极市导读
这篇文章介绍了一种名为FlashSplat的新型3D Gaussian Splatting分割求解器,它通过线性化简化了3DGS分割过程,将2D到3D的分割任务转化为线性整数优化问题,提高了分割效率,比现有方法快约50倍,并确保了全局最优性。该方法在物体移除和修复等后续任务中表现出色,具有在3D数据处理和应用中的巨大潜力。 >>加入极市CV技术交流群,走在计算机视觉的最前沿
文章链接:https://arxiv.org/pdf/2409.08270
项目链接:https://github.com/florinshen/FlashSplat
亮点直击
引入了一种全局最优的 3D Gaussian Splatting分割求解器,大大提高了将 2D 分割结果提升到 3D 空间的效率。 通过线性化简化了 3DGS 分割的过程,将 2D 到 3D 的分割任务转化为线性整数优化问题。该方法对二值分割和场景分割均有效。 在优化中引入了背景偏置,展示了在 3D 分割中对噪声的优越鲁棒性,证明了该方法在各种场景分割中的鲁棒性和高效性。 本文的方法具有显著的优化速度,能在 30 秒内完成整个过程,比现有方法快约 50 倍,同时确保给定 2D masks的全局最优性。 广泛的实验验证了本文方法在后续任务中的优越性,包括物体移除和修复,突显了其在 3D 数据处理和应用中的巨大潜力。
总结速览
解决的问题
-
现有方法在从2D mask中精确分割3D Gaussian Splatting(3D Gaussian Splatting, 3D-GS)时效率低下,通常依赖于迭代梯度下降法来给每个高斯分配一个唯一的标签,导致冗长的优化和次优解,效果欠佳。
提出的方案
-
提出了一种简单且全局最优的3D-GS分割求解器,通过线性规划的方式闭式求解最优标签分配。 -
核心思路在于,利用重建的3D-GS场景,2D mask的渲染可以视为与每个高斯标签的线性函数。
应用的技术
-
利用线性规划技术来解决标签分配问题,避免了迭代优化。 -
通过单步优化实现分割,并结合alpha混合特性。 -
在目标函数中加入背景偏置,增强抗噪性。
达到的效果
-
优化过程仅需30秒,比现有最优方法快50倍。 -
实验表明该方法在分割多种场景时高效、鲁棒,并在后续的任务如物体移除和修复中表现优越。
方法
本节首先深入探讨了3D Gaussian Splatting(3D GS)的渲染过程,重点关注基于块的光栅化和alpha混合。接着描述了如何将此过程表述为整数线性规划 (ILP) 优化,用于3DGS的分割,并证明该问题可以通过闭式形式求解。鉴于2D mask通常带有噪声,引入了一个软化的最优分配来减轻这些噪声影响。除了二值分割之外,还扩展了该方法以涵盖场景分割,从而实现3D场景中所有物体的分割。最后,提出了一种基于深度信息的2D mask渲染方法,将3D分割结果从新视角投影到2D mask上。
初步:3D Gaussian Splatting (3DGS) 的光栅化
3D Gaussian Splatting (3DGS) 是一种出色的新视角合成方法。与神经辐射场 (NeRF) 不同,它通过显示 3D 高斯并具有实时速度来重建 3D 场景。给定一组具有配对相机姿态的捕获视角,3D Gaussian Splatting通过学习 3D 高斯 来重建 3D 场景。每个 3D 高斯 通过以下参数进行表示:
-
中心位置 -
表示旋转的四元数 -
三维尺度 -
:学习到的不透明度 -
: 表示视图相关颜色的三阶球谐函数
在渲染过程中,3DGS 采用光栅化pipeline来实现超高效率。具体来说,所有3D 高斯首先被投影到图像平面上作为 2D 高斯。然后将整个图像划分为 的瓦片, 如下图 1 所示, 每个瓦片 共享相同的 3D 高斯子集
在渲染每个像素时, 传统的 alpha 组合被应用于将这些 2D 高斯的属性 (颜色或深度) 根据它们的深度顺序混合到像素空间属性 中。
其中, 是渲染特定像素时的 alpha 值, 它是 与像素位置落入投影 2 D 高斯 的概率的乘积, 是透射率, 表示通过并未被前 个高斯吸收的部分。
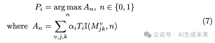
将二值分割表述为整数线性规划
从一个重建的3D Gaussian Splatting(3D-GS)场景开始,参数化为 ,其中包含 个渲染视图以及相应的 2D 二值mask,记为 。每个mask 的元素为 0 或 1 ,其中 0 表示背景, 1 表示前景。我们的目标是通过将 2D mask投影到 3D 空间中, 为每个 3 D 高斯 分配一个 3 D 标签 , 其值可以为 0 或 1 。
为此,通过一个可微分的渲染过程来优化 。将 视为公式 (1) 中的属性 。目标是最小化渲染mask 与给定二值mask 之间的差异。
随着 的重建,渲染所需的 和 变为常数。因此,渲染函数相对于混合属性 变为线性方程。这使我们能够灵活地通过简单的线性优化来求解最优mask分配。
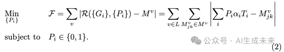
形式上, 分割问题可以表述为一个具有平均绝对误差的整数线性规划 (LP) 优化:
其中 表示 3DGS 渲染器。由于对于任何 都有 且 , 并且在 alpha 混合中光只能被吸收, 因此吸收的总光量不能超过初始光强度, 该初始光强度被归一化为 1 。因此, 所有样本的吸收光分数之和受到如下约束:
这引导提出以下结论:
引理 1: 在 3D Gaussian Splatting的 alpha 混合过程中,对于 ,
为了求解这个线性规划 (LP) 问题,根据引理 1 将公式 2 重写为:
其中, 表示每个 3D 高斯点的标签。
其中, 是一个常数值, 和 分别作为指示函数, 表示背景和前景的存在。
通过多数投票法求解整数线性规划 (ILP) 。 为了最小化公式 4 中定义的函数 , 当所有对应mask 中的像素都表明为背景 ( 0 ) 时, 我们将 设为 0 。相反, 如果mask之间存在矛盾, 我们通过加权多数投票来解决。具体来说, 我们根据mask中最频繁出现的标签为每个高斯点 分配值, 如公式 6 所示。
形式上, 如果差值 , 其中 和 分别代表指示背景和前景的加权mask的计数, 我们将 以最小化 如果 , 则将 。在更一般的情况下, 我们可以将 的最优分配表述如下:
直观上, 这个最优分配概念是通过聚合各个 高斯在渲染过程中的贡献来实现的。那些在所有给定 mask中显著贡献于前景的高斯点被指定为前景,即 ,相反,主要贡献于背景的高斯点被系统地分配为背景, 即 。此外, 由于公式6中目标函数的简单线性组合形式, 我们可以同时为每个 3 D高斯点分配最优标签。
正则化ILP用于降噪。实际上,给定的2D mask集 通常是由训练好的2D视觉模型预测和关联的,这可能在某些区域引入噪声(如图6的第1列和第2列所示)。这些2D mask的特点可能导致3D分割结果中出现噪声。例如,如下图2(a)所示,因噪声误分类为前景的背景高斯点可能导致分割后的3D物体边缘尖锐且难以过滤。
为了解决这一问题, 对上述最优分配进行了改进。该改进首先通过 归一化对高斯点的整体贡献进行归一化, 表示为 。接着, 引入了一个范围为 的背景偏置, 用以重新校准 ,从而调整最优分配为:
使用 能有效减少分割结果中的前景噪声; 相反, 则有助于生成更干净的背景, 正如图2(b)和(c)分别展示的那样。这种软化的最优分配形式提供了灵活性, 能够针对不同的下游任务, 在 2 D mask 噪声的情况下产生准确的3D分割结果。
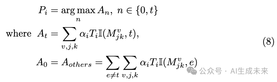
从二值分割到场景分割
在3D场景的不同视角中存在多个实例。要对这些场景中的多个物体进行分割, 需要根据上述公式多次执行二值分割。这一过程涉及反复收集 , 从而自然减缓了场景分割的速度。因此, 为了更有效地应对这一挑战,将方法从二值分割扩展到场景分割。
这种向多实例分割的转变受到两个关键因素的推动。首先, 重要的是要认识到 高斯点并不完全属于单个物体。例如,如图1所示,像素 和 虽然属于不同的物体(颜色块),但受到了同一个3D高斯点的影响。此外, 引入多个实例使得公式2中的约束复杂化, , 其中 表示场景中实例的总数。因此,提供的mask集 变为 ,以适应多个分割后的2D实例。这种约束会阻碍全局最优解的实现,因为实例之间的标签是可交换的。
为了规避这些挑战,我们将多实例分割重新解释为多个二值分割的组合,并根据公式 7 修改了最优分配策略。为了隔离标记为 的特定实例,将实例集中所有其他物体重新定义为背景来计算 。这一方法形式化如下:
通过这种公式, 只需一次累积集合 , 然后对该集合执行 操作, 就可以为每个物体 获取高斯子集 。因此,这允许用户通过指定物体ID来选择性地删除或修改这些3D高斯子集。还需要注意的是, 当 时, 不同实例的子集 可能会重叠, 这反映了3D高斯点分割本质上的非排他性特征。
基于深度引导的新视角mask渲染
由于上述公式避免了密集优化,本文的方法仅需大约 的masked 2D视图即可产生稳健的分割结果。这种效率也使得本文的方法能够为之前未见过的视图生成 2 D mask 。在二值分割的上下文中, 仅专注于渲染由 标识的前景高斯。此过程涉及为每个像素 计算累积的alpha值 。对于二值分割中的新视角mask渲染, 仅渲染具有 的前景高斯点, 以生成每个像素的累积alpha值 , 然后可以通过对alpha值 进行简单量化来获得2D mask, 阈值 是一个预定义的超参数。具体来说, 2D mask是通过对这些alpha值进行简单量化得到的,其中 表示预定义阈值, 是量化函数, 当 时, , 相反, 。
在场景分割中生成新视角mask时, 由于不同物体的分割结果会相互交叉(如公式8所示),因此生成的 alphamask可能存在模糊,如下图3的第3列所示。具体来说,在相同视角下渲染每个物体的关联3D高斯子集 可能会导致多个物体满足条件 。在这种情况下, 引入深度信息来确定最终的分割结果。在每个像素位置 处,使用深度 来过滤最终的 2 D mask结果。对于满足 且相对于摄像机在像素 处具有最小深度 的物体 , 最终被选为 。下图 3展示了二值分割和多物体分割在新视角下的2D mask预测结果。
实验
数据准备
数据集。为了评估本文方法的有效性,从多个来源收集了3D场景数据:MIP-360 数据集、T&T 数据集、LLFF 数据集、Instruct-NeRF2NeRF 和 LERF 数据集,这些数据集用于定性分析。为了进行定量分析,使用了 NVOS 数据集。
2D mask生成与关联。在实验设置中,使用了 Segment Anything Models (SAM)来提取mask,因为 SAM 的分割输出在本质上是不依赖于语义的。在我们的框架中,需要进一步将这些2D mask进行关联。本文的方法分为两种不同的策略,分别针对二值分割和场景分割。
对于二值分割,其目标是隔离单个前景实体,我们首先在单个参考视图上标记点提示。这些点提示通过参考视图的相机姿态投影回3D空间,以找到其最近的具有最小正深度的3D高斯点。随后,这些点提示被投影到其他视图中,通过投影其对应的3D高斯点的中心来传播。利用这些关联的点提示,SAM 独立生成每个视图的二值mask。
对于场景分割,本文的方法首先使用 SAM 为单独视图生成实例mask。为了在3D场景中为每个2D物体分配唯一的ID,将多个视图视作视频序列。利用zero-shot 视频跟踪器,确保在不同视点间一致地关联和传播物体。
实施细节
在 CUDA 内核函数中实现了 方程7和方程8 中的最优 3D 分割。每个高斯的 计算采用基于瓦片的光栅化与渲染器进行, 不包括颜色分量 , 仅关注 。对于提供的mask集 中的每个像素,按照方程 1 进行 alpha 合成。然后,将每个高斯的 聚合到缓冲区 中,该缓冲区对应于像素标签 ,通过原子操作完成。利用光栅化 pipeline可以在 30 秒内完成所有对象的 集合。对于二值分割,直接应用 arg max 确定最优分配。在场景分割的情况下, arg max 通过动态规划进行迭代执行以加速。此分配确保了二值分割和场景分割的计算在 1 毫秒内完成,从而在计算完 集合后, 可以实现对 值的交互式调整。这种调整使用户能够有效减少各种下游任务中的分割噪声。
3D 分割结果
下图 4 展示了二值和场景 3D 分割的结果。第一行展示了来自 LERF 数据集 的 Figurines 场景,第二行展示了来自 MIP-360 数据集 的 Counter 场景。在这两个场景中,应用了场景分割方法,为每个场景渲染了 2 个视图的 5 个分割对象(在真值图像中圈出),展示了本文的方法在使用 SAM 预测的实例mask进行场景分割的能力。此外,第三、第四和第五行展示了二值分割结果,其中第三行展示了来自 LLFF 数据集 的 Horns 场景,第四行展示了来自 T&T 数据集 的 Truck 场景,第五行展示了来自 MIP-360 数据集 的 Kitchen 场景。两个视图的分割对象被渲染,显示了本文方法在分割 3D 对象方面的能力。
对象移除
3D 对象移除涉及从场景中完全消除一个对象的 3D 高斯子集。上图 4 中展示了这种移除的结果。需要注意的是,我们在所有场景中应用了背景偏差 ,以确保背景保持清晰。对于第一行和第二行中的小型 3D 对象,同时从场景中移除 5 个对象。由于这些场景的背景可能在其他视图中被观察到,因此这些场景中的伪影较小,甚至对于某些对象几乎不可察觉。对于第 3 行、第 4 行和第 5 行中描绘的更具挑战性的场景,移除对象后留下的空间显示出更嘈杂的背景,甚至是黑洞,这主要是由于较大的前景对象遮挡了背景。这种情况在 Horns 场景(第 3 行)中尤为明显,该场景仅包含正面视图。
对象修复
在 3D 对象移除之后,对象修复旨在修正未观测区域的伪影,确保 3D 场景内的视图一致性。首先,在移除后渲染视图,并使用 Grounding-DINO识别每个视图中的伪影区域,这些区域通过视频追踪器在视图之间进行跟踪。然后,使用预训练的 2D 修复模型 生成修复的 2D 视图。随后,通过在原始对象位置附近引入 20 万个新的高斯来调整 3DGS 参数,同时保持背景高斯不变。微调过程中,使用物体mask外的 L1 损失来最小化背景影响,并在修复mask内使用 LPIPS 损失来确保场景的自然性和一致性。在下图 5 中展示了对象修复的结果,为每个场景渲染了三个视图。对象修复后,噪声和孔洞被减少,展示了本文的方法可以有效地将前景与背景在 3D 分割中分离开来。
定量比较
本文使用 NVOS 数据集 进行定量分析,该数据集源自 LLFF 数据集。NVOS 数据集包含了 8 个面向前方的 3D 场景,每个场景提供了参考视图和目标视图的 2D 分割mask注释。本文的方法从参考视图的注释mask中采样点提示,然后将这些点提示传播到其他视图,以指导 SAM 的分割。随后,应用如 方程2 所示的二值分割方法来隔离前景 3D 高斯。接着,使用阈值 进行新视图mask渲染,以渲染目标视图的 2D mask,从而计算所有 8 个场景的平均交并比 (IoU) 和平均准确率。比较结果如表 1 所示,将我们的 FlashSplat 方法与之前基于 NeRF 的 3D 分割方法(如 NVOS、ISRF 、SGIRF、SA3D 和 3D-GS 方法 SAGA)进行基准测试。本文的方法在该数据集中表现出色,优于其他方法。
计算成本
本文对 FlashSplat 的计算效率与之前的 3DGS 分割方法进行比较,特别是 SAGA 和 Gaussian Grouping。在评估过程中,使用了 LERF 数据集 中的 Figurines 场景,并在单个 NVIDIA A6000 GPU 上进行测试。基线方法需要通过 30,000 次迭代的梯度下降优化,将 2D mask转化为与每个 3D 高斯相关的对象特征,从而导致显著的额外训练时间来优化 3D 场景。相比之下,本文的方法仅需计算集合 {Ai}e,这一过程大约需时 26 秒,使其速度大约比基线快 50 倍。对于单个 3D 对象的分割,这些基线方法需要进行网络前向传播,而 FlashSplat 通过 arg max 高效地确定最优分配,仅需 0.4 毫秒。此外,对 GPU 内存使用的分析显示,我们的峰值内存消耗仅为之前方法 SAGA的一半。
消融研究
噪声减少的效果。为了进一步阐明之前提到的 2D mask中的噪声,下图 6 的左列中提供了由 SAM 生成的 2D mask的可视化结果,涵盖了两个场景。此外,还在相应的视图中渲染了 3D 分割后的对象mask,显示了提供的 2D mask中的断裂区域已得到修复。这证明了本文的方法在生成 3D 分割时对 2D mask噪声的鲁棒性。
3D Segmentation with Fewer 2D Masks 由于本文的方法不依赖于多步骤的梯度下降优化,因此它自然支持使用较少的 2D mask进行分割。为了验证这一能力,我们考虑了包括 1/4、1/8、1/16 和 1/32 的总视图数量的 2D mask子集。随后,通过将前景 3D 高斯渲染到未见过的视图中来可视化 3D 分割结果。如图 7 所示,即使仅使用总视图的 1/8,本文的方法也能够生成相当不错的分割结果。然而,当视图数量更少时,如 1/16 和 1/32,许多 3D 高斯在提供的mask中仍然未见,导致分割结果中可能出现伪影。
结论
本文引入了一种针对 2D mask的 3D Gaussian Splatting分割的最优求解器,显著提升了将 2D 分割提升到 3D 空间的准确性和效率。通过将 3D-GS 中的 alpha 组合分解为每个高斯的总体贡献,这种求解器只需要单步优化来获得最优分配。它不仅将优化过程加快了约 50 倍,而且通过简单的背景偏差增强了对噪声的鲁棒性。此外,这种方法还扩展到场景分割,并能够在新视图上渲染mask。大量实验表明,该方法在场景分割任务中表现优越,包括对象移除和修复。我们希望这项工作能够促进未来 3D 场景的理解和操作。
参考文献
[1] FlashSplat: 2D to 3D Gaussian Splatting Segmentation Solved Optimally

公众号后台回复“数据集”获取100+深度学习各方向资源整理
极市干货

点击阅读原文进入CV社区
收获更多技术干货

