极市导读
本文借助 transformer 易于解释的特点提出了基于token embedding 重要性的 weighted adaptation的方法。 >>加入极市CV技术交流群,走在计算机视觉的最前沿
给大家拜个早年!欢迎大家关注我们有关于SAM跨模态知识蒸馏的最新工作:Segment Any Events via Weighted Adaptation of Pivotal Tokens。(Arxiv Github)
我们都看到这几个月关于SAM,Large Pretrained Model等的工作层出不穷,但是他们大部分是基于常见模态的数据,比如图像,文本等。但是对于其他缺少大量标注数据的模态,这时如何有效的进行有效的pretrained知识迁移就变成了一个重要问题。在本文,为了解决这个问题,我们借助 transformer 易于解释的特点提出了基于token embedding 重要性的 weighted adaptation的方法。
1. 方法
具体的来说,我们的方法首先建立在一个理性的假设上。虽然我们期望network尽量减小不同modalities的分布差异,但是由于不同模态的内在的差异,我们是无法完全对齐一个模态的输入到令一个模态。这时,我们自然而然的想到一个问题就是不同的token embedding 对于最终的任务是否有重要性的区别?网络可解释性的论文能够对不同区域的feature 重要性给出支持,但是大多数工作需要借助反向传播的梯度进行解释。本来蒸馏需要我们同时跑两个网络,如果还要求对两个网络进行反向传播将会让训练开销大大增加。如果我们能够以比较低的代价(无需对teacher 进行反向传播)进行token重要性的评价的话,我们相信将对训练效率较大的帮助。
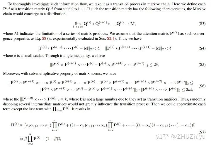
我们在此关注token-wise的重要性, 因此将transformer的 forward 过程精简为一个Markov Chain, 其中的状态转移矩阵为 , 其中 代表self-attention matrix, 代表residual connect, 是一个layer-wise 的scaler 代表经过mlp处理后 经过residual 和selfattention layer的信息含量比例的变化。
那么一个 N layers的transformer 就可以用这么一个公式来代表
那么问题随之而来, 就是 怎么求? 额, 一种简单粗暴的方法就是统一设置为某个固定的数, 但是经我们实验效果非常不好, 甚至可能降低网络性能。为了解决这个问题, 我们接下来对 进行一个拆解
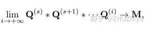
我们可以看到 中其实包含了大量 的连乘, 于是我们在想 是否有某些性质可以帮助我们进行 的化简。令人惊喜的是多层的attention matrix 连乘的结果都会收敛!
那么借助于这个假设 有类似于下式的收敛性
我们对 可按如下描述进行化简
那么 个 的超参可以化简为一个 .此时我们可以乘一个1向量到化简后的matrix 上面来得到token-wise的重要性。
之后我们利用token-wise 的重要性对multi-layer 的feature map进行loss加权。下面的 用来平衡不同深度之间的weight。
整体training flow 如下
2. 结果
实验结果如下所示,领先其他方法。
我们同时嵌入adapted sam 到LLM-SAM 联合的方法,效果如下。
详情请见:
Arxiv:https://arxiv.org/abs/2312.16222
Github:https://github.com/happychenpipi/EventSAM
还望各位大佬指点!

公众号后台回复“数据集”获取100+深度学习各方向资源整理
极市干货

点击阅读原文进入CV社区
收获更多技术干货

