10,10
# 忽略b,8,只关注10x10的矩阵,其是下三角矩阵,下三角位置全1,其余位置全0
if mask is not None:
# 提前算出mask,将为0的地方变成极小值-1e9,把这些位置的值设置为忽略
# 目的是避免解码过程中利用到未来信息
attn = attn.masked_fill(mask == 0, -1e9)
# softmax+dropout
attn = self.dropout(F.softmax(attn, dim=-1))
output = torch.matmul(attn, v)
return output, attn
可视化如下:图片来源https://zhuanlan.zhihu.com/p/44731789
整个解码器代码和编码器非常类似:
class DecoderLayer(nn.Module):
''' Compose with three layers '''
def __init__(self, d_model, d_inner, n_head, d_k, d_v, dropout=0.1):
super(DecoderLayer, self).__init__()
self.slf_attn = MultiHeadAttention(n_head, d_model, d_k, d_v, dropout=dropout)
self.enc_attn = MultiHeadAttention(n_head, d_model, d_k, d_v, dropout=dropout)
self.pos_ffn = PositionwiseFeedForward(d_model, d_inner, dropout=dropout)
def forward(
self, dec_input, enc_output,
slf_attn_mask=None, dec_enc_attn_mask=None):
# 标准的自注意力,QKV=dec_input来自目标单词嵌入或者前一个解码器输出
dec_output, dec_slf_attn = self.slf_attn(
dec_input, dec_input, dec_input, mask=slf_attn_mask)
# KV来自最后一个编码层输出enc_output,Q来自带有mask的self.slf_attn输出
dec_output, dec_enc_attn = self.enc_attn(
dec_output, enc_output, enc_output, mask=dec_enc_attn_mask)
dec_output = self.pos_ffn(dec_output)
return dec_output, dec_slf_attn, dec_enc_attn
考虑n个解码器模块,其整体流程为:
class Decoder(nn.Module):
def __init__(
self, n_trg_vocab, d_word_vec, n_layers, n_head, d_k, d_v,
d_model, d_inner, pad_idx, n_position=200, dropout=0.1):
# 目标单词嵌入
self.trg_word_emb = nn.Embedding(n_trg_vocab, d_word_vec, padding_idx=pad_idx)
# 位置嵌入向量
self.position_enc = PositionalEncoding(d_word_vec, n_position=n_position)
self.dropout = nn.Dropout(p=dropout)
# n个解码器
self.layer_stack = nn.ModuleList([
DecoderLayer(d_model, d_inner, n_head, d_k, d_v, dropout=dropout)
for _ in range(n_layers)])
# 层归一化
self.layer_norm = nn.LayerNorm(d_model, eps=1e-6)
def forward(self, trg_seq, trg_mask, enc_output, src_mask, return_attns=False):
# 目标单词嵌入+位置编码
dec_output = self.dropout(self.position_enc(self.trg_word_emb(trg_seq)))
dec_output = self.layer_norm(dec_output)
# 遍历每个解码器
for dec_layer in self.layer_stack:
# 需要输入3个信息:目标单词嵌入+位置编码、最后一个编码器输出enc_output
# 和dec_enc_attn_mask,解码时候不能看到未来单词信息
dec_output, dec_slf_attn, dec_enc_attn = dec_layer(
dec_output, enc_output, slf_attn_mask=trg_mask, dec_enc_attn_mask=src_mask)
return dec_output
1.4.5 分类层
在进行编码器-解码器后输出依然是向量,需要在后面接fc+softmax层进行分类训练。假设当前训练过程是翻译任务需要输出i am a student EOS_WORD这5个单词。假设我们的模型是从训练集中学习一万个不同的英语单词(我们模型的“输出词表”)。因此softmax后输出为一万个单元格长度的向量,每个单元格对应某一个单词的分数,这其实就是普通多分类问题,只不过维度比较大而已。
依然以前面例子为例,假设编码器输出shape是(b,100,512),经过fc后变成(b,100,10000),然后对最后一个维度进行softmax操作,得到bx100个单词的概率分布,在训练过程中bx100个单词是知道label的,故可以直接采用ce loss进行训练。
self.trg_word_prj = nn.Linear(d_model, n_trg_vocab, bias=False)
dec_output, *_ = self.model.decoder(trg_seq, trg_mask, enc_output, src_mask)
return F.softmax(self.model.trg_word_prj(dec_output), dim=-1)
1.4.6 前向流程
以翻译任务为例:
-
将源单词进行嵌入,组成矩阵(加上位置编码矩阵)输入到n个编码器中,输出编码向量KV -
第一个解码器先输入一个BOS_WORD单词嵌入向量,后续解码器接受该解码器输出,结合KV进行第一次解码 -
将第一次解码单词进行嵌入,联合BOS_WORD单词嵌入向量构成矩阵再次输入到解码器中进行第二次解码,得到解码单词 -
不断循环,每次的第一个解码器输入都不同,其包含了前面时间步长解码出的所有单词 -
直到输出EOS_WORD表示解码结束或者强制设置最大时间步长即可
这个解码过程其实就是标准的seq2seq流程。到目前为止就描述完了整个标准transformer训练和测试流程。
2 视觉领域的transformer
在理解了标准的transformer后,再来看视觉领域transformer就会非常简单,因为在cv领域应用transformer时候大家都有一个共识:尽量不改动transformer结构,这样才能和NLP领域发展对齐,所以大家理解cv里面的transformer操作是非常简单的。
2.1 分类vision transformer
论文题目:An Image is Worth 16x16 Words:Transformers for Image Recognition at Scale
论文地址:https://arxiv.org/abs/2010.11929
github: https://github.com/lucidrains/vit-pytorch
其做法超级简单,只含有编码器模块:
本文出发点是彻底抛弃CNN,以前的cv领域虽然引入transformer,但是或多或少都用到了cnn或者rnn,本文就比较纯粹了,整个算法几句话就说清楚了,下面直接分析。
2.1.1 图片分块和降维
因为transformer的输入需要序列,所以最简单做法就是把图片切分为patch,然后拉成序列即可。假设输入图片大小是256x256,打算分成64个patch,每个patch是32x32像素
x = rearrange(img, 'b c (h p1) (w p2) -> b (h w) (p1 p2 c)', p1=p, p2=p)
这个写法是采用了爱因斯坦表达式,具体是采用了einops库实现,内部集成了各种算子,rearrange就是其中一个,非常高效。不懂这种语法的请自行百度。p就是patch大小,假设输入是b,3,256,256,则rearrange操作是先变成(b,3,8x32,8x32),最后变成(b,8x8,32x32x3)即(b,64,3072),将每张图片切分成64个小块,每个小块长度是32x32x3=3072,也就是说输入长度为64的图像序列,每个元素采用3072长度进行编码。
考虑到3072有点大,故作者先进行降维:
# 将3072变成dim,假设是1024
self.patch_to_embedding = nn.Linear(patch_dim, dim)
x = self.patch_to_embedding(x)
仔细看论文上图,可以发现假设切成9个块,但是最终到transfomer输入是10个向量,额外追加了一个0和_。为啥要追加?原因是我们现在没有解码器了,而是编码后直接就进行分类预测,那么该解码器就要负责一点点解码器功能,那就是:需要一个类似开启解码标志,非常类似于标准transformer解码器中输入的目标嵌入向量右移一位操作。试下如果没有额外输入,9个块输入9个编码向量输出,那么对于分类任务而言,我应该取哪个输出向量进行后续分类呢?选择任何一个都说不通,所以作者追加了一个可学习嵌入向量输入。那么额外的可学习嵌入向量为啥要设计为可学习,而不是类似nlp中采用固定的token代替?个人不负责任的猜测这应该就是图片领域和nlp领域的差别,nlp里面每个词其实都有具体含义,是离散的,但是图像领域没有这种真正意义上的离散token,有的只是一堆连续特征或者图像像素,如果不设置为可学习,那还真不知道应该设置为啥内容比较合适,全0和全1也说不通。自此现在就是变成10个向量输出,输出也是10个编码向量,然后取第0个编码输出进行分类预测即可。从这个角度看可以认为编码器多了一点点解码器功能。具体做法超级简单,0就是位置编码向量,_是可学习的patch嵌入向量。
# dim=1024
self.cls_token = nn.Parameter(torch.randn(1, 1, dim))
# 变成(b,64,1024)
cls_tokens = repeat(self.cls_token, '() n d -> b n d', b=b)
# 额外追加token,变成b,65,1024
x = torch.cat((cls_tokens, x), dim=1)
2.1.2 位置编码
位置编码也是必不可少的,长度应该是1024,这里做的比较简单,没有采用sincos编码,而是直接设置为可学习,效果差不多
# num_patches=64,dim=1024,+1是因为多了一个cls开启解码标志
self.pos_embedding = nn.Parameter(torch.randn(1, num_patches + 1, dim))
对训练好的pos_embedding进行可视化,如下所示:
相邻位置有相近的位置编码向量,整体呈现2d空间位置排布一样。
将patch嵌入向量和位置编码向量相加即可作为编码器输入
x += self.pos_embedding[:, :(n + 1)]
x = self.dropout(x)
2.1.3 编码器前向过程
作者采用的是没有任何改动的transformer,故没有啥说的。
self.transformer = Transformer(dim, depth, heads, mlp_dim, dropout)
假设输入是(b,65,1024),那么transformer输出也是(b,65,1024)
2.1.4 分类head
在编码器后接fc分类器head即可
self.mlp_head = nn.Sequential(
nn.LayerNorm(dim),
nn.Linear(dim, mlp_dim),
nn.GELU(),
nn.Dropout(dropout),
nn.Linear(mlp_dim, num_classes)
)
# 65个输出里面只需要第0个输出进行后续分类即可
self.mlp_head(x[:, 0])
到目前为止就全部写完了,是不是非常简单,外层整体流程为:
class ViT(nn.Module):
def __init__(self, *, image_size, patch_size, num_classes, dim, depth, heads, mlp_dim, channels=3, dropout=0.,emb_dropout=0.):
super().__init__()
# image_size输入图片大小 256
# patch_size 每个patch的大小 32
num_patches = (image_size // patch_size) ** 2 # 一共有多少个patch 8x8=64
patch_dim = channels * patch_size ** 2 # 3x32x32=3072
self.patch_size = patch_size # 32
# 1,64+1,1024,+1是因为token,可学习变量,不是固定编码
self.pos_embedding = nn.Parameter(torch.randn(1, num_patches + 1, dim))
# 图片维度太大了,需要先降维
self.patch_to_embedding = nn.Linear(patch_dim, dim)
# 分类输出位置标志,否则分类输出不知道应该取哪个位置
self.cls_token = nn.Parameter(torch.randn(1, 1, dim))
self.dropout = nn.Dropout(emb_dropout)
# 编码器
self.transformer = Transformer(dim, depth, heads, mlp_dim, dropout)
# 输出头
self.mlp_head = nn.Sequential(
nn.LayerNorm(dim),
nn.Linear(dim, mlp_dim),
nn.GELU(),
nn.Dropout(dropout),
nn.Linear(mlp_dim, num_classes)
)
def forward(self, img, mask=None):
p = self.patch_size
# 先把图片变成64个patch,输出shape=b,64,3072
x = rearrange(img, 'b c (h p1) (w p2) -> b (h w) (p1 p2 c)', p1=p, p2=p)
# 输出 b,64,1024
x = self.patch_to_embedding(x)
b, n, _ = x.shape
# 输出 b,1,1024
cls_tokens = repeat(self.cls_token, '() n d -> b n d', b=b)
# 额外追加token,变成b,65,1024
x = torch.cat((cls_tokens, x), dim=1)
# 加上位置编码1,64+1,1024
x += self.pos_embedding[:, :(n + 1)]
x = self.dropout(x)
x = self.transformer(x, mask)
# 分类head,只需要x[0]即可
# x = self.to_cls_token(x[:, 0])
x = x[:, 0]
return self.mlp_head(x)
2.1.5 实验分析
作者得出的结论是:cv领域应用transformer需要大量数据进行预训练,在同等数据量的情况下性能不然cnn。一旦数据量上来了,对应的训练时间也会加长很多,那么就可以轻松超越cnn。
同时应用transformer,一个突出优点是可解释性比较强:
2.2 目标检测detr
论文名称:End-to-End Object Detection with Transformers
论文地址:https://arxiv.org/abs/2005.12872
github:https://github.com/facebookresearch/detr
detr是facebook提出的引入transformer到目标检测领域的算法,效果很好,做法也很简单,符合其一贯的简洁优雅设计做法。
对于目标检测任务,其要求输出给定图片中所有前景物体的类别和bbox坐标,该任务实际上是无序集合预测问题。针对该问题,detr做法非常简单:给定一张图片,经过CNN进行特征提取,然后变成特征序列输入到transformer的编解码器中,直接输出指定长度为N的无序集合,集合中每个元素包含物体类别和坐标。其中N表示整个数据集中图片上最多物体的数目,因为整个训练和测试都Batch进行,如果不设置最大输出集合数,无法进行batch训练,如果图片中物体不够N个,那么就采用no object填充,表示该元素是背景。
整个思想看起来非常简单,相比faster rcnn或者yolo算法那就简单太多了,因为其不需要设置先验anchor,超参几乎没有,也不需要nms(因为输出的无序集合没有重复情况),并且在代码程度相比faster rcnn那就不知道简单多少倍了,通过简单修改就可以应用于全景分割任务。可以推测,如果transformer真正大规模应用于CV领域,那么对初学者来说就是福音了,理解transformer就几乎等于理解了整个cv领域了(当然也可能是坏事)。
2.2.1 detr核心思想分析
相比faster rcnn等做法,detr最大特点是将目标检测问题转化为无序集合预测问题。论文中特意指出faster rcnn这种设置一大堆anchor,然后基于anchor进行分类和回归其实属于代理做法即不是最直接做法,目标检测任务就是输出无序集合,而faster rcnn等算法通过各种操作,并结合复杂后处理最终才得到无序集合属于绕路了,而detr就比较纯粹了。
尽管将transformer引入目标检测领域可以避免上述各种问题,但是其依然存在两个核心操作:
-
无序集合输出的loss计算 -
针对目标检测的transformer改进
2.2.2 detr算法实现细节
下面结合代码和原理对其核心环节进行深入分析。
2.2.2.1 无序集合输出的loss计算
在分析loss计算前,需要先明确N个无序集合的target构建方式。作者在coco数据集上统计,一张图片最多标注了63个物体,所以N应该要不小于63,作者设置的是100。为啥要设置为100?有人猜测是和coco评估指标只取前100个预测结果算法指标有关系。
detr输出是包括batchx100个无序集合,每个集合包括类别和坐标信息。对于coco数据而言,作者设置类别为91(coco类别标注索引是1-91,但是实际就标注了80个类别),加上背景一共92个类别,对于坐标分支采用4个归一化值表征即cxcywh中心点、wh坐标,然后除以图片宽高进行归一化(没有采用复杂变换策略),故每个集合是
,c是长度为92的分类向量,b是长度为4的bbox坐标向量。总之detr输出集合包括两个分支:分类分支shape=(b,100,92),bbox坐标分支shape=(b,100,4),对应的target也是包括分类target和bbox坐标target,如果不够100,则采用背景填充,计算loss时候bbox分支仅仅计算有物体位置,背景集合忽略。
现在核心问题来了:输出的bx100个检测结果是无序的,如何和gt bbox计算loss?这就需要用到经典的双边匹配算法了,也就是常说的匈牙利算法,该算法广泛应用于最优分配问题,在bottom-up人体姿态估计算法中进行分组操作时候也经常使用。detr中利用匈牙利算法先进行最优一对一匹配得到匹配索引,然后对bx100个结果进行重排就和gt bbox对应上了(对gt bbox进行重排也可以,没啥区别),就可以算loss了。
匈牙利算法是一个标准优化算法,具体是组合优化算法,在scipy.optimize.linear_sum_assignmen函数中有实现,一行代码就可以得到最优匹配,网上解读也非常多,这里就不写细节了,该函数核心是需要输入A集合和B集合两两元素之间的连接权重,基于该重要性进行内部最优匹配,连接权重大的优先匹配。
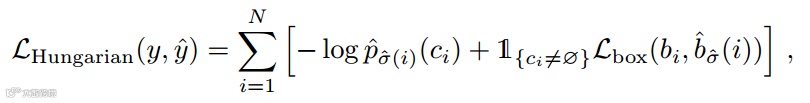
上述描述优化过程可以采用如下公式表达:

优化对象是
,其是长度为N的list,
,
表示无序gt bbox集合的哪个元素和输出预测集合中的第i个匹配。其实简单来说就是找到最优匹配,因为在最佳匹配情况下l_match和最小即loss最小。
前面说过匈牙利算法核心是需要提供输入A集合和B集合两两元素之间的连接权重,这里就是要输入N个输出集合和M个gt bbox之间的关联程度,如下所示

而Lbox具体是:

Hungarian意思就是匈牙利,也就是前面的L_match,上述意思是需要计算M个gt bbox和N个输出集合两两之间的广义距离,距离越近表示越可能是最优匹配关系,也就是两者最密切。广义距离的计算考虑了分类分支和bbox分支,下面结合代码直接说明,比较简单。
# detr分类输出,num_queries=100,shape是(b,100,92)
bs, num_queries = outputs["pred_logits"].shape[:2]
# 得到概率输出(bx100,92)
out_prob = outputs["pred_logits"].flatten(0, 1).softmax(-1)
# 得到bbox分支输出(bx100,4)
out_bbox = outputs["pred_boxes"].flatten(0, 1)
# 准备分类target shape=(m,)里面存储的是类别索引,m包括了整个batch内部的所有gt bbox
tgt_ids = torch.cat([v["labels"] for v in targets])
# 准备bbox target shape=(m,4),已经归一化了
tgt_bbox = torch.cat([v["boxes"] for v in targets])
#核心
#bx100,92->bx100,m,对于每个预测结果,把目前gt里面有的所有类别值提取出来,其余值不需要参与匹配
#对应上述公式,类似于nll loss,但是更加简单
cost_class = -out_prob[:, tgt_ids]
#计算out_bbox和tgt_bbox两两之间的l1距离 bx100,m
cost_bbox = torch.cdist(out_bbox, tgt_bbox, p=1)
#额外多计算一个giou loss bx100,m
cost_giou = -generalized_box_iou(box_cxcywh_to_xyxy(out_bbox), box_cxcywh_to_xyxy(tgt_bbox))
#得到最终的广义距离bx100,m,距离越小越可能是最优匹配
C = self.cost_bbox * cost_bbox + self.cost_class * cost_class + self.cost_giou * cost_giou
# bx100,m--> batch,100,m
C = C.view(bs, num_queries, -1).cpu()
#计算每个batch内部有多少物体,后续计算时候按照单张图片进行匹配,没必要batch级别匹配,徒增计算
sizes = [len(v["boxes"]) for v in targets]
#匈牙利最优匹配,返回匹配索引
indices = [linear_sum_assignment(c[i]) for i, c in enumerate(C.split(sizes, -1))]
return [(torch.as_tensor(i, dtype=torch.int64), torch.as_tensor(j, dtype=torch.int64)) for i, j in indices]
在得到匹配关系后算loss就水到渠成了。分类分支计算ce loss,bbox分支计算l1 loss+giou loss
def loss_labels(self, outputs, targets, indices, num_boxes, log=True):
#shape是(b,100,92)
src_logits = outputs['pred_logits']
#得到匹配后索引,作用在label上
idx = self._get_src_permutation_idx(indices)
#得到匹配后的分类target
target_classes_o = torch.cat([t["labels"][J] for t, (_, J) in zip(targets, indices)])
#加入背景(self.num_classes),补齐bx100个
target_classes = torch.full(src_logits.shape[:2], self.num_classes,
dtype=torch.int64, device=src_logits.device)
#shape是(b,100,),存储的是索引,不是one-hot
target_classes[idx] = target_classes_o
#计算ce loss,self.empty_weight前景和背景权重是1和0.1,克服类别不平衡
loss_ce = F.cross_entropy(src_logits.transpose(1, 2), target_classes, self.empty_weight)
losses = {'loss_ce': loss_ce}
return losses
def loss_boxes(self, outputs, targets, indices, num_boxes):
idx = self._get_src_permutation_idx(indices)
src_boxes = outputs['pred_boxes'][idx]
target_boxes = torch.cat([t['boxes'][i] for t, (_, i) in zip(targets, indices)], dim=0)
#l1 loss
loss_bbox = F.l1_loss(src_boxes, target_boxes, reduction='none')
losses = {}
losses['loss_bbox'] = loss_bbox.sum() / num_boxes
#giou loss
loss_giou = 1 - torch.diag(box_ops.generalized_box_iou(
box_ops.box_cxcywh_to_xyxy(src_boxes),
box_ops.box_cxcywh_to_xyxy(target_boxes)))
losses['loss_giou'] = loss_giou.sum() / num_boxes
return losses
2.2.2.2 针对目标检测的transformer改进
分析完训练最关键的:双边匹配+loss计算部分,现在需要考虑在目标检测算法中transformer如何设计?下面按照算法的4个步骤讲解。
transformer细节如下:
(1) cnn骨架特征提取
骨架网络可以是任何一种,作者选择resnet50,将最后一个stage即stride=32的特征图作为编码器输入。由于resnet仅仅作为一个小部分且已经经过了imagenet预训练,故和常规操作一样,会进行如下操作:
-
resnet中所有BN都固定,即采用全局均值和方差 -
resnet的stem和第一个stage不进行参数更新,即parameter.requires_grad_(False) -
backbone的学习率小于transformer,lr_backbone=1e-05,其余为0.0001
假设输入是(b,c,h,w),则resnet50输出是(b,1024,h//32,w//32),1024比较大,为了节省计算量,先采用1x1卷积降维为256,最后转化为序列格式输入到transformer中,输入shape=(h'xw',b,256),h'=h//32
self.input_proj = nn.Conv2d(backbone.num_channels, hidden_dim, kernel_size=1)
# 输出是(b,256,h//32,w//32)
src=self.input_proj(src)
# 变成序列模式,(h'xw',b,256),256是每个词的编码长度
src = src.flatten(2).permute(2, 0, 1)
(2) 编码器设计和输入
编码器结构设计没有任何改变,但是输入改变了。
a) 位置编码需要考虑2d空间
由于图像特征是2d特征,故位置嵌入向量也需要考虑xy方向。前面说过编码方式可以采用sincos,也可以设置为可学习,本文采用的依然是sincos模式,和前面说的一样,但是需要考虑xy两个方向(前面说的序列只有x方向)。
#输入是b,c,h,w
#tensor_list的类型是NestedTensor,内部自动附加了mask,
#用于表示动态shape,是pytorch中tensor新特性https://github.com/pytorch/nestedtensor
x = tensor_list.tensors # 原始tensor数据
# 附加的mask,shape是b,h,w 全是false
mask = tensor_list.mask
not_mask = ~mask
# 因为图像是2d的,所以位置编码也分为x,y方向
# 1 1 1 1 .. 2 2 2 2... 3 3 3...
y_embed = not_mask.cumsum(1, dtype=torch.float32)
# 1 2 3 4 ... 1 2 3 4...
x_embed = not_mask.cumsum(2, dtype=torch.float32)
if self.normalize:
eps = 1e-6
y_embed = y_embed / (y_embed[:, -1:, :] + eps) * self.scale
x_embed = x_embed / (x_embed[:, :, -1:] + eps) * self.scale
# 0~127 self.num_pos_feats=128,因为前面输入向量是256,编码是一半sin,一半cos
dim_t = torch.arange(self.num_pos_feats, dtype=torch.float32, device=x.device)
# 归一化
dim_t = self.temperature ** (2 * (dim_t // 2) / self.num_pos_feats)
pos_x = x_embed[:, :, :, None] / dim_t
pos_y = y_embed[:, :, :, None] / dim_t
# 输出shape=b,h,w,128
pos_x = torch.stack((pos_x[:, :, :, 0::2].sin(), pos_x[:, :, :, 1::2].cos()), dim=4).flatten(3)
pos_y = torch.stack((pos_y[:, :, :, 0::2].sin(), pos_y[:, :, :, 1::2].cos()), dim=4).flatten(3)
pos = torch.cat((pos_y, pos_x), dim=3).permute(0, 3, 1, 2)
# 每个特征图的xy位置都编码成256的向量,其中前128是y方向编码,而128是x方向编码
return pos # b,n=256,h,w
可以看出对于h//32,w//32的2d图像特征,不是类似vision transoformer做法简单的将其拉伸为h//32 x w//32,然后从0-n进行长度为256的位置编码,而是考虑了xy方向同时编码,每个方向各编码128维向量,这种编码方式更符合图像特定。
还有一个细节需要注意:原始transformer的n个编码器输入中,只有第一个编码器需要输入位置编码向量,但是detr里面对每个编码器都输入了同一个位置编码向量,论文中没有写为啥要如此修改。
b) QKV处理逻辑不同
作者设置编码器一共6个,并且位置编码向量仅仅加到QK中,V中没有加入位置信息,这个和原始做法不一样,原始做法是QKV都加上了位置编码,论文中也没有写为啥要如此修改。
其余地方就完全相同了,故代码就没必要贴了。总结下和原始transformer编码器不同的地方:
-
输入编码器的位置编码需要考虑2d空间位置 -
位置编码向量需要加入到每个编码器中 -
在编码器内部位置编码仅仅和QK相加,V不做任何处理
经过6个编码器forward后,输出shape为(h//32xw//32,b,256)。
c) 编码器部分整体运行流程
6个编码器整体forward流程如下:
class TransformerEncoder(nn.Module):
def __init__(self, encoder_layer, num_layers, norm=None):
super().__init__()
# 编码器copy6份
self.layers = _get_clones(encoder_layer, num_layers)
self.num_layers = num_layers
self.norm = norm
def forward(self, src,
mask: Optional[Tensor] = None,
src_key_padding_mask: Optional[Tensor] = None,
pos: Optional[Tensor] = None):
# 内部包括6个编码器,顺序运行
# src是图像特征输入,shape=hxw,b,256
output = src
for layer in self.layers:
# 每个编码器都需要加入pos位置编码
# 第一个编码器输入来自图像特征,后面的编码器输入来自前一个编码器输出
output = layer(output, src_mask=mask,
src_key_padding_mask=src_key_padding_mask, pos=pos)
return output
每个编码器内部运行流程如下:
def forward_post(self,
src,
src_mask: Optional[Tensor] = None,
src_key_padding_mask: Optional[Tensor] = None,
pos: Optional[Tensor] = None):
# 和标准做法有点不一样,src加上位置编码得到q和k,但是v依然还是src,
# 也就是v和qk不一样
q = k = src+pos
src2 = self.self_attn(q, k, value=src, attn_mask=src_mask,
key_padding_mask=src_key_padding_mask)[0]
src = src + self.dropout1(src2)
src = self.norm1(src)
src2 = self.linear2(self.dropout(self.activation(self.linear1(src))))
src = src + self.dropout2(src2)
src = self.norm2(src)
return src
(3) 解码器设计和输入
解码器结构设计没有任何改变,但是输入也改变了。
a) 新引入Object queries
object queries(shape是(100,256))可以简单认为是输出位置编码,其作用主要是在学习过程中提供目标对象和全局图像之间的关系,相当于全局注意力,必不可少非常关键。代码形式上是可学习位置编码矩阵。和编码器一样,该可学习位置编码向量也会输入到每一个解码器中。我们可以尝试通俗理解:object queries矩阵内部通过学习建模了100个物体之间的全局关系,例如房间里面的桌子旁边(A类)一般是放椅子(B类),而不会是放一头大象(C类),那么在推理时候就可以利用该全局注意力更好的进行解码预测输出。
# num_queries=100,hidden_dim=256
self.query_embed = nn.Embedding(num_queries, hidden_dim)
论文中指出object queries作用非常类似faster rcnn中的anchor,只不过这里是可学习的,不是提前设置好的。
b) 位置编码也需要
编码器环节采用的sincos位置编码向量也可以考虑引入,且该位置编码向量输入到每个解码器的第二个Multi-Head Attention中,后面有是否需要该位置编码的对比实验。
c) QKV处理逻辑不同
解码器一共包括6个,和编码器中QKV一样,V不会加入位置编码。上述说的三个操作,只要看下网络结构图就一目了然了。
d) 一次解码输出全部无序集合
和原始transformer顺序解码操作不同的是,detr一次就把N个无序框并行输出了(因为任务是无序集合,做成顺序推理有序输出没有很大必要)。为了说明如何实现该功能,我们需要先回忆下原始transformer的顺序解码过程:输入BOS_WORD,解码器输出i;输入前面已经解码的BOS_WORD和i,解码器输出am...,输入已经解码的BOS_WORD、i、am、a和student,解码器输出解码结束标志位EOS_WORD,每次解码都会利用前面已经解码输出的所有单词嵌入信息。现在就是一次解码,故只需要初始化时候输入一个全0的查询向量A,类似于BOS_WORD作用,然后第一个解码器接受该输入A,解码输出向量作为下一个解码器输入,不断推理即可,最后一层解码输出即为我们需要的输出,不需要在第二个解码器输入时候考虑BOS_WORD和第一个解码器输出。
总结下和原始transformer解码器不同的地方:
-
额外引入可学习的Object queries,相当于可学习anchor,提供全局注意力 -
编码器采用的sincos位置编码向量也需要输入解码器中,并且每个解码器都输入 -
QKV处理逻辑不同 -
不需要顺序解码,一次即可输出N个无序集合
e) 解码器整体运行流程
n个解码器整体流程如下:
class TransformerDecoder(nn.Module):
def forward(self, tgt, memory,
tgt_mask: Optional[Tensor] = None,
memory_mask: Optional[Tensor] = None,
tgt_key_padding_mask: Optional[Tensor] = None,
memory_key_padding_mask: Optional[Tensor] = None,
pos: Optional[Tensor] = None,
query_pos: Optional[Tensor] = None):
# 首先query_pos是query_embed,可学习输出位置向量shape=100,b,256
# tgt = torch.zeros_like(query_embed),用于进行一次性解码输出
output = tgt
# 存储每个解码器输出,后面中继监督需要
intermediate = []
# 编码每个解码器
for layer in self.layers:
# 每个解码器都需要输入query_pos和pos
# memory是最后一个编码器输出
# 每个解码器都接受output作为输入,然后输出新的output
output = layer(output, memory, tgt_mask=tgt_mask,
memory_mask=memory_mask,
tgt_key_padding_mask=tgt_key_padding_mask,
memory_key_padding_mask=memory_key_padding_mask,
pos=pos, query_pos=query_pos)
if self.return_intermediate:
intermediate.append(self.norm(output))
if self.return_intermediate:
return torch.stack(intermediate) # 6个输出都返回
return output.unsqueeze(0)
内部每个解码器运行流程为:
def forward_post(self, tgt, memory,
tgt_mask: Optional[Tensor] = None,
memory_mask: Optional[Tensor] = None,
tgt_key_padding_mask: Optional[Tensor] = None,
memory_key_padding_mask: Optional[Tensor] = None,
pos: Optional[Tensor] = None,
query_pos: Optional[Tensor] = None):
# query_pos首先是可学习的,其作用主要是在学习过程中提供目标对象和全局图像之间的关系
# 这个相当于全局注意力输入,是非常关键的
# query_pos是解码器特有
q = k = tgt+query_pos
# 第一个自注意力模块
tgt2 = self.self_attn(q, k, value=tgt, attn_mask=tgt_mask,
key_padding_mask=tgt_key_padding_mask)[0]
tgt = tgt + self.dropout1(tgt2)
tgt = self.norm1(tgt)
# memory是最后一个编码器输出,pos是和编码器输入中完全相同的sincos位置嵌入向量
# 输入参数是最核心细节,query是tgt+query_pos,而key是memory+pos
# v直接用memory
tgt2 = self.multihead_attn(query=tgt+query_pos,
key=memory+pos,
value=memory, attn_mask=memory_mask,
key_padding_mask=memory_key_padding_mask)[0]
tgt = tgt + self.dropout2(tgt2)
tgt = self.norm2(tgt)
tgt2 = self.linear2(self.dropout(self.activation(self.linear1(tgt))))
tgt = tgt + self.dropout3(tgt2)
tgt = self.norm3(tgt)
return tgt
解码器最终输出shape是(6,b,100,256),6是指6个解码器的输出。
(4) 分类和回归head
在解码器输出基础上构建分类和bbox回归head即可输出检测结果,比较简单:
self.class_embed = nn.Linear(256, 92)
self.bbox_embed = MLP(256, 256, 4, 3)
# hs是(6,b,100,256),outputs_class输出(6,b,100,92),表示6个分类分支
outputs_class = self.class_embed(hs)
# 输出(6,b,100,4),表示6个bbox坐标回归分支
outputs_coord = self.bbox_embed(hs).sigmoid()
# 取最后一个解码器输出即可,分类输出(b,100,92),bbox回归输出(b,100,4)
out = {'pred_logits': outputs_class[-1], 'pred_boxes': outputs_coord[-1]}
if self.aux_loss:
# 除了最后一个输出外,其余编码器输出都算辅助loss
out['aux_outputs'] = self._set_aux_loss(outputs_class, outputs_coord)
作者实验发现,如果对解码器的每个输出都加入辅助的分类和回归loss,可以提升性能,故作者除了对最后一个编码层的输出进行Loss监督外,还对其余5个编码器采用了同样的loss监督,只不过权重设置低一点而已。
(5) 整体推理流程
基于transformer的detr算法,作者特意强调其突出优点是部署代码不超过50行,简单至极。
当然上面是简化代码,和实际代码不一样。具体流程是:
-
将(b,3,800,1200)图片输入到resnet50中进行特征提取,输出shape=(b,1024,25,38) -
通过1x1卷积降维,变成(b,256,25,38) -
利用sincos函数计算位置编码 -
将图像特征和位置编码向量相加,作为编码器输入,输出编码后的向量,shape不变 -
初始化全0的(100,b,256)的输出嵌入向量,结合位置编码向量和query_embed,进行解码输出,解码器输出shape为(6,b,100,256) -
将最后一个解码器输出输入到分类和回归head中,得到100个无序集合 -
对100个无序集合进行后处理,主要是提取前景类别和对应的bbox坐标,乘上(800,1200)即可得到最终坐标,后处理代码如下: prob = F.softmax(out_logits, -1)
scores, labels = prob[..., :-1].max(-1)
# convert to [x0, y0, x1, y1] format
boxes = box_ops.box_cxcywh_to_xyxy(out_bbox)
# and from relative [0, 1] to absolute [0, height] coordinates
img_h, img_w = target_sizes.unbind(1)
scale_fct = torch.stack([img_w, img_h, img_w, img_h], dim=1)
boxes = boxes * scale_fct[:, None, :]
results = [{'scores': s, 'labels': l, 'boxes': b} for s, l, b in zip(scores, labels, boxes)]
既然训练时候对6个解码器输出都进行了loss监督,那么在测试时候也可以考虑将6个解码器的分类和回归分支输出结果进行nms合并,稍微有点性能提升。
2.2.3 实验分析
(1) 性能对比
Faster RCNN-DC5是指的resnet的最后一个stage采用空洞率=stride设置代替stride,目的是在不进行下采样基础上扩大感受野,输出特征图分辨率保持不变。+号代表采用了额外的技巧提升性能例如giou、多尺度训练和9xepoch训练策略。可以发现detr效果稍微好于faster rcnn各种版本,证明了视觉transformer的潜力。但是可以发现其小物体检测能力远远低于faster rcnn,这是一个比较大的弊端。
(2) 各个模块分析
编码器数目越多效果越好,但是计算量也会增加很多,作者最终选择的是6。

可以发现解码器也是越多越好,还可以观察到第一个解码器输出预测效果比较差,增加第二个解码器后性能提升非常多。上图中的NMS操作是指既然我们每个解码层都可以输入无序集合,那么将所有解码器无序集合全部保留,然后进行nms得到最终输出,可以发现性能稍微有提升,特别是AP50。
作者对比了不同类型的位置编码效果,因为query_embed(output pos)是必不可少的,所以该列没有进行对比实验,始终都有,最后一行效果最好,所以作者采用的就是该方案,sine at attn表示每个注意力层都加入了sine位置编码,相比仅仅在input增加位置编码效果更好。
(3) 注意力可视化
前面说过transformer具有很好的可解释性,故在训练完成后最终提出了几种可视化形式
a) bbox输出可视化
这个就比较简单了,直接对预测进行后处理即可
probas = outputs['pred_logits'].softmax(-1)[0, :, :-1]
# 只保留概率大于0.9的bbox
keep = probas.max(-1).values > 0.9
# 还原到原图,然后绘制即可
bboxes_scaled = rescale_bboxes(outputs['pred_boxes'][0, keep], im.size)
plot_results(im, probas[keep], bboxes_scaled)
b) 解码器自注意力层权重可视化
这里指的是最后一个解码器内部的第一个MultiheadAttention的自注意力权重,其实就是QK相似性计算后然后softmax后的输出可视化,具体是:
# multihead_attn注册前向hook,output[1]指的就是softmax后输出
model.transformer.decoder.layers[-1].multihead_attn.register_forward_hook(
lambda self, input, output: dec_attn_weights.append(output[1])
)
# 假设输入是(1,3,800,1066)
outputs = model(img)
# 那么dec_attn_weights是(1,100,850=800//32x1066//32)
# 这个就是QK相似性计算后然后softmax后的输出,即自注意力权重
dec_attn_weights = dec_attn_weights[0]
# 如果想看哪个bbox的权重,则输入idx即可
dec_attn_weights[0, idx].view(800//32, 1066//32)
c) 编码器自注意力层权重可视化
这个和解码器操作完全相同。
model.transformer.encoder.layers[-1].self_attn.register_forward_hook(
lambda self, input, output: enc_attn_weights.append(output[1])
)
outputs = model(img)
# 最后一个编码器中的自注意力模块权重输出(b,h//32xw//32,h//32xw//32),其实就是qk计算然后softmax后的值即(1,25x34=850,850)
enc_attn_weights = enc_attn_weights[0]
# 变成(25, 34, 25, 34)
sattn = enc_attn_weights[0].reshape(shape + shape)
# 想看哪个特征点位置的注意力
idxs = [(200, 200), (280, 400), (200, 600), (440, 800), ]
for idx_o, ax in zip(idxs, axs):
# 转化到特征图尺度
idx = (idx_o[0] // fact, idx_o[1] // fact)
# 直接sattn[..., idx[0], idx[1]]即可
ax.imshow(sattn[..., idx[0], idx[1]], cmap='cividis', interpolation='nearest')
2.2.4 小结
detr整体做法非常简单,基本上没有改动原始transformer结构,其显著优点是:不需要设置啥先验,超参也比较少,训练和部署代码相比faster rcnn算法简单很多,理解上也比较简单。但是其缺点是:改了编解码器的输入,在论文中也没有解释为啥要如此设计,而且很多操作都是实验对比才确定的,比较迷。算法层面训练epoch次数远远大于faster rcnn(300epoch),在同等epoch下明显性能不如faster rcnn,而且训练占用内存也大于faster rcnn。
整体而言,虽然效果不错,但是整个做法还是显得比较原始,很多地方感觉是尝试后得到的做法,没有很好的解释性,而且最大问题是训练epoch非常大和内存占用比较多,对应的就是收敛慢,期待后续作品。
3 总结
本文从transformer发展历程入手,并且深入介绍了transformer思想和实现细节;最后结合计算机视觉领域的几篇有典型代表文章进行深入分析,希望能够给cv领域想快速理解transformer的初学者一点点帮助。
4 参考资料
感谢前人优秀工作
公众号后台回复“新年快乐”获取极市兔年高清手机壁纸~

技术干货:损失函数技术总结及Pytorch使用示例|深度学习有哪些trick?|目标检测正负样本区分策略和平衡策略总结
实操教程:GPU多卡并行训练总结(以pytorch为例)|CUDA WarpReduce 学习笔记|卷积神经网络压缩方法总结
# 极市原创作者激励计划 #
极市平台深耕CV开发者领域近5年,拥有一大批优质CV开发者受众,覆盖微信、知乎、B站、微博等多个渠道。通过极市平台,您的文章的观点和看法能分享至更多CV开发者,既能体现文章的价值,又能让文章在视觉圈内得到更大程度上的推广,并且极市还将给予优质的作者可观的稿酬!
我们欢迎领域内的各位来进行投稿或者是宣传自己/团队的工作,让知识成为最为流通的干货!
对于优质内容开发者,极市可推荐至国内优秀出版社合作出书,同时为开发者引荐行业大牛,组织个人分享交流会,推荐名企就业机会等。
“
点击阅读原文进入CV社区
收获更多技术干货

