极市导读
本文将跳出原始论文的推导顺序和思路,从更符合大家思维模式的角度入手,把整个推理流程串成一条完整的逻辑线。也配上了大量的图例,方便大家理解数学公式。 >>加入极市CV技术交流群,走在计算机视觉的最前沿
本篇将和大家一起解读扩散模型的基石:DDPM(Denoising Diffusion Probalistic Models) 。扩散模型的研究并不始于DDPM,但DDPM的成功对扩散模型的发展起到至关重要的作用。在这个系列里我们也会看到,后续一连串效果惊艳的模型,都是在DDPM的框架上迭代改进而来。所以,我把DDPM放在这个系列的第一篇进行讲解。
初读DDPM论文的朋友,可能有以下两个痛点:
-
论文花极大篇幅讲数学推导,可是我看不懂。 -
论文没有给出模型架构图和详细的训练解说,而这是我最关心的部分。
针对这些痛点,DDPM系列将会出如下三篇文章:
(1)DDPM(模型架构篇):在阅读源码的基础上,本篇绘制了详细的DDPM模型架构图(DDPM UNet),同时附上关于模型运作流程的详细解说。本篇不涉及数学知识,直观帮助大家了解DDPM怎么用,为什么好用。
(2)DDPM(人人都能看懂的数学原理篇):也就是本篇文章,DDPM的数学推理可能是很多读者头疼的部分。我尝试跳出原始论文的推导顺序和思路,从更符合大家思维模式的角度入手,把整个推理流程串成一条完整的逻辑线。同样,我也会配上大量的图例,方便大家理解数学公式。如果你不擅长数学推导,这篇文章可以帮助你从直觉上了解DDPM的数学有效性;如果你更关注推导细节,这篇文章中也有详细的推导中间步骤。
(3)DDPM(源码解读篇):在前两篇的基础上,我们将配合模型架构图,一起阅读DDPM源码,并实操跑一次,观测训练过程里的中间结果。
【⚠️⚠️⚠️如果你粗扫一眼本文,看见大段的公式推导,请不要放弃。出于严谨的目的,本文必须列出公式推导的细节;但是,如果你只想把握整体逻辑,完全可以跳过推导,只看结论和图解,这并不会影响本文的阅读。】
全文目录如下:
一、DDPM在做一件什么事
在DDPM模型架构篇中,我们已经讨论过DDPM的作用,以及它为何能成为扩散模型/文生图模型基石的原因。这里为了方便读者更好了解上下文,我们将相关讲解再放一次。
假设你想做一个以文生图的模型,你的目的是给一段文字,再随便给一张图(比如一张噪声),这个模型能帮你产出符合文字描述的逼真图片,例如:
文字描述就像是一个指引(guidance),帮助模型去产生更符合语义信息的图片。但是,毕竟语义学习是复杂的。我们能不能先退一步,先让模型拥有产生逼真图片的能力?
比如说,你给模型喂一堆cyberpunk风格的图片,让模型学会cyberpunk风格的分布信息,然后喂给模型一个随机噪音,就能让模型产生一张逼真的cyberpunk照片。或者给模型喂一堆人脸图片,让模型产生一张逼真的人脸。同样,我们也能选择给训练好的模型喂带点信息的图片,比如一张夹杂噪音的人脸,让模型帮我们去噪。
具备了产出逼真图片的能力,模型才可能在下一步中去学习语义信息(guidance),进一步产生符合人类意图的图片。而DDPM的本质作用,就是学习训练数据的分布,产出尽可能符合训练数据分布的真实图片。所以,它也成为后续文生图类扩散模型框架的基石。
二、优化目标
现在,我们知道DDPM的目标就是:使得生成的图片尽可能符合训练数据分布。基于这个目标,我们记:
-
:模型所产生的图片的 (概率) 分布。其中 表示模型参数, 以 作为下标的目的是表示这个分布是由模型决定的, -
:训练数据(也可理解为真实世界)图片的(概率)分布。下标data表示这是一个自然世界客观存在的分布, 与模型无关。
则我们的优化目标可以用图例表示为:
而求两个分布之间的相似性,我们自然而然想到了KL散度。 复习一下KL散度的定义:分布p与分布q之间的KL散度为:
则现在我们的目标函数就变为:
我们利用利用式(1.1),对该目标函数做一些变换
经过这一番转换,我们的优化目标从直觉上的“令模型输出的分布逼近真实图片分布”转变为“ ",我们也可以把这个新的目标函数通俗理解成“使得模型产生真实图片的概率最大”。如果一上来就直接把式(1.2)作为优化目标,可能会令很多朋友感到困惑。因此在这一步中,我们解释了为什么要用式(1.2)作为优化目标。
接下来,我们近一步来看,对式(1.2)还能做什么样的转换和拆解。
三、最大化ELBO
的本质就是要使得连乘中的每一项最大, 也等同于使得 最大。所以我们进一步来拆解 。在开始拆解之前, 让我们先回顾一下扩散模型的加噪与去噪过程, 帮助我们更好地做数学推理。
在Diffusion Process中, 我们不过模型, 而是按照设置好的加噪规则, 随着time_step的变化, 给图片添加噪声 。在Denoise Process中, 我们则需要经过模型, 对图片进行去噪, 逐步将图片还原成原始的样子 。Diffusion过程中遵循的分布, 我们记为 , Denoise过程中遵循的分布, 我们记为 。 严格来说, Diffusion过程遵循的分布应该记为 , 下标 也表示模型参数, 也就是说, “规则"也算一种“模型”。理论上, 你想对Diffusion单独训练一套模型, 也是没有问题的。为了表述严谨, 我们接下来都将用 进行表示。
现在我们可以回到拆解 了, 即然 和z与Diffusion和Denoise的过程密切相关, 那么我们的目标就是要把 拆解成用 同时表达的形式:
就被称为Evidence Lower Bound (ELBO)。到这一步为止, 我们将最大化 拆解成最大化ELBO, 其中 与diffusion过程密切相关, 与denoise过程密切相关。
(2.1)这个公式一出,大家是不是很眼熟?没错,它其实也刻画了VAE的优化目标,所以这里我们才选用z而不是x来表示latent space中的变量。有些读者可能已经发现了,(2.1)描述的是一个time_step下的优化目标,但是我们的扩散模型,是有T个time_step的,因此,我们还需要把(2.1)再进一步扩展成链式表达的方式。在这一步扩展里,我们将不再使用z变量,取而代之的是用 来表示,更符合我们对扩散模型的整体理解,则我们有:
其中, 表示从真实世界中䇠选出来的干净的图片, 表示最后一个time_step加噪后的图片, 通常是一个近似纯噪声。细心的读者可能发现, 在 (2.2) 公式中, 左边的 是不是写成 更合理呀? 没错, 因为扩散模型的目标就是去还原来自真实世界的 。但这里为了前后表达统一, 就不做修改了。读者们只要理解 (2.2) 的含义即可。
四、进一步拆解ELBO
复习一下,到这一步为止,我们经历了如下过程:
(1)首先, 总体优化目标是让模型产生的图片分布和真实图片分布尽量相似, 也就是
(2) 对KL散度做拆解, 将优化目标 转变为 , 同时也等价于让连乘项中的每一项 最大
(3) 对 做拆解, 以优化DDPM其中一个time_step为例, 将优化目标转向最大化下界 (ELBO)
(4) 以全部time_step为例, 将优化目标转变为 , 也就是式 (2.2)
恭喜你充满耐心地看到这一步了!接下来,我们还需要再耐心对式(2.2)进行拆解,毕竟现在它只是一个偏抽象的形式,因此我们还需对p与q再做具象化处理。之前我们提过, 下标的意思是强调从理论上来说,diffusion过程可以通过训练一个模型来加噪,而并非只能通过规则加噪。这两种方法在数学上都是成立的。由于DDPM采用了后者,因此在接下来的过程中,我们将会去掉下标 。
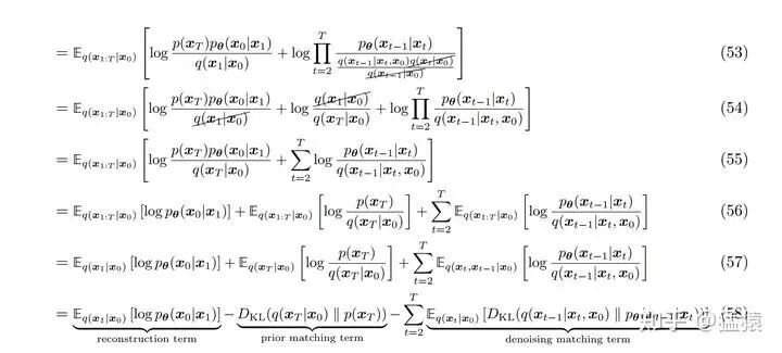
式(2.2)的进一步拆解如下:
(48):分子上, 因为 已是个近似高斯分布的纯噪声, 因此它的分布 是已知的, 和模型 无关, 所以将 单独提炼出。分子与分母的其余项则是因为扩散模型遵循马尔可夫链性质, 因此可以通过链式连乘规则进行改写
(50): 表示来自真实世界的干净图片, 它是diffusion过程的起源, 任意 都可由 推导而来, 因此可将 改写成
(52):根据多变量条件概率的贝叶斯链式法则进行改写,即:
当然多变量条件概率的改写方式有很多种, 根据需要我们选择了上面的这一种
(54):由于 是既定的, 可以看作是一个常量, 因此可增加 一项
(56)~(57):根据期望项中涉及到的具体元素,调整期望E的下标
(58):根据KL散度的定义重写最后两项。其中prior matching term可看作是常量,reconstruction term和denoising matching term则是和模型密切相关的两项。由于两者间十分相似,因此接下来我们只需要特别关注denoising matching term如何拆解即可。
五、重参数与噪声预测
现在,我们的优化目标转为最大化 ,我们继续对该项进行拆解。
首先我们来看 一项。
根据多变量条件概率的链式法则, 我们有:
现在, 我们分别来看 具体长什么样子。
5.1 重参数
5.1.1 为什么需要重参数
回顾模型架构篇, 我们曾经提过, 最朴素的diffusion加噪规则是, 在每一个time_step中都sample 一次随机噪声, 使得:
在架构篇中, 我们直接指出 , 即筛选的噪声是来自一个标准高斯分布。但是为什么要这么设计呢?
我们假设真实世界的图片服从 这样的高斯分布, 而现在我们的模型 就是要去学习这个分布, 更具象点, 假设模型遵从的分布是 , 我们的目的就是让 逼近 逼近 。
那么在diffusion过程中, 更符合直觉的做法是, 模型从 采样出一个噪声, 然后在 denoise的过程中去预测这个噪声, 这样就能把梯度传递到 上, 使得模型在预测噪声的过程中习得真实图片的分布。
但这样做产生的问题是, 实际上梯度并不能传递到 上。举个简单的例子, 假设你从 随机采样出了一个3, 你怎么将这个随机的采样结果和 联系起来呢? 也就是说, 在diffusion过程中, 如果我们从一个带参数的分布中做数据采样, 在denoise过程中, 我们无法将梯度传递到这个参数上。
针对这个问题, 有一个简单的解决办法:我从一个确定的分布 (不带参数) 中做数据采样, 不就行了吗? 比如, 我从 先采样出一个 , 然后再令最终的采样结果z为: 。这样我不就能知道z和 间的关系了? 同时根据高斯分布性质, 也服从 分布。
以上“从一个带参数的分布中进行采样”转变到“从一个确定的分布中进行采样”,以解决梯度无法传递问题的方法,就被称为“重参数”(reparamterization)。 关于重参数原理的更多细节,推荐大家阅读这篇文章(https://spaces.ac.cn/archives/6705)
5.1.2 重参数的具体方法
到这一步根据重参数的思想, 我们可以把 转变为 了。但是现在的diffusion过程还是太繁琐: 每一个time_step都要做一次采样, 等我后续做denoise过程去预测噪声, 传播梯度的时候, 参数 不仅在这个time_step有, 在之前的一系列time_steps中都有, 这不是给我计算梯度造成困扰了吗? 注意到在diffusion过程中, 随着time_step的增加, 图片中含有的噪声是越来越多的, 那我能不能设定一个函数, 使得每个time_step的图片都能由原始图片 加 噪推导而来, 然后使得噪声的比例随着time_step增加而变大? 这样我不就只需要一次采样了吗?
当然没有问题, DDPM采用的做法是:
(1) 首先, 设置超参数 , 满足随着t增大, 逐渐变大。
(2) 令:
易推出 随着增大而逐渐变小
(3)则任意时刻的 都可以由 表示出:
我们通过图例来更好理解上面的三步骤:
详细的过程都在图例中表示出了,这里不做赘述。
5.2 噪声预测
讲完了重参数的部分, 我们继续回到刚才拆解的步骤上来, 复习一下, 我们已经将ELBO拆解成 , 现在我们的关注点在q分布上, 而q分布又由以下三项组成:
,
我们继续来看这三项要怎么具体表示出来。
由章节5.1.2, 我们知道:
则任意 的关系都可以由此推出:
(友情提示: 大家记得看5.1.2中的图例区分 哦, 不是typo)。
同时, 我们已经知道(假设) 都服从高斯分布, 则根据高斯分布的性质, 我们有:
对于高斯分布,知道了均值和方差,我们就可以把它具体的概率密度函数写出来:
经过这样的一顿爆肝推导, 我们终于将 的分布写出来了 (84) 。也就是我们当前 优化目标 中的q部分。
现在,我们来看 部分,根据优化目标,此时我们需要让p和q的分布尽量接近:
而让 和 的分布接近, 等价与让 。注意到 其实是一个常量, 它只和超参有关。在DDPM中, 为了简化优化过程, 并且使训练更稳定, 就假设 也按此种方式固定下来了。在后续的扩散模型(例如GLIDE)中,则引入对方差的预测。在DDPM中,只预测均值。
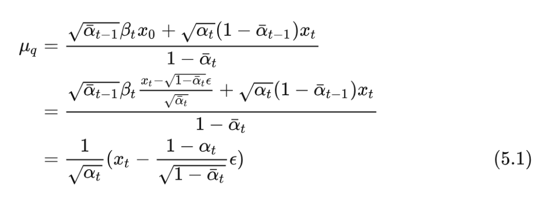
好, 那么预测均值, 到底是在预测什么东西呢? 我们对 再做改写, 主要是根据我们设置的 diffusion规则, 将 用 进行表示:
观察到, 式 (5.1) 的结果在diffusion过程中就已决定好。所以现在对于 , 我只要让它在denoise的过程里, 预测出 , 使得 , 然后令:
这样, 我不就能使得 和 的分布一致了吗!
此刻!是不是一道光在你的脑海里闪过! 一切都串起来了,也就是说,只要在denoise的过程中,让模型去预测噪声,就可以达到让“模型产生图片的分布”和“真实世界的图片分布”逼近的目的!
5.3 再次理解training和sampling
现在, 我们再来回顾training和sampling的过程, 在training的过程中, 我们只需要去预测噪声, 就能在数学上使得模型学到的分布和真实的图片分布不断逼近。而当我们使用模型做sampling, 即去测试模型能生成什么质量的图片时, 我们即可由式(5.1)中的推导结论, 从 推导 , 直至还原出 。注意到这里 , 其中 是我们式 (5.1) 中要逼近的均值真值; , 则正是我们已经固定住的方差。
关于training和sampling更详细的实操解说,可以参见模型架构篇。
六、总结(必看)
恭喜你坚持看到了这里!我们来把整个推导串成完整的逻辑链:
(1) 首先, DDPM总体优化目标是让模型产生的图片分布和真实图片分布尽量相似, 也就是 。同时, 我们假设真实世界的图片符合高斯分布: 。因此我们的目标就是要让 习得
(2)但是 这两个客观存在的真值是末知的, 因此我们必须对KL散度进行不断拆解, 直至能用确定的形式将它表示出来。
(3) 对KL散度做初步拆解, 将优化目标 转变为 , 同时也等价于让连乘项中的每一项 最大
(4) 继续对 做拆解, 以优化DDPM其中一个time_step为例, 将优化目标转向最大化下界(ELBO)
(5)依照马尔可夫性质,从1个time_step推至所有的time_steps, 将(4)中的优化目标改写为 , 也就是式 (2.2)
(6)对式 (2.2) 继续做拆解, 将优化目标变为
(7)先来看(6) 中的 一项, 注意到这和diffusion的过程密切相关。在diffusion 的过程中, 通过重参数的方法进行加噪, 再经过一顿爆肝推导, 得出, 易看出该分布中方差是只和我们设置的超参数相关的常量。
(8)再来看 (6) 中的 一项,下标说明了该项和模型相关。为了让 和 的分布接近, 我们需要让 去学习 的均值和方差。由于方差是一个常量, 在DDPM中, 假设它是固定的, 不再单独去学习它(后续的扩散模型, 例如GLIDE则同时对方差也做了预测)。因此现在只需要学习q的均值。 经过一顿变式, 可以把 的均值改写成 。因此, 这里只要让模型去预测噪声 , 使得 , 就能达到达到(1) 中的目的
七、参考
在学习DDPM的过程中,我也看了很多参考资料,但发现很难将整个推导过程串成一条符合思维惯性的逻辑链,因此对很多细节也是一知半解。直到我看到李宏毅老师对扩散模型原理的讲解(从分布相似性入手),以及阅读了google的一篇关于扩散模型数学推理的综述,才恍然大悟。自己动手推导后,从更符合我惯性思维的角度入手,写了这篇文章。因此,我也把我认为非常有帮助的参考资料列在下面,大家可以补充阅读。
1、李宏毅,扩散模型讲解:https://speech.ee.ntu.edu.tw/~hylee/ml/ml2023-course-data/DDPM%20(v7).pdf
2、Understanding Diffusion Models: A Unified Perspective:https://arxiv.org/pdf/2208.11970.pdf
3、DDPM:https://arxiv.org/pdf/2006.11239.pdf
4、重参数:https://spaces.ac.cn/archives/6705
公众号后台回复“极市直播”获取100+期极市技术直播回放+PPT
极市干货

点击阅读原文进入CV社区
收获更多技术干货

