极市导读
石墨烯大法好!天津大学和佐治亚理工学院的研究者,造出了世界首个由石墨烯制成的半导体。打开石墨烯带隙,实现的是从0到1的里程碑级突破。摩尔定律,还能再续命十年。 >>加入极市CV技术交流群,走在计算机视觉的最前沿
硅,是所有电子产品的终结吗?
这个纪录,被石墨烯打破了!
天津大学和佐治亚理工学院的研究者,造出了世界首个由石墨烯制成的功能半导体。
团队的突破,为新的电子产品打开了大门。研究已经登上Nature。
论文地址:https://www.nature.com/articles/s41586-023-06811-0
这项研究,成功地攻克了长期以来阻碍石墨烯电子学发展的关键技术难题,打开了石墨烯带隙,实现了从「0」到「1」的突破。
有网友惊叹道:这简直是掀起了电子学的革命,外延石墨烯的突破,可以让「摩尔定律」再续命数十年!

原来,硅只是一个开始。
这一发现,可能会永远改变计算和电子学。
石墨烯研究几十年障碍被突破
半导体是在特定条件下导电的材料,是电子设备的基础部件。
而团队的发现,正值硅的性能到达极限之时。
以往,硅是几乎所有现代电子产品的原材料,但越来越快的计算、越来越小的电子设备,让这条路线越来越捉襟见肘。
英伟达CEO老黄就经常说,摩尔定律已死。

此时,石墨烯重磅出场了!

石墨烯是由已知的最强键结合在一起的单片碳原子
要知道,天然的石墨烯,不是半导体,也不是金属,而是半金属。
不过,由佐治亚理工学院的物理学教授Walter de Heer领导的团队,造出了一种可以与传统的微电子加工方法兼容的石墨烯半导体。

因此,这种半导体可以成为硅的替代品。
为什么以前没有人想到可以用石墨烯替代硅呢?
这是因为,几十年来一直有一个最大的障碍困扰着石墨烯研究,以至于许多人笃定地认为,石墨烯无法作为半导体。
这个障碍就是,石墨烯没有「带隙」。
在这个点上,被激发的电子可以从一个能量带跃迁到另一个能量带。这可以有效打开和关闭电流,从而控制导电开关,同时创造了数字计算机中使用0和1的二进制系统。
显示导体、半导体和绝缘体的不同尺寸带隙的带隙图
而这一障碍,被de Heer教授和团队克服了。

de Heer教授介绍说,「如今我们拥有一种非常坚固的石墨烯半导体,迁移率达到了硅的10倍,还具有硅所不具备的独特特性。」
「但在过去十年里,我们每天绞尽脑汁做的事情就是——能不能让石墨烯材料变得更好,可以变成半导体?」
20年前,他就知道石墨烯的潜力
石墨烯声名大噪,跟10年两位英国科学家「手撕透明胶带得诺奖」的故事有关。

不过在那之前,就有许多人相信石墨烯在电子学方面的潜力。
当成片堆叠时,石墨烯可以形成具有独特性能的结晶透明结构,被称为「奇迹材料」。

它是已知最薄、最轻的材料之一,据估计,石墨烯比金刚石更硬,比结构钢强约100到300倍。
一平方米的石墨烯重量仅为0.0077克,但最多可支撑4公斤。它还可以弯曲自身长度的20%而不会断裂。
石墨烯中碳原子的蜂窝状排列促进了电子的自由运动,超高载的流子迁移率,能让电子跑得非常快,实现众多酷炫的科幻材料性能,比如触摸屏、隐形飞机等等。

在职业生涯早期,De Heer教授就开始探索碳基材料作为潜在半导体的能力,在2001年,他把注意力转向二维石墨烯。
团队希望,能将石墨烯的三个特性引入电子产品:1.坚固;2.处理很大的电流;3.在无需加热和分离的情况下就能工作。

在实验过程中,团队想到了用特殊的熔炉,在碳化硅晶圆上让石墨烯生长出来。
他们如愿取得了突破,制出了在碳化硅晶体面上生长的单层外延石墨烯。
他们发现,如果制作方法正确,外延石墨烯就会和碳化硅发生化学结合,开始显示出半导体的特性。
接下来的十年里,佐治亚理工学院团队一直在这种材料,并且和天津大学的天津纳米颗粒与纳米系统国际研究中心展开合作。

TICNN主任马雷
关键突破:将电子「捐赠」给系统,迁移率比硅高了10倍
自然情况下,石墨烯既不是半导体也不是金属,而是半金属。
带隙是一种在施加电场时可以打开和关闭的材料,所有晶体管和硅电子器件,都是依靠这样的工作原理。
石墨烯电子学研究的主要问题,就是如何打开和关闭带隙,好让石墨烯像硅一样工作。
但是,如果想要制造功能性的晶体管,就必须让大部分半导体材料是可控的,这就可能会破坏石墨烯的性能。
为了证明石墨烯可以作为半导体发挥作用,团队就需要在不损坏它的情况下,测量出它的电子特性。

研究者将原子放在石墨烯上,将电子「捐赠」给系统——这种是一种被称为「掺杂」(doping)的技术,用于查看材料是否是良导体。这样,就不需要损坏石墨烯的材料或性能了。
研究人员使用了加热的碳化硅晶片,迫使硅在碳之前蒸发,从而有效地在表面留下一层石墨烯。
结果表明,石墨烯半导体的迁移率比硅高了10倍。
电子可以以极低的电阻移动,这就在电子学中转化为更快的计算速度。
「就像在碎石路而非高速公路上行驶一样。前者的效率更高,不会过度升温,而且速度很快,可以让电子快速移动。」de Heer教授解释道。

这款石墨烯产品,是目前唯一具有纳米电子学必需特性的二维半导体,它的电子性能远远优于目前正在开发的其他二维半导体。
天津纳米颗粒与纳米系统国际研究中心主任、论文合著者马雷表示——
石墨烯电子学长期存在的问题,就是石墨烯没有正确的带隙,无法以正确的比例打开和关闭。我们的技术实现了带隙,这是实现石墨烯基电子产品最关键的一步。
莱特兄弟时刻
这种外延石墨烯,很可能会在电子领域引起范式转变,并且催生出众多全新的技术。
它能允许利用电子的量子力学波特性,这正是量子计算所要求的。
根据de Heer教授的预测,可以期待下一代电子产品的问世了。在硅之前,有真空管,再之前,有电线和电报。
在电子学历史上,硅只是其中一段时间的形态,下一步,很可能就是石墨烯。

de Heer教授表示,对自己而言,这就像一个「莱特兄弟」时刻。
莱特兄弟造出一架飞机,可以在空中飞行300英尺。怀疑论者问:既然世界上已经有了火车和轮船,为什么还需要飞机呢?但他们坚持了下来,此后,飞机可以带人们横跨海洋。
超高迁移率半导体
石墨烯中缺乏固有的带隙。在过去的二十年中,试图通过量子约束或化学功能化来改变带隙的尝试一直没能成功。
而在这篇工作中,研究人员展示了单晶碳化硅衬底上的半导体表石烯(SEG)具有0.6 eV的带隙,并达到了超过5000
的室温迁移率,比硅大10倍,比其他二维半导体大20倍。

——也就是说,可行的半导体石墨烯诞生了。
当硅从碳化硅晶体表面蒸发时,富碳表面结晶产生石墨烯多层膜。在SiC的硅端端面上形成的第一个石墨层是绝缘表皮烯层,该层部分共价键合到SiC表面。
缓冲层的光谱测量显示出半导体特征,但由于无序,本层的迁移率受到限制。
在本文中,研究人员展示了一种准平衡退火方法,在宏观原子平坦的阶地上产生SEG(即有序的缓冲层),SEG晶格与SiC衬底对齐。
SEG在化学、机械和热学方面都具有坚固性,可以使用传统的半导体制造技术进行图案化,并无缝连接到半金属表墨烯。这些基本特性使SEG适用于纳米电子学。
SEG的诞生过程
如下图(a)(b)所示,传统的表石烯和缓冲层在密闭控制升华(CCS)炉中生长,其中3.5mm × 4.5mm半绝缘SiC芯片在圆柱形石墨坩埚中在1 bar的Ar中退火,温度范围为1300 °C至1600 °C (下图(c)所示) 。

坩埚由射频源在线圈中感应的涡流加热,坩埚上有一个小泄漏,硅从坩埚中逸出的速率决定了石墨烯在表面形成的速率。因此,生长温度和石墨烯形成速率受到控制。
将两个芯片堆叠在一起,底部芯片(source)的C面朝向顶部芯片(seed)的Si面。
在高温下,芯片之间的微小温差会导致从底部芯片到顶部芯片的净质量流,从而在种子(seed)芯片上逐步生长出大梯田,并在其上生长均匀的SEG薄膜。
SEG分三个阶段生长:
第一阶段,将芯片在真空中加热至900°C约25分钟以清洁表面;
第二阶段,在1 bar的Ar中将样品加热至1,300°C约25分钟,产生规则的双层SiC台阶阵列和大约0.2μm宽的阶梯。
第三阶段,SEG涂层阶地在1600°C、1 bar的Ar中生长,其中阶梯聚束和阶梯流产生大型原子扁平阶地,缓冲层在C面和Si面之间建立的准平衡条件下生长。
过程中最重要的参数是温度T、切屑之间的温差ΔT和退火时间t,当T=1600–1700°C时,退火时间通常为1-2小时。温差ΔT取决于坩埚设计,估计为10°C左右,以在两个芯片之间提供足够的质量传递所需的蒸气压差。
SEG表征
下图(a)展示了3.5 mm×4.5 mm晶圆的复合电子显微镜(SEM)图像。
SEM经过调整,可在SiC(白色区域)和SEG(灰色区域)之间提供鲜明的对比。大约80%的表面被SEG覆盖。石墨烯会显示为深色斑块(这里看到的黑点是灰尘颗粒)。最大的无台阶区域约为0.5mm×0.3mm。
图(b)是SEG的低温原子分辨率图像,使用扫描隧道显微镜(STM)。
STM图像显示了石墨烯蜂窝晶格(绿色),该晶格在空间上被
超周期结构(红色菱形和紫色六边形)调制,对应于约100 pm的SEG高度调制,因为与衬底的部分共价键合。

低能电子衍射(LEED)用于识别SEG并验证其与SiC衬底的原子配准。
上图(c)为SEG晶格的特征性6√3×6√3 R30°衍射图(LEED),显示了SEG的石墨烯晶体结构,以及SEG相对于SiC衬底原子的晶体排列。在传统生产的缓冲层样品中没有丰富的石墨烯痕迹。
图(d)是分辨率为1μm的50μm×50μm区域拉曼图,拉曼光谱(1–100 μm)对石墨烯和SEG非常敏感,石墨烯的痕量很容易通过其强烈的特征 2D峰来识别,结果表明表面上没有任何石墨烯。
图(e)显示了SEG的低温STS图像,将SEG的态密度(DOS)映射为费米能量的函数。图像展示了0.6 eV的明确带隙。
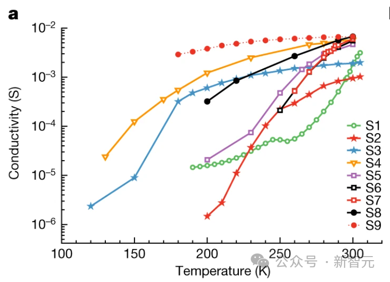
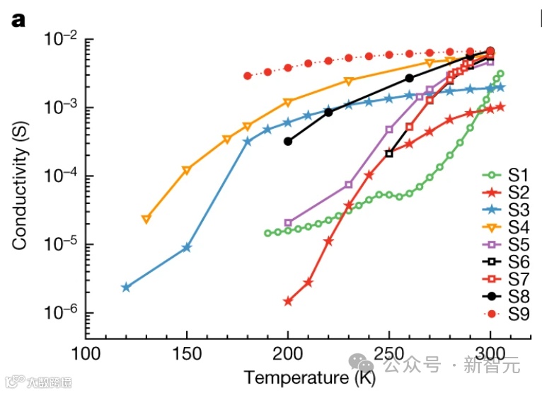
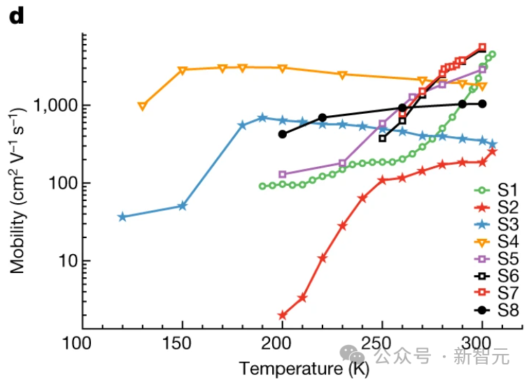
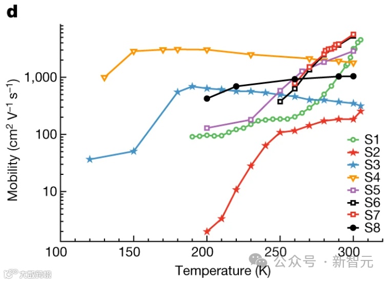
SEG传输属性
图(a)展示了样品的电导率随着温度的升高而单调增加。室温电导率范围为1e-3 S至8e-3 S,对应于125Ω至330Ω的电阻率ρ。低温值最多可缩小1000倍。

图(b)表示电荷密度,STS测量表明,SEG本质上是电荷中性的,因此充电是由环境气体(包括痕量挥发性有机化合物)和光刻加工的残余电阻引起的。

图(d)显示了材料的迁移率随着温度的升高而增加,在较高温度下趋于饱和。测得的最大迁移率为5500
。
室温SEG电导率、电荷密度和迁移率都在表石烯的典型范围内。然而,温度依赖性类似于具有深受体态的掺杂半导体。

通过测得的半导体和DOS,我们可以预测场效应晶体管的响应:

图(a)为使用计算的DOS预测SEG通道电阻率,假设理想电介质,SEG迁移率为4000
,预测室温开断比超过1e6 。
图(b)表示电荷密度与fermi energy的关系。T=300K时,N和P分支的导通电压预计分别为+0.34V和−0.23V。
https://www.nature.com/articles/s41586-023-06811-0 https://techxplore.com/news/2024-01-functional-semiconductor-graphene.html

公众号后台回复“数据集”获取100+深度学习各方向资源整理
极市干货

点击阅读原文进入CV社区
收获更多技术干货

