极市导读
三个小时教你从Latex编辑器从哪里打开都不知道的小白到完成一篇通识课大作业!>>加入极市CV技术交流群,走在计算机视觉的最前沿
前言
完全零基础的小白用Latex排版一篇期末大作业论文需要多久?三个小时足矣!
不论是知乎还是CSDN上都有许多Latex的相关的教程,然而其中大而全者未免过于复杂,小而精者则分布十分零散,目前还没有一篇面向大学生期末大作业论文的零基础快速上手教程。
本文章将结合自己三个小时从Latex编辑器从哪里打开都不知道的小白到完成一篇通识课大作业论文的经历,教会你创作出自己的第一篇论文。
注意:
-
本文仅供快速上手,不全面不严谨之处还请谅解。 -
本文多处通过找到Latex和c++之间共同点来帮助理解,如果不熟悉c++可以忽略。
Latex是什么?
简而言之,Latex就是用来给论文排版的。它是 “非所见即所得” 的,这点与Word这种“输入啥就是啥”的形式有显著不同。尽管Latex不像Word那样可以用图形化界面修改内容或者把图片拖来拖去,但它能够规范我们的排版,保证文章的整齐与美观,同时还可以在自动编号、生成目录、生成引用等方面为我们的论文创作提供便利。
Latex怎么用?
编译器
部署本地的编译器显然耗时耗力,对于想快速上手完成大作业的同学不是很友好。因此我们可以选择在线的Latex编译器,这样我们还可以更方便地与组员共享编辑。
我选用的是学校提供的Latex文档助手(应该是overleaf对我们学校的特供版本,大家也可以自己查一下自己学校的网络服务中心)。
需要注意的是overleaf默认的是编译器是pdfLatex,事实证明经常会编译错误,所以我们点击左上角的菜单图标,再更改编译器选择XeLatex。
整体框架
正如c++需要先写出:
#import<iostream>
using namespace std;
int main()
{
return 0;
}
Latex也需要先写出一个整体框架,下面给出其代码和对应功能(此处是本文最重要的地方!一定不能跳!):
\documentclass{article} %选择文档类型,我们如果是做期末大作业的话选article就可以了
%正如c++需要import库来实现各种各样的功能,Latex也需要调用宏包来实现各种各样的功能
\usepackage{amsmath} %调用公式宏包
\usepackage{graphicx} %调用插图宏包
\usepackage{ctex} %调用中文宏包
%\begin{document}这句话之前是导言区,这句话以后就开始写正文了
%可以把导言区理解为int main()函数之前的内容,而正文就是int main()主函数的部分了
\begin{document}
%标题封面部分
\begin{titlepage}
\title{论文题目}
\author{作者姓名}
\date{日期}
\end{titlepage}
\maketitle
%摘要部分
\begin{abstract}
摘要内容
\end{abstract}
%分章节的示例,Latex会自动帮忙给标题编号
\section{一级标题}
\subsection{二级标题}
\subsubsection{三级标题}
这里可以写正文
%参考文献部分
\begin{thebibliography}{最宽序号}
\bibitem[文献序号1]{检索名 1}文献信息 1
\bibitem[文献序号2]{检索名 2}文献信息 2
\end{thebibliography}
\end{document}
点击编译我们就可以得到如下界面:
正文编辑
先说说直观感受吧,有点像搭积木:文字、公式、图片、代码就是一个个积木,我们先学会一个个积木如何使用,我们就可以把他们拼在一起,组成自己的论文。
正文直接输入在\begin{document}和\end{document}之间就可以了,有几个注意的要点:
1. 不用摁tab或者空格来缩进,编译器会自动帮我们缩进。
2. 另起一段的话中间要空一行出来,否则的话会当作在同一行。
3. 不另起一段的换行:\\
4. 换页的话使用**\newpage**。
5. 在正文部分,多余的空格、回车等等都会被自动忽略。
插入图片
Latex中插入图片不像Word中直接把图片拖进去这么直观,它需要通过一小段代码来解决。
我们现在导言区多调用一个宏包:
\usepackage{float}
然后在正文我们需要插入图片的位置写一个小的代码模块:
\begin{figure}[H] %[H]用来自动找到查到图片的最佳位置
\centering %让图片居于中间
\includegraphics[width=0.5\textwidth]{图片文件名.png} %设置图片大小并选择上传哪张图片
\caption{图片名称} %图片下面加什么标题
\end{figure}
效果演示:
Latex插入图片演示
值得注意的是,
-
图片需要先上传。 -
注意后缀名 -
插入图片的更多细节请参考进阶的教程
插入公式
理工科的论文必然会遇到插入公式的情况,分为两种情况:
一、在一段文字中插入公式:
你说得对,但$1+1=2$,我们可以如下证明,令$a=1, b=1$,可以得到$a+b=2$,故可以证明$1+1=2$。
二、在两段文字之间插入公式:
行间如何插入公式呢?快和小编一起来看看吧:
$$
a+b=1
$$
小编也不知道 %注意,如果想另起一行的话这里也要换行
显然我们的公式不会这么简单:
那么这些是如何实现的呢?
一、希腊字母
个人用的比较多的希腊字母:
其实不用去特意记,知道读音大概拼一下剩下的就可以让编译器补全了,实在不行就要用的时候现场查
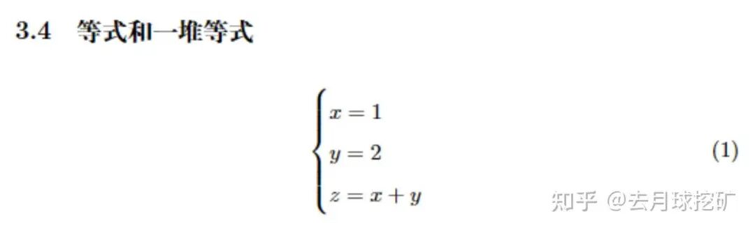
二、等式和一堆等式
一小个代码模块可以解决:
\begin{equation}
\begin{cases}
\emph{$x=1$} \\ %记得要用\\来换行
\emph{$y=2$}\\
\emph{$z=x+y$}
\end{cases}
\end{equation}
三、分式和上角标
还是用一个好玩的例子来讲解这个吧,顺便复习一下前面的内容:
首先,我们知道:
$$
0^{4}=0\times0\times0\times0=0 %\times可以输出乘号,^{}用来打上标
$$
$$
0^{2}=0\times0=0
$$
由于$a^{m-n}=\frac{a^{m}}{a^{n}}$ %\frac{}{}用来书写分式
因此$\frac{0^{4}}{0^{2}}=0^{4-2}=0^{2}=0$
因此$\frac{0}{0}=0$
应该已经看懂了个大概吧。
\frac{分子在这}{分母在这}
底数在这^{上标在这}
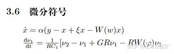
四、微分符号
微分符号就点到为止吧(好吧主要是我想去吃饭了),直接放代码和结果:
\subsection{微分符号}
$\dot x=\alpha(y-x+\xi x-W(w)x)$
$\frac{\mathrm{d} \nu_1}{\mathrm{d} t}=\frac{1}{RC_1}[\nu_2-\nu_1+GR\nu_1-RW(\varphi)\nu_1$
插入矩阵
一位大佬已经总结的很详细了,就不重复造轮子了:
https://zhuanlan.zhihu.com/p/266267223
个人感觉还是用array方便
附上自己的拙作:
\begin{equation}
\boldmath{J_E}
=
\left[
\begin{array}{cccc}
12-10W(c) & 10 & 0 & 0\\
1 & -1 & 1 & 0\\
0 & -14 & -0.1 & 0\\
1 & 0 & 0 & 0
\end{array}
\right]
\end{equation}
插入代码块
论文嘛难免要插入代码块,放一篇我放matlab代码时参考的文章:
https://blog.csdn.net/weixin_40758748/article/details/104842146
参考文献
再次引一篇文章(好吧,是我懒了)
https://zhuanlan.zhihu.com/p/397026871
生成目录
到了最喜欢Latex的一点,一行代码生成目录:
\tableofcontents
为了好看记得前后\newpage一下
一些后话
本文仅供上手使用,就像期末考试前的速成课,能用两个小时保证不挂科,但如果想要拿高分,还是得扎扎实实打好基本功。同样的道理,想实现更丰富、更美观的排版,还需要对Latex更深入地学习、更频繁地练习。
用本文所述的方法,显然是不足以用来参加比赛或发表的,但在一众排版混乱的Word文档的大作业中也勉强可以让老师眼前一亮。
分享两篇大佬的文章:
https://www.zhihu.com/question/62943097/answer/2467678321
https://zhuanlan.zhihu.com/p/456055339
以及附上自己那非常朴实(简陋)的模板:
\documentclass{article}
\usepackage{amsmath}
\usepackage{graphicx}
\usepackage{ctex}
\usepackage{float}
\begin{document}
\begin{titlepage}
\title{论文题目}
\author{作者姓名}
\date{日期}
\end{titlepage}
\maketitle
\begin{abstract}
摘要内容
\end{abstract}
\newpage
\tableofcontents
\newpage
\section{一级标题}
\subsection{二级标题}
\subsubsection{三级标题}
这样会是在
同一段
这样才会在
两段
\section{图片的使用}
\begin{figure}[H] %[H]用来自动找到查到图片的最佳位置
\centering %让图片居于中间
\includegraphics[width=0.5\textwidth]{图片文件名.png} %设置图片大小并选择上传哪张图片
\caption{图片名称} %图片下面加什么标题
\end{figure}
\section{公式的插入}
\subsection{行内公式插入}
你说得对,但$1+1=2$,我们可以如下证明,令$a=1, b=1$,可以得到$a+b=2$,故可以证明$1+1=2$。
\subsection{行间公式插入}
行间如何插入公式呢?快和小编一起来看看吧:
$$
a+b=1
$$
小编也不知道
\subsection{希腊字母}
$\backslash$alpha即是$\alpha$\quad$\backslash$bata即是$\beta$\quad$\backslash$gamma即是$\gamma$\quad$\backslash$eta即是$\eta$
$\backslash$theta即是$\theta$\quad$\backslash$lambda即是$\lambda$\quad$\backslash$xi即是$\xi$\quad$\backslash$pi即是$\pi$
$\backslash$varphi即是$\varphi$\quad$\backslash$nu即是$\nu$
\subsection{等式和一堆等式}
\begin{equation}
\begin{cases}
\emph{$x=1$} \\ %记得要用\\来换行
\emph{$y=2$}\\
\emph{$z=x+y$}
\end{cases}
\end{equation}
\subsection{分式和上角标}
首先,我们知道:
$$
0^{4}=0\times0\times0\times0=0
$$
$$
0^{2}=0\times0=0
$$
由于$a^{m-n}=\frac{a^{m}}{a^{n}}$
因此$\frac{0^{4}}{0^{2}}=0^{4-2}=0^{2}=0$
因此$\frac{0}{0}=0$
\subsection{微分符号}
$\dot x=\alpha(y-x+\xi x-W(w)x)$
$\frac{\mathrm{d} \nu_1}{\mathrm{d} t}=\frac{1}{RC_1}[\nu_2-\nu_1+GR\nu_1-RW(\varphi)\nu_1$
\begin{thebibliography}{最宽序号}
\bibitem[文献序号1]{检索名 1}文献信息 1
\bibitem[文献序号2]{检索名 2}文献信息 2
\end{thebibliography}
\end{document}
傻瓜使用方法:
-
打开Latex编译器 -
ctrl C+ctrl V到编译器 -
根据论文结构设置\section和\subsection -
更改模板中诸如“论文题目”“作者姓名”等填充文字,替换成自己的 -
在对应位置输入正文,注意换行、换页和公式的使用 -
在要插入图片的地方把\section{图片使用}的代码模块复制过去,按照前文所述方法上传图片并插入 -
要用一堆等式或矩阵的时候,把对应的代码模块复制过去,按照自己论文的需求改一改(就是搭积木啦)
公众号后台回复“极市直播”获取100+期极市技术直播回放+PPT
极市干货
点击阅读原文进入CV社区
收获更多技术干货

