极市导读
本文全面回顾了Mixture-of-Experts (MoE) 模型的发展历程,从早期的研究到最新的模型如Qwen1.5-MoE、DBRX和Mistral,探讨了MoE模型设计、训练策略和实验结果,并分析了如何通过专家专业化和细粒度控制提高模型效率和性能。 >>加入极市CV技术交流群,走在计算机视觉的最前沿
2024年3、4月这段时间,很多MoE模型扎堆发布,包括Qwen1.5-MoE、DBRX、Jamba和Mistral等。
下面这个表格列出了部分近期发布的MoE工作
| 模型 | 发布时间 | 备注 |
|---|---|---|
| GPT4 | 2023年3月 | 23年6月George Hotz爆料GPT4是8×220B模型 |
| Mistral-8×7B | 2023年12月 | Mistral AI,开源 |
| LLAMA-MoE | 2023年12月 | github开源项目 |
| DeepSeek-MoE | 2024年1月 | 幻方量化(深度求索),国内首个开源MoE模型,有技术报告 |
| abab6 | 2024年1月 | MiniMax,号称千亿MoE,无开源,无细节发布 |
| 天工2.0 | 2024年2月 | 昆仑万维,无开源,无细节发布 |
| Step-2 | 2024年3月 | 阶跃星辰,无开源,无细节发布 |
| MM1 | 2024年3月 | 苹果,多模态MoE,无开源,有技术报告 |
| Grok-1 | 2024年3月 | X,开源 |
| Qwen1.5-MoE-A2.7B | 2024年3月 | 阿里巴巴,开源 |
| DBRX | 2024年3月 | Databricks,开源 |
| Jamba | 2024年3月 | AI21,开源 |
| Mistral-8×22B | 2024年4月 | Mistral AI,开源 |
| WizardLM-2-8×22B | 2024年4月 | 微软,开源 |
| 天工3.0 | 2024年4月 | 昆仑万维,400BMoE |
| Arctic | 2024年4月 | Snowflake,480B,Dense-MoE Hybrid,开源 |
MoE模型目前风头正劲,就连前不久小米汽车发布会上,雷总也弄了个多模态MoE大模型做汽车智能中控
相信今年接下来的这段时间,MoE还会给我们带来更多的大新闻。
本篇将初步梳理MoE相关的一些经典工作和几个近期发布的中文MoE模型,从背景、思路和效果来了解MoE模型。
到文章发出的2024年4月为止,个人认为DeepSeek-MoE和Qwen1.5-MoE是中文领域做得比较好的两个工作,赶时间的朋友可以优先关注这两个工作。
1.时间线
这里先对后面会涉及的MoE相关工作,大致按时间线梳理一下,也列出一些关键信息包括模型结构、模型规模等。
(很多经典的MoE工作都出自Google)
1.1.上古时代
首先是很多MoE相关论文都会引用的,发表在1991年的论文《Adaptive Mixtures of Local Experts》,这篇文章出自Geoffrey Hinton和Michael I. Jordan两位大神之手。虽然在更早的时候就有MoE相关概念的工作,如原文所提到的,1988年这个概念就有了
This idea was first presented by Jacobs and Hinton at the Connectionist Summer School in Pittsburg in 1988.
但是大部分MoE文章还是认为是这个工作奠定了MoE的基础。
1.2.RNN时代
时隔二十多年,Google在2017年1月发布了《Outrageously Large Neural Networks: The Sparsely-Gated Mixture-of-Experts Layer》,把MoE带进了LSTM,训出了最大137B参数,专家数达到128k的LSTM模型。
1.3.Transformer时代
-
2020年6月,Google发布《GShard: Scaling Giant Models with Conditional Computation and Automatic Sharding》,把MoE应用在encoder-decoder结构的transformer模型上,每两层将一个FFN层替换成一个MoE层,训出了模型参数量从12.5B到600B的一系列MoE模型,每层最大专家数也达到2048个。 -
2021年1月,Google发布《Switch Transformers: Scaling to Trillion Parameter Models with Simple and Efficient Sparsity》 ,在T5(encoder-decoder结构)的基础上,把FFN层替换成MoE层,并简化了routing策略,训出了最大1.6T参数量的switch transformer。Switch Transformers对scaling、蒸馏等做了很多详细的探索,影响深远,是很重要的一个工作。 -
2022年2月,Google发布《ST-MoE: Designing Stable and Transferable Sparse Expert Models》,也是一个基于encoder-decoder结构的MoE模型,最大模型有269B的总参数,32B的激活参数。ST-MoE可以说不仅仅是一个MoE工作,对于模型结构、工程实现、训练策略等都做了很多分析,个人认为其重要程度相比Switch Transformer都有过之而无不及。
1.4.GPT时代
-
2021年12月,Google发布了GLaM,《GLaM: Efficient Scaling of Language Models with Mixture-of-Experts》,训出了最大为1.2T参数量的decoder-only模型。(从encoder-decoder到decoder-only,可以看到Google内部在模型结构方向上也有很多不同的尝试) -
2024年1月,幻方量化发布《DeepSeekMoE: Towards Ultimate Expert Specialization in Mixture-of-Experts Language Models》,对在23年12月开源的DeepSeekMoE,给出了一些细节。 -
2024年,Databricks的DBRX、阿里的Qwen1.5-MoE-A2.7B、Mistral AI的Mistral-8x22B等陆续发布。
2.奠基工作
Geoffrey Hinton和Michael I. Jordan的《Adaptive Mixtures of Local Experts》是大多数MoE论文都会引用的最早工作。
-
思路
这篇文章大致的思路是这样的:对于比较复杂的任务,一般可以拆分为多个子任务。比如要求计算输入文本中有多少个动词和名词,那就可以拆分为“数动词”和“数名词”这两个子任务。
而一个模型如果要同时学习多个子任务,多个子任务相互之间就会互相影响,模型的学习就会比较缓慢、困难,最终的学习效果也不好。
因此这篇文章提出了一种由多个分开的子网络组成的监督学习方法。这些分开的网络,在训练过程中,分别学习处理整个训练数据集中的一个子集,也就是一个子任务。这个思路就是现代MoE的思路,每个子网络(也就是一个expert)学习处理一部分内容。
文章里把这个MoE的方法应用于vowel discrimination task,即元音辨别任务,验证了MoE设计的有效性。元音辨别指的是语音学中区分不同元音的能力,在语音学中,模型需要学习辨别不同的元音因素,以便准确地理解和识别语音输入。通过让多个子模型分别学习分别学习不同元音(a、e、i、o、u)辨别的子任务,最终效果得到了提升。
-
模型设计
下图展示的就是这个MoE的思路:各个expert network和gating network接收同样的输入,每个expert给出各自的处理结果;而gating network输出每个expert的权重,就像一个开关一样,控制着每个expert对当前输入的打开程度,只是这个开关不是离散的,而是stochastic的,给出的不是true和false,而是权重。
-
损失函数优化
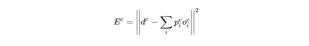
实际上,MoE这个idea在这篇文章之前就有了。如论文中所提,Jacobs和Hinton在1988就讨论过。但是之前的工作在loss的设计上,和ensemble更相近,多个expert之间更倾向于合作,每个expert会学习其他expert的residual部分。
具体来说, 对于case , 假设第 是对应的ground truth, 第 个expert的输出是 是 gating network给第 个expert分配的权重, 那么以前的工作所使用的损失函数 计算如下
这样的损失计算方式,是把期望输出和所有expert输出的混合结果进行比较。
这样做的结果是,在训练过程中,每个expert学习的其实是其他expert的组合结果所剩下的残差。这样的学习目标并不能很好迫使每个expert单独输出好的结果,因此不能得到稀疏的模型。
从另一个角度来看,这个损失计算把所有专家耦合在了一起。即当一个expert的输出发生了变化,所有expert的组合结果也会变化,其他所有的expert也需要做相应的改动来适应这个变化。因此各个expert之间更加倾向于合作,而不是相互竞争并单独给出好的结果,让gating network输出稀疏的结果。
虽然可以使用如增加辅助损失函数的做法,迫使模型给出稀疏激活的结果,但是这样相当于增加了很强的先验正则化,对模型最终效果也是有损害的。
而Hinton和Jordan在这个工作里,提出更简单的做法是对loss计算进行修改,使得各个expert之间的关系从合作变成竞争。
假设gating network每次随机选择一个expert,损失计算如下
在这个损失函数中,每个expert的输出结果会单独和期望结果进行对比,这就要求每个expert单独给出完整的结果,而不是仅学习其他expert的残差。
这样的loss计算具有localization的特性,即如果一个训练case错了,那么会被修改的主要是被gating network选中且出错的expert,以及负责分配权重的gating network,而不会很大地影响其他expert。
此外,localization还体现在,每个expert只会负责处理输入空间中某个特定子空间的向量,而不是完整的输入空间。
这样一来,不同的expert之间不会直接相互影响,虽然还是有间接的影响,比如某个expert的输出变了,gating network可能会分配新的权重,但是至少不会改变其他expert error的符号(+,-),即优化的方向。
最终的结果是,对于给定的输入,这样的系统会倾向于以高权重分配单一一个expert来预测结果(但其他权重还不是真正的0,不是真正的稀疏)。
-
实操技巧
上面提出的这个loss计算,理论上没有问题,实际上也能训练,但是为了得到更好的效果,作者把原loss计算作了如下变化:先指数化再求和,最后再取对数,得到了优化loss。看下变化前后的对比
这样做有什么好处呢?来对比一下原loss函数和优化后的loss函数的求导结果
相比原loss函数的导数,优化后的loss函数的导数,把当前第 ii 个expert的表现,和其他expert联系起来了。这样能够更好地衡量expert ii 对当前case的处理结果好坏。特别是在训练初期,gating network的权重是近似平均分配的,那么使用原loss函数的结果是,对当前case效果最好的expert,学习速度是最慢的(因为loss最小);而优化的loss函数则可以让当前最好的expert的学习速度最快。相当于让“有天赋”的专家在对应的子任务上尽快提高水平。这样就强化了localization的特征,使得各个expert更快拟合到自己擅长的部分,加速训练。
(BTW,优化后的这个loss导数,和现在的对比学习形式上看起来也很相似)
这个工作在今天看来不很复杂,但是思路还是很踏实有效的,给MoE奠定了基础。
3.LSTM MoE
Google在2017年1月发布了 《OUTRAGEOUSLY LARGE NEURAL NETWORKS: THE SPARSELY-GATED MIXTURE-OF-EXPERTS LAYER》,把MoE应用到了LSTM上,训出了最大137B的LSTM模型。这样规模的模型哪怕放在7年后的今天,也是巨无霸的存在,需要解决很多工程问题。
相比1991年的工作,这里做到了真正的稀疏激活,从而可以在实际计算量较少的情况下,训练巨大的模型。
3.1.背景
虽然当时Transformer还没出来,大规模模型的竞赛也还不像今天这么激烈,但是在多个领域中(文本、图像、音频),已经有不少工作反复证实了一件事:模型容量越大,能训出来的效果越好,上限越高。但是模型越大,需要的训练数据也就越多,二者共同作用下,就造成了训练开销基本是随着模型增大,以平方关系在增长。
在这个背景下就出现一些conditional computation,条件计算的工作来解决这个问题。conditional computation就是根据输入,有选择地只激活部分网络模块。那么MoE其实就是一种条件计算的实现。由于不用激活全部参数,训练所需的计算量就大大减小,整体计算成本就不用以平方速度增长。
虽然理论上计算量的成本下来了,不过实操起来还是会遇到几个问题:
-
训练的时候,在MoE结构下,每个expert的batch size比整个模型的batch size小了。
比如模型的batch size是32,一共有16个expert,那实际上一次迭代平均每个expert只能分到2个训练样本。而batch size对训练效率影响是很大的,大的batch size摊小了参数传输和更新的成本。如果直接增大模型的batch size,又会受显存和通讯效率的限制。 -
训练数据量不足。
要训大模型就需要大量的数据,让模型参数充分学习。在当时的背景下,大规模的NLP数据是比较缺的。当然如今数据集多了很多,特别是预训练数据,这个问题现在来看没有那么突出了。 -
损失函数的设计。
如何使用合适的损失函数来训练模型,提升效果,并且使得模型的负载比较均衡,这是一个不容易解决的问题。 -
集群通讯问题。
一个GPU集群的计算能力可能比设备间网络带宽的总和高出数千倍,因此设备间的通讯很可能成为训练效率的瓶颈。为了计算效率,就要使得设备内计算量和所需的通讯量的比值,达到相应的比例。 -
GPU计算特点。
GPU做数学计算很快,但是并不擅长做branching(if/else),因此MoE的工作基本上都是用gating network来控制参数的激活。这个严格来说不算是新的挑战了,应该说是根据计算设备沿用下来的设计。
要解决好这些问题,才能训出比较好的模型来。
3.2.模型设计
-
整体结构
先看下模型结构的设计。
论文里使用的是两个LSTM层,中间夹着一个MoE层,最上面和最下面分别还有一个embedding层和一个任务输出层,结构如下图所示
每个expert是一个简单的feed-forward neural network。一共有n个expert,gating network输出是一个稀疏的n维向量
是第 个expert的输出, 是gating network给出的第 个expert的权重。
如果 为 0 , 就不用计算对应的那个expert了, 节省了计算。
如果expert的数量特别多,可以用two-level hierarchical MoE,即使用两层gating network,第一层的gating network先选择一个包含一批expert的分支,每个分支又有一个单独的gating network来选择具体的expert。类似word2vec训练所用的hierarchical softmax。这样做可以节省一些计算。
-
gating network
那具体gating network怎么设计呢?
如果对输入进行线性变换,再简单加上一个softmax,那得到的是一个非稀疏的gating function
在这个基础上,使用一个topk函数,只保留最大的k个值,其他都设为﹣∞(softmax之后变成0),这样就能只选择部分expert,得到了稀疏性。
论文提到,虽然理论上这个形式的sparsity(topk)会造成gating function的不连续,不过在实操中暂时没有遇到相关问题。
在这个基础上,在输入再加上一个Gaussian noise,这个noise的大小由另外一个可学习的参数来控制。整体的计算公式如下
其中用来调整noise的非线性函数softplus是个类似ReLU的激活函数,但是更为光滑,函数图像如下
这里添加噪声的原因和负载均衡有关,下面来分析下负载均衡。
3.3.负载均衡
在MoE模型训练的实验中观察到,如果不对gating network进行干预,任由模型自由学习,那么最终模型会倾向于收敛到“总是选那几个固定的expert”的状态,而其他expert几乎不会被使用。这就是负载不均衡的状态,如果这些专家分布在不同的计算设备上,结果就是有些设备输入排队特别长,而有些设备基本处于闲置状态,这明显不是我们想要的。
这种负载不均衡的状态有自我加强的属性,因为一旦开始出现部分专家被较多选中激活,这些专家就会得到更充分的训练,从而获得更好的效果,进而又提升被选中激活的概率。
针对这种情况,之前有一些工作使用hard constraint来缓解,比如当某个expert激活次数达到上限,就把它从候选集合中移除。hard constraint明显会对模型效果有影响。而这篇论文使用的是一种soft constraint。
具体来说,对于每个expert,定义了一个它在当前这批输入数据里的重要性指标,如以下公式所示
是gating network给出的权重, 是一个维度等于expert数量的向量。
基于这个重要性指标, 论文定义了一个辅助损失 , 训练时和模型的交叉熵损失加到一起。 的计算方式如下
其中权重 是手动设置的超参, 实验的推荐值是 是coefficient of variation。coefficient of variation离散系数, 是概率分布离散程度的一个归一化量度, 定义为标准差 和均值 的比值。
对于MoE来说, 确定激活的expert数之后, 均值是固定的。如果 expert的gating很不平衡, 标准差就会很大,离散系数也会很大,使得 变大。
但是这里还是有问题, 虽然均衡的负载可以推导出 较小的结论, 但是 较小却不能保证负载均衡。也就是说 较小只是负载均衡一个必要不充分条件。
比如一个expert可能以很高的权重被分配到一个样本, 而另一个expert可能以不太高的权重被分配到好几个样本。这种情况下对所有输入数据的gating权重进行求和, 仍然可能呈现出均匀的表象 (离散系数比较小),但这并不符合我们的要求。
为了解决这个问题, 需要额外再加上一个损失 。这里就要用到添加在每个expert输出上的随机噪音了。
我们想要各个expert的负载均衡,也就是每个专家需要处理的样本数基本一致,但是分配到各个专家的样本数是个离散值,因此没有办法直接用于back propagation,而 就是对各个expert负载的一个平滑评估。
回想一下前面在设计MoE的时候,定义了 为KeepTopK函数的输入
那么这里先定义一个 , 表示在除去 中的第 个分量之后, 排在第 大的值。基于这个, 再定义 为:固定其他分量已经选取好的noise, 重新给第 个分量再添加一次noise, 结果比 kth_excluding 大的概率, 公式如下
通过这个noise, 我们把"第 个专家是否处理这个输入"的离散值, 变成"第 个专家处理这个输入的概率"这样一个平滑的估计, 就表示这个概率。这个概率可以简化写成
其中 是标准正态分布的CDF。
接下来就可以把第 个expert的负载定义为
有了每个expert的负载衡量,就可以和前面第一个负载均衡损失一样,计算新的负载均衡损失了
是手动设置的超参, 实验的推荐值是 0.1 。
相比前面的 是对负载是否均衡更细粒度的评估。
论文中提到一个细节, 在刚开始训练的时候, 希望模型分配的 expert尽量均衡, 因此把 和 都设为 0 , 这样相当于没有信号, 也没有噪音。
最终使用负载均衡之后的效果如下
使用这两个负载均衡损失之后,能达到接近完全平均分配的效果。
3.4.实验
-
解决工程问题
针对前面提出的一些工程问题,论文给出一些方案
(1)batch size减小
由于稀疏激活的原因,每个expert的batch size会变小。假设每次在n个expert中选择k个,模型训练的batch size为b,那么每个expert的batch size就是kb/n。论文通过以下这几种方法来提升每个expert的batch size:
-
混合使用数据并行和模型并行。本来在使用数据并行的情况下,每个模型副本是异步处理各自的数据的。而这里做了优化,各个副本的batch是同步处理的,这样就可以把多个模型副本的batch组合起来。对于非MoE部分的参数,依然使用标准的数据并行机制;而对于每个expert,则在整个集群中只保留一个副本。如果模型分布在d个设备上,那每个expert就能得到一个kbd/n的batch size。 -
对于LSTM模型,在时间步上展开,就能把batch size提升相应的倍数。
(2)集群通讯问题
另一个挑战就是平衡集群计算量和通讯量的关系。
对于每个expert来说,主要的通讯就是input和output的传输。而每个专家的主要计算量就是两个全连接层,大小分别为[input_size, hidden_size]和[hidden_size, output_size]。对于GPU来说,计算速度可能是通讯速度的1000倍,那我们就需要把计算量设计得足够大。最简单的做法就是把hidden_size提高,使得每个expert的内部计算量比通讯量大1000倍,以保证通讯不会成为训练的瓶颈。
-
模型容量 & 参数效率
为了验证模型容量提升带来的收益,以及MoE模型的参数效率(即和dense模型同样推理计算量下能达到的效果),训练了包含4/32/256个expert的flat MoE模型,和包含256/1024/4096个expert的hierarchical MoE模型。每个expert大约是1M参数量,对于所有flat模型都是激活4个expert,而对于hierarchical MoE是每层gating激活2个。
效果如下图。左边的图显示,随着模型容量提升,测试的ppl有明显下降。右边的图将相近模型容量的dense模型和MoE模型的效果放在一起对比,可以看到MoE模型在相同模型容量下,效果更好
-
更大的模型
前面几个模型训练用的数据量不是很大,模型最大也只有4B左右,训练不久就出现diminishing returns。
为了验证更大数据集 + 更大模型的收益,在100B token的语料上,分别训了包含32, 256, 1024,4096, 16384, 65536, 和131072个expert的MoE模型,最大的模型达到了137B的参数量。
各个模型对比如下表。整体来看,增加数据和模型容量,是可以继续获得提升的。
从这里还可以看出,在专家数量不太多时,提升专家数量效果有提升,但是收益会慢慢减小,甚至会出现专家数量太多,效果反而下降的情况。
-
Expert Specialization
按照MoE的设计思路,不同的专家应该学习到不同的子任务,但是实际上是否是这样呢?
论文里把模型中不同的专家分配到token拿出看,发现确实有比较强的specialization效果,不同的专家处理不同的内容,如下所示
4.GShard
-
简介
2018年,随着Bert的发布,transformer结构彻底火了起来。2020年6月,Google发布《GShard: Scaling Giant Models with Conditional Computation and Automatic Sharding》,把MoE用到了encoder-decoder结构的transformer模型上。MoE开始变成我们现在熟悉的样子了。
GShard这个工作做了很多的实验,训了很多规模巨大的MoE模型,最大的达到了600B。训练的一系列模型的参数如下表
在expert数量的设计上,延续上面LSMT MoE工作的思路 -- expert越多,效果越好。(站在24年这个时间节点来看,太多的expert未必适合;但是也不能说这个思路一定错误,毕竟事物的发展是螺旋式的,就像ChatGPT出来之前大多数人都在魔改各种Bert,而GPT已经坐了几年冷板凳了。)
GShard论文中很大的篇幅在介绍工程实现和优化,这也是MoE模型训练最大的痛点。关于工程框架的内容比较硬核,因此这里不会展开讲太多,而是关注在模型算法层面上。
-
模型设计
先来看下模型设计。
Google在那段时间走的是encoder-decoder transfomer的技术路线,因此GShard也是基于encoder-decoder transfomer的模型结构。
GShard的模型设计是,在encoder和decoder中,每两层把其中一个FFN层替换成MoE层。对于总共有N层的模型,则有N/2个MoE层,如下图
每层会选择最多top-2 expert来激活。为什么是最多,后面解释。
GShard在上面这篇LSTM MoE论文的基础上,改进了gating function和auxiliary loss function。
从公式来看,MoE层的具体计算如下
其中 是MoE的输入token, 和 分别是输入输出的线性变换矩阵。向量 就是gating function的输出。
GShard在gating function的设计上提出了两个要求:(1)负载均衡(2)高效扩展。
负载均衡和前面讲的一样,很好理解。而为什么要高效扩展,因为如果要对N个token分别进行E个expert的分配,在N能达到百万甚至千万级别,而E也有几百上千的情况下,就需要一个高效的分布式实现,以免其他计算资源等待gating function。
为了满足这些要求,gating function提出了以下机制
(1)专家容量 expert capacity
为了确保负载平衡,我们不希望有少量expert需要处理很多token,因此强制规定了每一个expert所负责处理的token数量有一个最大值,这个最大值就叫专家容量,在这里设置为2N/E,相当于平均分配的量。
这个expert capacity通过GATE(·)给每个expert维护一个计数器 来监控。如果一个token所选的两个专家当前处理量都已经超过设定的专家容量,那么这个token就不会被当前层的任何expert处理,而是直接通过残差链接透传到下一层。
(2)分组分配 Local group dispatching
给所有输入token分成了G组,不同的组并行处理,每个组相应地也把组内专家容量变成2N/EG。
这样做相当于在前向推理时,把大的batch拆分成小的batch,每个小的batch就是一个group。这样做的好处是通讯的时候(特别是all2all)只需要在每个group内进行就可以了,减少了通讯量。
而进行反向计算的时候这些group可以合起来一起用,相当于进行了gradient accumulation。
(3)辅助损失函数 Auxiliary loss
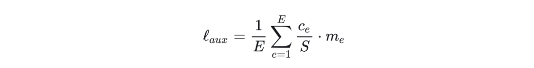
光设置专家容量并不能使得gating负载均衡,而且会导致大量溢出。参考前面LSTM MoE的工作,这里也定义了一个辅助损失函数,来帮助负载均衡。辅助损失函数设计如下
是token数, 是专家数, 是分配给第 个专家的token数, 是第 个expert在 个 token中获得的平均权重。
思路是, 本来是要算 的平方的, 但这是离散值不可导, 因此把平方中的一个 换成了 , 是第 个expert在 个token中获得的平均权重。在平均分配的情况下, 这个loss达到最小。
相比前面的负载均衡损失,这个loss的设计就简单许多。
gating的整个算法如下
(4)随机路由 Random routing
前面提到,每层会选择最多top-2 expert来激活,就是因为有随机路由的机制。直观来说,就是认为如果top-1专家的权重很高,而第二个专家的权重如果较小,那很有可能只用第一个专家就足够解决问题了。
随机路由的机制是top-1的专家永远会被激活,而第二个专家如果权重很小,就认为它可以被忽略。具体来说,会以与第二个专家的权重g2成比例的概率激活第二个专家。
-
效果
最后看一下模型在翻译任务上的效果
5.Switch Transformer
2022年4月,距离ChatGPT发布还有半年,Google发布了《Switch Transformers: Scaling to Trillion Parameter Models with Simple and Efficient Sparsity》(实际上2021年Google就提出Switch Transformer了)。
Switch Transformer和GShard一样,是encoder-decoder结构,基于T5开发的,具有1.6T的参数,2048个expert。
和前面的很多工作一样,Switch Transformer有一个出发点,那就是参数量越大,模型效果越好,并且可以通过稀疏激活来减少总计算量。
但是相比其他工作,Switch Transformer给出了一个更为具体的描述,那就是模型参数量可以是一个独立于总计算量的,单独的缩放轴。也就是说,在改变参数量的同时,(几乎)不改变训练和推理的计算量,就可以带来效果的提升。因此Switch Transformer关注在“同样的FLOPS/token的计算量”下,如何扩大模型,提升效果。
Switch Transformer所做的工作还是比较多的,包括:
(1)模型结构简化:简化了Transformer上的MoE架构,提出Switch Transformer架构。
(2)MoE to dense:把训出来的效果较好的MoE模型蒸馏到dense模型,在压缩MoE模型99%的参数的情况下,效果还是比直接训练dense模型好。
(3)训练和微调技术:
-
首次使用bf16成功训练MoE模型 -
更适合MoE结构的模型初始化 -
增加的专家正则化,改善了稀疏模型的微调和多任务训练
(4)训练框架:结合数据、模型和专家并行性,训练了超过1T参数的MoE模型。
(5)多语言:在多语言数据集上训练,发现101种语言效果普遍有提升。
(6)训练效率:在同样的FLOPS/token的计算量下,Switch Transformer模型收敛速度有数倍的提升。
5.1.模型设计
Switch Transformer的模型结构如下图,类似GShard,把transformer每层的FFN替换成MoE层
Switch Transformer一个重要的改进点就是简化了gating function的做法(Switch Transformer论文里叫routing)。
之前的工作大多探索了选择k个expert的做法,而Switch Transformer则直接把gating简化为只选择1个expert,即k=1。这样的MoE层叫做Switch layer。
这样简化之后,routing的实现更简单,router的计算量小了,也减少了通讯量。
5.2.负载均衡
同GShard一样,Switch Transformer规定了一个专家容量expert capacity,来限制每个expert在一个batch里能处理的最大token数。
如果一个token被分配到了一个已经满载的expert,就会出现overflow,那这个token在本层就不会被处理,而是直接通过残差链接,透传给下一层。这点也同GShard一样。
在Switch Transformer,专家容量通过容量系数capacity factor来控制。
一个大的capacity factor意味着每个expert能够处理更多的token,从而减少overflow情况的发生,但是计算量和通讯量的压力也会增大,所以这是一个需要权衡的参数。
下图给出了一个不同capacity factor下的例子
那么如何设定expert capacity呢?
如果capacity factor为1的话,只有在完全平均分配的时候,才不会出现overflow的情况。而太大的capacity factor则可能造成算力和存储的浪费。
首先,实验中发现expert的数量和overflow的数量之间没有什么关系,所以在所有实验中,所有MoE和Switch Transformer模型都用128个专家。
不同的capacity factor对模型影响如下表。可以看到,大的容量系数相对来说能取得更好的效果(因为更少的overflow),但是相应地,大容量系数的模型处理速度就会慢一些。
经验上,低的token丢弃率对模型的scaling很重要,想要训练超大规模的模型,就要解决这个问题。而通过负载均衡损失就可以确保良好的平衡,使得在使用较小容量系数的情况下,overflow尽量少,从而兼顾效果和计算速度。
关键问题来到负载均衡损失怎么设计。
给定 个expert, 和包含 个token的batch , 负载均衡损失是这么计算的
表示被分配到第 个expert的token数, 这个不可导
表示整个batch每个token分配给第 个expert的概率的总和, 这个可导
这个损失的设计其实和GShard中的也是一样的。
在完美平均分配的情况下, 和 这两个向量都是 , 这个时候负载均衡损失是最小的。
扫描了1e-5到1e-1, 发现设为1e-2, 已经足够大保持负载平衡, 同时不过分影响模型收玫。
观察到 , 所以负载均衡Ioss还乘了个 , 这样可以保持无论使用多少个expert, 在平均分配的情况下, loss都能保持相同的常数。
5.3.实验
-
一些训练的trick
(1)选择性地使用bf16
半精度训练会带来一些训练的不稳定。因此选择性地使用bf16,具体来说,routing function内部使用单精度,其他部分使用半精度,这样既不影响通讯,也能提高效果。
为什么选择在routing提高精度?因为softmax对误差特别敏感,exponential计算会极大放大输入中的rounding error,因此高精度对routing很重要。
(2)较小的参数初始化
从截断正态分布中抽取元素来初始化的模型参数, 平均值 , 标准差 , 其中 s 是超参, 是权重张量中的输入单元数量(e.g. fan-in)。
论文建议将默认的Transformer初始化尺度s=1.0减少10倍。这个方案在实验中既提高了质量又降低了训练不稳定性的可能性。初始化实验对比如下表
(3)增大dropout
由于Switch Transformer参数量很大,在微调的时候更容易过拟合,因此一个简单的方法就是增大dropout,效果如下
可以看到大的dropout有效果,并且dense层保持0.1,只有expert层增大dropout效果更好。
-
scaling
对Switch Transformer结构预训练的scaling做了一些实验。
(1)Step-Basis
首先是验证在固定训练step的条件下,增大expert数量带来的提升,如下图所示。
左边是不同规模的模型在相同step下收敛的结果,可以看到在保持相同计算量的条件下,只通过增大专家数量来提升规模,就有明显的收益。右边则展示训练过程中,不同规模的模型在各个step下的效果。
(2)Time-Basis
虽然Switch Transformer可以保持计算量不变的情况下提升模型规模,但是专家数量的增多会带来额外的通讯成本,所以即使训练的step数相同,实际的训练时间也不同。因此这里要回答的问题是,给定一个固定的训练时长,Switch Transformer是否相比dense模型仍有收益。
答案是肯定的。下图展示以训练时长为横轴,Switch Transformer和dense模型的效果对比。Switch Transformer收敛到dense模型最终效果的时间只有dense模型的1/7。
(3)和更大的dense模型对比
前面Switch Transformer和dense模型的比较,是基于相同计算量的前提。那么Switch Transformer是否具备超越更大规模dense模型的能力?
下图在Step-Basis和Time-Basis对比了64个专家的Switch Transformer和T5-Large。无论是相同step还是相同时间下,Switch Transformer都有明显优势。
-
SFT效果对比
在GLUE和SuperGLUE等下游任务上微调,和dense模型对比。
对于各个模型,每两百步进行一次eval,选最好的效果,尽量保证公平。结果如下表,大部分任务都有明显的提升。
-
模型蒸馏
虽然Switch Transformer在相同计算量下效果更好,但是部署几百B甚至T级别的模型,还是不太方便,因此考虑把稀疏模型蒸馏到dense模型上来进行推理。
论文中给出了几个蒸馏的技巧:
-
初始化的时候,把Switch Transformer模型中的非稀疏部分用于初始化dense模型 -
蒸馏所用的label,25%来自教师模型,75%来自ground truth,加权求和
预训练模型的蒸馏效果如下,相比无蒸馏训练的dense模型,把同样计算量的稀疏模型蒸馏到dense模型,dense模型大约能获得Switch Transformer提升部分30%的增益。
更进一步,用不同规模的稀疏模型下进行蒸馏,结果如下表,可以实现高达99%的压缩率
除了预训练模型,微调模型也可以蒸馏,效果如下,在SuperGLUE也有一定的提升
6.GLaM
-
简介
2021年12月Google发表了《GLaM: Efficient Scaling of Language Models with Mixture-of-Experts》,训练出最大参数量为1.2T,每层包含64个专家,每个token激活参数量为96.6B的MoE模型。
相比Switch Transformer,GLaM的训练数据量要大得多,达到了1.6T token。
下表是论文中给出的,当时一些大规模模型的对比
虽然模型总参数量比GPT-3(175B)大很多,但是训练成本却比GPT-3低很多,推理速度也更快,而且在多个NLP任务上的效果都超越了GPT-3,如下所示。
-
模型设计
模型设计上,和Switch Transformer一样,每两层把一个FFN替换成MoE层。但是和Switch Transformer不同,GLaM用回了每次激活两个expert的方案,模型结构如下图。
除此之外,模型在结构上海做了一些其他改动:
(1)位置编码
使用XLNET的相对位置编码。
(2)激活函数
In the non-MoE Transformer feed-forward sub-layers, we replace the first linear projection and the activation function with the Gated Linear Unit,which computes the component-wise product of two linear transformation of the input, followed by a Gaussian Error Linear Unit.
-
实验
训练中的一些trick:
(1)参考《Lingvo: a modular and scalable framework for sequence-to-sequence modeling》,在梯度出现NaN或者Inf的时候就跳过那一步更新。
(2)如果在BP更新的时候遇到NaN或者Inf,则重新加载更早的checkpoint并跳过有问题的数据来避免NaN或者Inf。
论文训了一系列模型来探索MoE,这些模型的设置如下表
GLaM和dense模型的评测结果如下
可以看到GLaM MoE的有效参数效率一致高于dense模型。
7.ST-MoE
2022年2月,Google发表了《ST-MOE: DESIGNING STABLE AND TRANSFERABLE SPARSE EXPERT MODELS》。ST-MoE可以说不仅仅是一个MoE工作,对于模型结构、工程实现、训练策略等都做了很多分析,可以说是MoE的必读论文。
ST-MoE最大模型包含269B总参数量,和与32B dense模型相当的激活计算量。论文中把模型称为称为Stable Transferable Mixture-of-Experts,或者ST-MoE-32B。
在MoE层的使用上,ST-MoE比Switch Transformer更“节省”一点,每四层才替换1个MoE层。
论文中主要训了两个规模的ST-MoE模型,分别有4B和269B的总参数量。ST-MoE以及其他用于对比的模型参数如下表
7.1.稳定性与效果分析
论文通过对乘性操作、噪音和裁剪这几个内容进行探索,来指导模型的设计。
-
乘性操作对模型稳定性和效果的影响
论文首先研究了乘性操作对模型的训练稳定性和最终效果的影响。
之前已经有一些工作表明更多的乘法对模型效果有收益。
Some architectural improvements involve more multiplications than additions or do not sum many items at once
(1)GELU Gated Linear Units (GEGLU)
第一个例子是关于激活函数的。GLU是一个对两个输入向量进行component-wise相乘的操作,之后被扩展成GELU-Linear FFN变体,用于替换transformer中的ReLU FFN变体,其计算如下
这样在一些其他工作里已经被证明了对模型效果有提升。
(2)RMSNorm
第二个例子是RMSNorm中的缩放参数,也就是下面公式的 g。
ST-MoE针对GEGLU和RMSNorm这两个乘性操作,做了实验,结果如下表。
发现移除乘性操作可以使模型稳定性更好(训练中发散的情况减少),但是最终效果变差了。
(3)增加dense层
ST-MoE还验证了在expert层增加更多dense层的效果。结果发现增加更多的乘法交互(增加dense层),可以在带来效果收益的同时,基本不影响推理速度,如下表所示。
(4)增加一个bias
在FFN层的第一个矩阵乘法后面增加一个可学习的bias B,分别通过加法和乘法加入
乘法的收敛速度更快,效果也更好。
上面这些实验显示,后续在模型效果的探索方向可以往多使用乘性操作去考虑。
-
noise对模型稳定性和效果的影响
接下来ST-MoE探索了“噪音可以提升模型稳定性”的假设。
通过input-jitter,给router的输入logits乘以一个在[1e-2, 1e2]之间的均匀随机变量来添加噪音。
结果是增加noise之后,有助于让模型的收敛更加稳定,但是对模型最终效果有负面影响。
这里论文还提到,小模型上的结果不一定能直接推广到更大的模型上,比如在小模型上稳定的配置,在大模型就可能就不稳定了。因此还是需要在大模型上也进行充分实验。
-
限制激活值和梯度值对模型稳定性和效果的影响
对activation和gradient进行限制是目前广泛应用的提升模型训练稳定性的手段。在反向传播过程中,通过裁剪梯度的范数来缓解梯度爆炸,就是一种常用的限制手段。
但是在ST-MoE训练269B的大规模模型时,发现裁剪会使得模型收敛的效果很差。
为了解决这个问题,ST-MoE在训练中引入了router z-loss,形式如下。
是token的数量, 是专家数, 是router的输入。
z-loss会对进入router的较大的logits值进行惩罚,以达到尽量减少进入指数函数的较大误差的目的。什么意思呢?后面来解释,先看下使用z-loss的效果。
ST-MoE认为,在模型训练过程中,由于精度不足或者其他问题,会产生很大的值,从而引入误差。而对梯度进行裁剪是在误差发生之后,并且裁剪本身也造成了数据的不连续性,某种程度上,裁剪本身也是一种误差。相反地,z-loss自然地鼓励模型产生较小的对数值,因此可以更精确地建模。
z-loss乘以一个权重超参 加入到模型训练的总损失中,如下式所示。
ST-MoE经过实验,选择了 。
是 auxiliary load balance loss负载均衡损失,ST-MoE这里使用了和GShard/Switch Transformer所用的相同的损失计算,这里回顾一下:
是专家数, 是包含 个token的batch。 表示被分配到第 个expert的token数, 这个不可导; 表示整个batch每个token分配给第 个expert的概率的总和, 这个可导。
-
数据精度对训练效率和训练效果的影响
目前大部分的大模型训练都使用混合精度训练:模型权重以float32格式存储以进行梯度更新,然后在正向和反向传播的矩阵乘法中转换为bfloat16;此外,所有激活值都以bfloat16存储和操作,而allreduce通信可以在bfloat16或float32数值精度中进行。
对于ST-MoE-32B的训练,allreduce的数值使用半精度可以加速训练,然而这也会使训练变得不稳定,因此ST-MoE保持allreduce的数值精度为float32。
bfloat16和float32在不同范围的舍入误差如下表所示
可以看到,表达的数值越大,舍入误差越大。而z-loss限制了数值大小,也就将误差值限制在比较小的范围。
MoE模型天生对舍入误差敏感,因为它们由于router的使用而有更多的指数函数,而指数函数会将小的输入误差放大很多,这就加剧舍入误差所导致的训练不稳定。
另外,ST-MoE有一个策略:只有当排第二的专家的权重大于等于第一的专家的1/5时,token才会被路由到其第二位专家,否则第二个专家就会被忽略。
因此虽然舍入误差不会改变softmax运算中各个概率的排序,但它确实会影响MoE中第二个专家的激活。
7.2.模型设计
dense模型的设计有scaling law进行指导,但是MoE模型的设计比dense模型多出几个要考虑的点:
(1)使用多少个expert
(2)怎么routing
(3)专家容量系数怎么定
(4)硬件的影响
(这里提到MoE模型的scaling law工作:《Unified scaling laws for routed language models》,可以了解一下)
-
使用多少个expert
ST-MoE认为,从以往的经验来看,在总专家数量较少的情况下(如8/16/32),提升专家数量,能有收益。但是在特别稀疏的情况下(如激活专家数量<1%),或者总专家数较大(比如>256)之后,提升专家数量收益就很小了。
从另一个角度来看,如果一个计算核心使用>1个专家,那么就会出现比较大的加载参数张量的成本,因此建议每个计算核心使用<=1个专家。
-
routing和capacity factor
论文做了一系列实验来探索capacity factor的选择,如下表所示
从这些实验中得到几个结论:
(1)训练和推理的capacity factor增大都会有收益
(2)如果硬件资源足够,推理的capacity facotr可以设得比训练的时候大,会有进一步提升
(3)激活的expert数量提升会有收益,但是收益随着capacity factor提升而越来越小
当然,选择capacity factor还要看硬件的特性,如果通讯很快,可以适当增大capacity factor,否则就不能选择太大的。
下表展示了不同capacity factor对推理速度的影响
7.3.实验
-
ST-MoE效果
ST-MoE-32B在下游任务上和以往最佳结果对比如下表,ST-MoE-32B刷新了超过一半任务的最佳效果
-
Expert Specialization
论文还对各个专家的专业化进行了追踪,发现decoder中几乎没有专业化的迹象,各种类型的token近乎随机分配给不同的专家。而在encoder中则表现出了高度专业化的特征,如下表
此外,还发现在多语言的模型的encoder中,专业化的情况并不想原先预想那样,按不同语言划分,而是每个专家都会处理一种语言的一部分token,如下表
8.DeepseekMoE
2024年1月,幻方量化(下的独立机构深度求索)开源了DeepseekMoE,是国内首个开源的MoE大模型。幻方还发布了论文《DeepSeekMoE: Towards Ultimate Expert Specialization in Mixture-of-Experts Language Models》,给出了一些DeepSeekMoE的细节内容,颇为实在了。
DeepSeekMoE在其他MoE工作的基础上,进一步给出了2个模型设计的主要思路:
(1)对expert的粒度进行细分,以提供更多样的expert激活组合;
(2)对expert的类型进行区分,从所有expert中保留一部分作为shared expert共享专家,这部分专家对所有输入都保持激活。
这样的做法可以帮助每个expert达到更高程度的专业化(specialization)的水平,更好地学习不同的专业知识。
DeepSeekMoE先在2B的较小MoE模型上进行了充分的实验,然后把方案应用到16B参数的MoE模型上,并获得了较好的效果。其中DeepSeekMoE-16B不需要量化就可以在40GB显存的设备上运行。
DeepSeekMoE-2B模型具有和稠密2B模型相当的性能,而DeepSeekMoE-16B则具有和7B稠密模型相当的性能,且计算量仅为稠密模型的40%。
DeepSeekMoE-16B的参数效率相比稠密模型有明显的优势,如下图所示
并且DeepSeekMoE-2B和16B模型都开源了。
在前面实验的基础上,幻方还训练了DeepSeekMoE-145B的超大MoE模型,具有和稠密的DeepSeek-67B模型相当的表现,但计算量更小。这个后续也有机会放出来。
8.1.模型设计
MoE,mixture of expert,顾名思义,一个最初始的motivation就是让不同expert学习不同的内容,然后再混合起来。
比如最上面提到的1991年的工作里,就是让不同的expert学习不同的元音特征,以此提升特征提取的准确率。
但是当前大部分的MoE架构都会遇到“knowledge hybridity”和“knowledge redundancy”的问题,即知识的杂糅和冗余:
(1)知识冗余
有些基础的常识在不同的领域都需要用到,每个expert就都会学一点,这样这些常识就被多个expert重复学习了。
(2)知识杂糅
在expert数量不够多的情况下,一个expert就可能要负责学习多个领域的内容。以学习高中知识为例,在只有两个expert的时候,只能一个expert学习理科知识,另一个学习文科知识;当我们有8个expert的时候,不同expert就可以分别学习语文、英语、历史、地理、物理、生物、化学、数学知识。显然后者所学知识的专业化程度更高。
知识的杂糅和冗余阻碍了专家专业化(expert specialization)的程度,也就阻碍了模型达到MoE结构理论上限性能。
我们期望每个expert能够学习到non-overlap & foucusd knowledge的知识。
针对上面的问题,DeepSeekMoE的架构设计有2个主要策略:
(1)Fine-Grained Expert Segmentation
参数总量不变的情况下,将expert分成更细的粒度(每个expert更小)。这样可以带来更灵活的激活组合,让每个expert可以有更强的specialization。比如原本是16个expert选择激活2个,那么总的组合数是120种;如果把每个expert缩小为原来的1/4,那在总参数量和激活数量不变的情况下,是64个expert选择激活8个,那么总的排列组合数就是 ,排列组合数比原来多了很多。
(2)Shared Expert Isolation
把部分expert分离出来,保持永远激活。我们期望这部分专家能够学到在多个领域间都通用的common knowledge。这样的策略同样可以使得其他expert能够提高专业化的程度,并且减少不同expert间的知识冗余。还是以学习高中知识为例,数学、物理和化学都需要算术能力,如果让学这三个领域的expert都学习算术技能,就会有冗余;我们可以把通用算术的技能剥离出来,由一个助手专门负责算术任务,相当于给他们发了一个计算器,这样学习数学、物理和化学的expert就能把更多的精力放在专业知识上,也就能达到更好的专业化效果。
下图展示了在传统MoE结构上增加Fine-Grained Expert Segmentation和Shared Expert Isolation策略的设计
(expert isolation的思路最早可以追溯到2022年1月发表的《DeepSpeed-MoE: Advancing Mixture-of-Experts Inference and Training to Power Next-Generation AI Scale》,这里就不展开了。)
假设传统的MoE模型每层的 expert数量为 , 激活 expert数为 , DeepSeekMoE使用的细粒度 expert大小为原来的 , 那DeepSeekMoE每层就有 个expert, 激活的expert数量为 个。假设 为输入长度, 为模型层数, 表示第 个expert, DeepSeekMoE可以公式化为以下表示(忽略了layernorm)
8.2.负载均衡
如之前工作反复提及的,如果任由MoE模型自主学习gating,可能会遇到两个问题
(1)routing collapse:专家分配的不均衡,也就是gating倾向于总是选择特定的少量expert,并且这种情况还会自我增强。
(2)计算效率问题:多设备间,不平衡的负载可能会成为计算效率的瓶颈。
针对routing collapse的问题,DeepSeekMoE引入一个expert-level balance loss,如下所示
叫做expert-level balance factor,是人工设定的超参。
而 和 和 Switch Transformer里的设定基本一样。
在Switch Transformer里, 表示分配到第 个expert的token数量。在DeepSeekMoE这里也是一样的含义, 只是多乘了一个系数 , 其中 是划分出来的共享 expert的数量。这个系数是个常数, 可以拿到求和符号外面, 这样 DeepSeekMoE里的 就和Switch Transformer里的完全一样了。
这个系数可以使得在使用不同的数量的expert时, 在完美平均分配的情况下, 负载均衡 loss都是相同的常数。
表示所有每个token分配给第 个expert的权重的总和, 和Switch Transformer里的含义一样。注意这里 是不可导的, 是可导的。
针对多设备间负载均衡的问题,DeepSeekMoE引入一个device-level balance loss,如下所示
叫做device-level balance factor,是人工设定的超参。
指第 个设备。
device-level balance loss形式上和expert-level balance loss一样, 只是 和 对应的对象从单个expert变成单个设备了。
当我们的目标是缓解计算瓶颈时,我们不需要强制执行expert间的均匀分配,而只需确保设备之间计算量的平衡。比如我们每层有64个expert,均匀分布在8个设备上,我们只需要每个设备处理的token数平衡即可,在设备内部即使所有token都是同一个expert处理的,依然能满足设备间负载平衡的要求。
相比expert间严格的负载平衡,只要求设备间的平衡是更松的限制条件,这样缓解了因为过度的负载平衡而损害模型性能的问题。
8.3.实验
-
小规模模型验证
为了验证以上策略的有效性,先拿100B token的语料数据在DeepSeekMoE-2B模型做实验。词表也是通过BPE在语料上训练的8k词表,后面训练更大规模模型的时候再扩大词表。
DeepSeekMoE-2B模型参数初始化方差为0.006,使用multi-head attention,前向激活参数量约0.3B,具体参数如下表
relative expert size指的是DeepSeekMoE所用的细粒度expert的大小和正常FFN层大小的比值。
训练的具体参数设置如下
| 属性 | 数值 |
|---|---|
| optimizer | AdamW |
| adam_beta_1 | 0.9 |
| adam_beta_2 | 0.95 |
| adam_weight_decay | 0.1 |
| warmup schedule | linear |
| warmup step | 2000 |
| max lr | 1.08e-3 |
| dropout | 0 |
| sequence length | 2k |
| batch size | 2k |
| total step | 25,000 |
其他训练细节:
-
所有expert放在单个GPU上,没有使用device-level balance loss -
expert-level balance factor设为0.01 -
训练到80%的时候,学习率乘以0.316,训练到90%的时候,再乘以0.316
使用相同的100B训练数据,训了DeepSeekMoE-2B,在包含语言模型和下游任务的benchmark上和其他4个模型做对比:dense,hash layer(也是一种MoE模型,来自《Hash layers for large sparse models》),Switch Transformer,GShard。各模型参数和在benchmark的得分如下表
可以得到几个结论:
-
更大的模型参数量和稀疏的架构,使得Hash Layer和Switch Transformer和具有同样激活参数的dense模型相比,有明显的优势。 -
同样的模型参数下,GSshard比Hash Layer和Switch Transformer有更多激活参数,效果也更好 -
同样的模型参数和激活参数下,DeepSeekMoE效果比GShard有明显优势。
为了进一步探索DeepSeekMoE架构带来的收益,提升了dense模型和GShard模型的激活参数,直到效果和DeepSeekMoE-2B差不多。
结果dense模型和GShard模型需要分别扩大到16倍和1.5倍的参数量,才能达到DeepSeekMoE-2B相近的效果,如下表所示
DeepSeekMoE的优势在更大规模的情况下,依然成立。训了DeepSeekMoE-13B, 对比参数量提升至1.2和1.5倍的GShard,DeepSeekMoE-13B依然能match,具体如下表
-
DeepSeekMoE架构消融实验
针对DeepSeekMoE架构的两个主要设计,shared expert和fine-grained expert进行消融实验。使用不同数量的共享专家和不同粒度的expert进行效果对比,结果如下图。
(1)对比蓝色和橙色,可以看到增加共享专家带来了收益
(2)绿色和红色在橙色的基础上进一步把专家颗粒分得更细,效果进一步提升
(3)共享专家和路由专家的比例:在总共64个expert的情况下,对比了1/2/4个共享专家的情况,结果并没有显著差别,在pile上的loss分别是1.808,1.806,1.811。最终选择了共享专家和激活路由专家1:3(2+6)的比例。
-
expert specialization的分析
通过实验来验证DeepSeekMoE中expert specialization的优化。
(1)前面实验看到DeepSeekMoE-2B和1.5倍参数量的GShard模型效果相当。在这个基础上,通过禁用不同数量的top专家,而只能从次优的专家中选择进行回答。
实验结果如下
发现DeepSeekMoE的损失更大,说明DeepSeekMoE每个专家的专业化程度更好,必要性更高。
(2)另外,通过禁用DeepSeekMoE的共享专家,而额外激活一个路由专家,发现loss也大大提升。这个结果突出了共享专家的关键功能,并表明共享专家捕捉到了与路由专家不共享的基本且重要的知识,使得它无法被路由专家替代。
(3)DeepSeekMoE只激活更少专家,也能和GShard达到相同水平,这一观察结果支持了DeepSeekMoE可以更准确和高效地获取所需知识的观点。
此外还从零训了一个只用1个共享专家和3个激活专家的2b模型(正常是2个共享专家+6个激活专家),也比GShard好,说明DeepSeekMoE结构的有效参数效率更高
-
DeepSeekMoE-16B
DeepSeekMoE-16B模型使用了2T数据训练(和LLAMA2-7B对齐)训练,并使用了100k的词表。其他参数如下表所示
论文中提到,除了第一层以外,其他层都使用了MoE层。
第一层不使用MoE是因为观察到第一层的负载均衡loss在训练中收敛得特别慢。
DeepSeekMoE-16B每层有64个专家,其中有2个作为共享专家保持永远激活,加上6个通过gating function选择激活的,每个token共使用8个专家。每个token会激活16.4B中的2.8B参数。
这里没有把专家的dimension再减小,是因为如果专家太小,计算效率就下降得太厉害。
训练中使用的其他设置:
-
lr = 4.2e-4 -
训练进行到80%和90%的时候,lr都会缩小到0.316倍 -
batch size = 4.5k,训练窗口长度是4k,因此每个batch有18M token,2T数据差不多是10.6w步 -
使用了pipeline parallelism
expert level balance loss的系数设得比较小,0.001,因为实验中发现设得再大并不能进一步优化负载平衡,反而会损害模型效果。
DeepSeekMoE-16B和DeepSeek-7B模型的对比如下
DeepSeekMoE-16B和LLAMA2-7B模型的对比如下
-
DeepSeekMoE-145B
幻方还用245B的token训练了DeepSeekMoE-145B,模型效果上达到DeepSeek-67B的同等水平
9.DBRX
2024年3月27日,Databricks开源了DBRX,一个拥有有132B参数,激活参数为36B的MoE模型。
结构上,DBRX使用了RoPE、GLU、GQA,采用了fine-grained expert的设计,每层有16个专家,每个token激活其中4个。相比Mixtral和Grok-1在8个专家中激活2个,DBRX有更多的专家组合方式。
DBRX训练的上下文长度为32k,并使用了12T文本和代码token进行训练。DBRX在3072个H100上完成预训练,加上post-training、效果评估、red-team优化,整个过程耗费3个月时间。
DBRX整体效果超过GPT-3.5,与Gemini 1.0 Pro相当,并且具有比较强的代码能力,甚至超过了在代码上专门优化过的模型,如CodeLLaMA-70B,如下图所示。
推理效率效率上,DBRX也领先于其他模型。
10.Qwen1.5-MoE
2024年3月28日,阿里放出了Qwen1.5-MoE-A2.7B,以2.7B的模型参数,达到了Qwen1.5-7B模型的相近效果。
Qwen1.5-MoE-A2.7B参考了DeepSeekMoE和DBRX的工作,采用了fine-grained expert的做法,总共有64个专家,每个token激活8个专家,其中有4个为共享专家。
Qwen1.5-MoE-A2.7B使用Qwen-1.8B进行初始化,并在初始化阶段引入随机性,这样可以显著加快收敛速度,并得到更好的收敛结果。
Qwen1.5-MoE-A2.7B和其他模型效果对比如下
虽然Qwen1.5-MoE-A2.7B总参数量较大,但激活的non-embedding参数量远小于7B模型,如下表所示
实践中,Qwen1.5-MoE-A2.7B相比于Qwen1.5-7B,训练成本降低了75%。
推理性能上,在A100-80G用vLLM部署Qwen1.5-7B和Qwen1.5-MoE-A2.7B模型进行了性能测试。
输入/输出token数都设置为1000,输出token数设置为1000,TPS和throughput如下
虽然MoE模型对内存需求更大,但是由于稀疏激活以及共享专家的设计,但是在速度和吞吐量上都比dense模型更好。Qwen1.5-MoE-A2.7B与Qwen1.5-7B相比,速度提高了约1.74倍。
11.Mistral
11.1.Mistral 8x7B
2023年12月11日,Mistral AI开源Mistral-8x7B,每个token激活8个专家中的2个。
Mistral-8x7B支持32k推理窗口和多语言,并且代码能力较好。和LLAM2-70B以及GPT-3.5的对比如下。
Mistral-8x7B在大多数任务表现优于LLAM2-70B,且推理速度提高了6倍。
而和激活参数量相近的LLAM2-13B比,优势更为明显
11.2.Mistral 8x22B
2024年4月17日,Mistral AI开源Mistral-8x22B模型,一个总参数为141B,激活参数为39B的超大MoE模型。
Mistral-8x22B支持多语言,并且具有较强的数学和代码能力。此外,推理窗口长度也从Mistral-8x7B的32k增加到64k。Mistral-8x22B还具备function call的能力。
在各个维度的评测结果如下
12.小结
-
现有的工作都表明,MoE模型相比dense模型具有更高的参数效率,即同样的计算量下,MoE模型普遍能有更优的效果 -
因此MoE不仅能支持更大规模模型的训练,在较小规模模型上使用MoE架构也有很大收益 -
但是相比dense模型,MoE模型的训练也需要考虑更多内容,包括专家数量、激活数量和专家容量的设计,负载均衡的问题,如何在多设备上的并行等,训练难度更大 -
结构上,共享专家和细粒度专家目前被验证效果较好 -
负载均衡上,GShard和Switch Transformer的负载均衡损失被广泛采用 -
推理时需要对底层框架进行优化以适配MoE机制,否则难以发挥MoE的性能优势
读到这了,来一发点赞收藏关注吧~
博客:http://www.linsight.cn/
知乎:Linsight
微信公众号:Linsight
Reference
【1】Adaptive Mixtures of Local Experts https://www.cs.toronto.edu/~hinton/absps/jjnh91.pdf
【2】Outrageously Large Neural Networks: The Sparsely-Gated Mixture-of-Experts Layer https://arxiv.org/abs/1701.06538
【3】GShard: Scaling Giant Models with Conditional Computation and Automatic Sharding https://arxiv.org/abs/2006.16668
【4】Switch Transformers: Scaling to Trillion Parameter Models with Simple and Efficient Sparsity https://arxiv.org/abs/2101.03961
【5】GLaM: Efficient Scaling of Language Models with Mixture-of-Experts https://arxiv.org/abs/2112.06905
【6】ST-MoE: Designing Stable and Transferable Sparse Expert Models https://arxiv.org/abs/2202.08906
【7】DeepSeekMoE: Towards Ultimate Expert Specialization in Mixture-of-Experts Language Models https://arxiv.org/abs/2401.06066
【8】Introducing DBRX: A New State-of-the-Art Open LLM https://www.databricks.com/blog/introducing-dbrx-new-state-art-open-llm
【9】Qwen1.5-MoE: Matching 7B Model Performance with 1/3 Activated Parameters https://qwenlm.github.io/zh/blog/qwen-moe/

公众号后台回复“数据集”获取100+深度学习各方向资源整理
极市干货

点击阅读原文进入CV社区
收获更多技术干货

