极市导读
Flash-Decoding借鉴了FlashAttention的优点,将并行化维度扩展到keys/values序列长度。这种方法几乎不收序列长度影响,可以充分利用GPU,即使在batch size较小时,也可以极大提高了encoding速度。 >>加入极市CV技术交流群,走在计算机视觉的最前沿
最新FlashDecoding++
Austin:【FlashAttention-V4,非官方】FlashDecoding++5
(https://zhuanlan.zhihu.com/p/665595287)
Flash Attention V1和V2的作者又推出了Flash Decoding(https//crfm.stanford.edu/2023/10/12/flashdecoding.html),真是太强了!
Flash-Decoding借鉴了FlashAttention的优点,将并行化维度扩展到keys/values序列长度。这种方法几乎不收序列长度影响(这对LLM模型能力很重要),可以充分利用GPU,即使在batch size较小时(inference特点),也可以极大提高了encoding速度。
相关背景知识先推荐阅读:
Austin:FlashAttention图解(如何加速Attention)
(https://zhuanlan.zhihu.com/p/626079753)
Austin:FlashAttention2详解(性能比FlashAttention提升200%)
(https://zhuanlan.zhihu.com/p/645376942)
Motivation
最近,像ChatGPT或Llama这样的LLM模型受到了空前的关注。然而,它们的运行成本却非常高昂。虽然单次回复的成本约为0.01美元(例如在AWS 8块A100上运行几秒钟),但是当扩展到数十亿用户的多次交互时,成本会迅速上升。而且一些场景的成本更高,例如代码自动补全,因为只要用户输入一个新字符就会执行。由于LLM应用非常广泛且还在迅速增长,即使稍微提升其运行效率也会产生巨大的收益。
LLM inference(或称为decoding)是一个迭代的过程:预测的tokens是逐个生成的。如果生成的句子有N个单词,那么模型需要进行N次forward。一个常用的优化技巧是KV Cache,该方法缓存了之前forward的一些中间结果,节约了大部分运算(如MatMul),但是attention操作是个例外。随着输出tokens长度增加,attention操作的复杂度也极具上升。
然而我们希望LLM能处理长上下文。增加了上下文长度,LLM可以输出更长的文档、跟踪更长的对话,甚至在编写代码之前处理整个代码库。例如,2022年大多数LLM的上下文长度最多为2k(如GPT-3),但现在LLM上下文长度可以扩展到32k(Llama-2-32k),甚至最近达到了100k(CodeLlama)。在这种情况下,attention操作在推理过程中占据了相当大的时间比例。此外,当batch size增加时,即使在相对较小的上下文中,attention操作也可能成为瓶颈。这是因为该操作需要对内存的访问会随着batch size增加而增加,而模型中其他操作只和模型大小相关。
因此,本文提出了Flash-Decoding,可以推理过程中显著加速attention操作(例如长序列生成速度提高8倍)。其主要思想是最大化并行加载keys和values的效率,通过重新缩放组合得到正确结果。
Multi-head attention for decoding
在decoding过程中,每个生成的新token需要与先前的tokens合并后,才能继续执行attention操作,即 。Attention操作在训练过程的瓶颈主要卡在访问内存读写中间结果(例如Q×KTQ \times K^TQ \times K^T)的带宽,相关加速方案可以参考FlashAttention(https://zhuanlan.zhihu.com/p/626079753)和FlashAttention2(https://zhuanlan.zhihu.com/p/645376942)。
然而,上述优化不适合直接应用于推理过程。因为在训练过程中,FlashAttention对batch size和query length进行了并行化加速。而在推理过程中,query length通常为1,这意味着如果batch size小于GPU上的SM数量(例如A100上有108个SMs),那么整个计算过程只使用了GPU的一小部分!特别是当上下文较长时,通常会减小batch size来适应GPU内存。例如batch size = 1时,FlashAttention对GPU利用率小于1%!
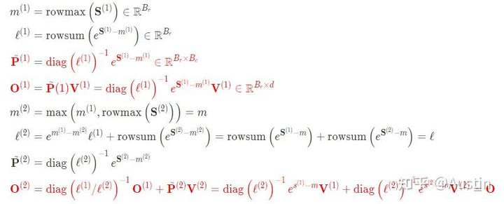
下面展示了FlashAttention的计算示意图,该示例将keys和values分为了2个block:
对应的计算公式:
注意 的计算过程依赖 ,从下图也可以看出,FlashAttention是按顺序更新output的,其实当时我在看FlashAttention这篇文章时就觉得这个顺序操作可以优化的,因为反正都要 rescale,不如最后统一rescale,没必要等之前block计算完 (为了获取上一个block的max值)
A faster attention for decoding: Flash-Decoding
上面提到FlashAttention对batch size和query length进行了并行化加速,Flash-Decoding在此基础上增加了一个新的并行化维度:keys/values的序列长度。即使batch size很小,但只要上下文足够长,它就可以充分利用GPU。与FlashAttention类似,Flash-Decoding几乎不用额外存储大量数据到全局内存中,从而减少了内存开销。
Flash Decoding主要包含以下三个步骤(可以结合上图来看):
-
将keys和values分成较小的block -
使用FlashAttention并行计算query与每个block的注意力(这是和FlashAttention最大的区别)。对于每个block的每行(因为一行是一个特征维度),Flash Decoding会额外记录attention values的log-sum-exp(标量值,用于第3步进行rescale) -
对所有output blocks进行reduction得到最终的output,需要用log-sum-exp值来重新调整每个块的贡献
实际应用中,第1步中的数据分块不涉及GPU操作(因为不需要在物理上分开),只需要对第2步和第3步执行单独的kernels。虽然最终的reduction操作会引入一些额外的计算,但在总体上,Flash-Decoding通过增加并行化的方式取得了更高的效率。
Benchmarks on CodeLlama 34B
作者对CodeLLaMa-34b的decoding throughput进行了基准测试。该模型与Llama 2具有相同的架构。作者在各种序列长度(从512到64k)上测试了decoding速度,并比较了多种attention计算方法:
-
PyTorch:使用纯PyTorch primitives运行注意力计算(不使用FlashAttention)。 -
FlashAttention v2(v2.2之前的版本)。 -
FasterTransformer:使用FasterTransformer attention kernel -
Flash-Decoding -
将从内存中读取整个模型和KV Cache所需的时间作为上限
从上图可以看出,Flash-Decoding在处理非常大的序列时速度可以提高8倍,并且比其他方法具有更好的可扩展性。所有方法在处理small prompts时表现相似,但随着序列长度从512增加到64k,其他方法的性能都变差了,而Flash-Decoding对序列长度的增加并不敏感(下图也是很好的证明)
Using Flash-Decoding
作者还通了Flash-Decoding使用方式:
-
基于FlashAttention package(https//github.com/Dao-AILab/flash-attention/tree/main) ,从版本2.2开始。 -
xFormers(https//github.com/facebookresearch/xformers),在版本0.0.22中提供了 xformers.ops.memory_efficient_attention模块
作者也提供了LLaMa v2/CodeLLaMa的repo1(https//github.com/Dao-AILab/flash-attention/tree/main/examples/inference)和xFormers repo2(https//github.com/facebookresearch/xformers)。此外,作者还提供了一个针对LLaMa v1/v2的最小示例(https//github.com/facebookresearch/xformers/tree/main/examples/llama_inference)。
个人总结
Flash-Decoding对LLM在GPU上inference进行了显著加速(尤其是batch size较小时),并且在处理长序列时具有更好的可扩展性。

公众号后台回复“数据集”获取100+深度学习各方向资源整理
极市干货

点击阅读原文进入CV社区
收获更多技术干货

