极市导读
本文介绍了一种新型的脉冲扩散模型(SDM),它结合了第三代神经网络和扩散模型的优势,在图像生成领域实现了显著的性能提升。SDM通过引入时间脉冲机制(TSM)和阈值引导策略,提高了去噪图像的质量,并在CIFAR-10数据集上的FID分数上超越了SNN基线模型多达12倍,同时节省了约60%的能耗。>>加入极市CV技术交流群,走在计算机视觉的最前沿
论文链接:https://arxiv.org/pdf/2408.16467
代码链接:https://github.com/AndyCao1125/SDM
亮点直击
本文提出了脉冲扩散模型(Spiking Diffusion Model, SDM),一种高质量的图像生成器,在基于SNN的生成模型中实现了SOTA性能。 从生物学的角度出发,本文提出了一种时间脉冲机制(Temporal-wise Spiking Mechanism, TSM),使脉冲神经元能够捕捉更多的动态信息,从而提高去噪图像的质量。 大量结果显示,SDM在CIFAR-10数据集上的FID分数上超越了SNN基线模型多达12倍,同时节省了约60%的能耗。此外,本文提出了一种阈值引导策略,以进一步提高生成性能。
近年来,脉冲神经网络(Spiking Neural Networks, SNNs)因其超低能耗和高生物可塑性相比传统人工神经网络(Artificial Neural Networks, ANNs)而受到关注。尽管SNNs具有独特的优势,但其在计算密集型的图像生成领域的应用仍在探索之中。本文提出了脉冲扩散模型(Spiking Diffusion Models, SDMs),一种创新的基于SNN的生成模型家族,能够以显著降低的能耗生成高质量样本。特别地,本文提出了一种时间脉冲机制(Temporal-wise Spiking Mechanism, TSM),使SNNs能够从生物可塑性角度捕捉更多的时间特征。此外,本文提出了一种阈值引导策略,可以在不进行额外训练的情况下将性能提高多达16.7%。本文还首次尝试使用ANN-SNN方法进行基于SNN的生成任务。大量实验结果表明,本文的方法不仅在少量脉冲时间步中表现出与其ANN对应模型相当的性能,而且在很大程度上优于之前基于SNN的生成模型。此外,本文还展示了SDM在大规模数据集(例如LSUN卧室)上的高质量生成能力。这一发展标志着SNN基生成能力的一个重要进步,为未来实现低能耗和低延迟的生成应用开辟了新的研究途径。
方法
A. 峰值前残差学习
本文首先分析了先前脉冲神经网络(SNNs)中的残差学习方法存在的局限性和概念不一致性,特别是SEW ResNet,其公式可以表示为:
其中, 表示在第 层经过批归一化(BN)和卷积操作后的输出, 表示在公式 (2) 中的脉冲神经元激活函数。这种残差结构直接继承自传统的人工神经网络(ANN)ResNet 架构。然而, 这种方法存在一个根本性的问题, 即残差块的输出范围问题。问题的核心在于脉冲神经元的输出 和 是二进制脉冲序列, 取值在集合 中。因此, 当这些序列在残差结构 中相加时, 结果的输出范围扩展到 。在这种情况下, 值 的出现是非生物学的, 代表了与合理的神经激活模式的偏离。这种溢出情况不仅削弱了模型的生物真实性, 还可能在前向传播过程中破坏信息的有效传递。
受 [61], [62] 的启发,本文在本文的脉冲UNet中采用了激活-卷积-批量归一化(Activation-Conv-BatchNorm)结构的预脉冲残差学习方法,解决了基于卷积的SNNs中梯度爆炸/消失和性能下降的双重挑战。通过预脉冲块,残差和输出通过浮点加法操作进行求和,确保在进入下一个脉冲神经元之前表示是准确的,同时避免了上述病态情况。整个预脉冲残差学习过程在一个残差块内可以表示如下:
通过预脉冲残差机制, 残差块的输出可以通过两个浮点数 和 在相同尺度上进行求和, 然后进入下一个块的脉冲神经元, 这确保了能量消耗仍然非常低。
B. 时间明智的峰值机制
首先从生物学角度重新审视了传统脉冲神经网络(SNNs)的不足, 并提出了一种新的时间脉冲机制(TSM), 通过引入时间参数来调整权重, 以捕捉时间动态。考虑在第 层的脉冲输入为 ,其中 表示小批量大小。对于每个时间步 ,神经元将通过方程(1)更新其暂时的膜电位, 其中 , 而 表示第 卷积层的权重矩阵。传统的SNNs会在进行膜电位更新时将输入的时间维度 和通道维度 融合为 , 然后通过二维卷积操作计算。这导致每个时间步的输入都由相同的权重矩阵操作。然而, 在真实的神经系统中, 皮质锥体细胞在常规网络活动中会接收到强烈的兴奋性和抑制性突触后电位。此外, 不同的觉醒状态可以改变膜电位并影响突触整合。这些研究共同表明, 每一时刻的神经元输入由于网络状态和其他因素的影响而经历了显著的波动, 而不是主要由固定的突触权重控制。
为了在时间上提供更多的动态信息, 本文提出了时间脉冲机制(TSM, 见下图3), 这保证了每一时刻的输入信息都通过与时间步 相关的时间参数 进行计算:
在下面算法1中精确描述了SDMs的整个学习过程。具体来说, 学习流程包括:(1)训练阶段和(2)微调阶段。在训练阶段, 本文首先使用预脉冲块训练SDMs, 然后在微调阶段利用TSM块对模型进行微调。本文仅使用少量迭代(如果 训练迭代次数)来微调本文的模型。值得注意的是, 由于 只是一个标量, TSM引起的额外计算成本可以忽略不计。通过计算 , 本文可以进一步优化 和 的参数, 以获得令人满意的网络。SNN-UNet和 的详细学习规则可以在附录中找到。
总而言之,TSM允许膜电位在时间域内动态更新,从而提高捕捉潜在时间依赖特征的能力。后续实验表明,TSM机制优于传统的固定更新机制。
C. SDM 中的阈值指导
如前文所述, 可以通过将得分 替换为得分网络 或缩放噪声网络 来实现采样, 同时按照方程(5)离散化反向SDE。由于网络估计的不准确性, 本文有 在大多数情况下。因此, 为了获得更好的采样结果, 本文可以离散化以下修正后的反向SDE:
这里, 表示得分网络或缩放噪声网络, 而 表示原始反向SDE的修正项。省略修正项 会导致离散化误差减少, 并提高采样性能。然而, 由于 的难以计算, 实际计算存在挑战。
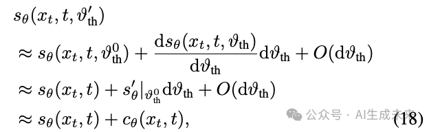
鉴于存在估计误差, 方程(17)促使本文研究是否可以在无需额外训练的情况下, 通过计算 来提升采样性能。SNN 中的一个关键参数是脉冲阈值, 记为 , 它直接影响 SNN 的输出。例如, 较小的阈值会鼓励更多的脉冲发生, 而较大的阈值会抑制这些脉冲。在训练过程之后, 本文可以在 SNN 中调整阈值, 以估计修正项 , 具体如下:
在训练阶段使用的阈值记为 , 而在推理阶段调整后的阈值记为 。通过泰勒展开可以得到第一个方程。方程 (18) 表明, 当导数项与修正项相关时, 调整阈值可以提升最终的采样结果。本文将阈值降低的情况称为抑制性引导, 反之称为兴奋性引导。
理论能耗计算
在本节中,本文描述了计算脉冲UNet架构理论能耗的方法。该计算包括两个主要步骤:确定架构中每个模块的突触操作(SOPs),然后基于这些操作估算整体能耗。脉冲UNet每个模块的突触操作可以如下量化:
其中, 表示脉冲 UNet中的模块编号, 是该模块输入脉冲序列的发放率, 是脉冲神经元的时间步长。 指的是第 个模块的浮点运算次数, 即乘加(MAC)操作的次数。而SOPs 是基于脉冲的累加(AC)操作的次数。
为了估算脉冲扩散模型的理论能耗, 本文假设MAC和AC操作是在 45 nm 硬件上实现的, 其能耗分别为 和 。根据 [65], [66], 脉冲扩散模型的理论能耗计算如下:
其中, 和 分别表示卷积层(Conv)和全连接层(FC)的总层数。
和 分别是每次 MAC 和 AC 操作的能耗。FLOPSNNConv 指的是第一个卷积层的浮点运算次数, SOPSNNConv 和 SOPSNNFC 分别是第 个卷积层和第 个全连接层的突触操作次数。
通过 ANN-SNN 转换实施尖峰扩散模型
在本文中,本文首次利用ANN-SNN方法成功实现了SNN扩散。本文采用了Fast-SNN方法来构建量化ANN与SNN之间的转换。由于这一实现并不是本文论文的主要贡献,本文将简要描述ANN-SNN的原理,更多细节可以在[67]中找到。
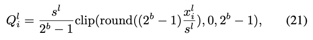
从ANN转换为SNN的核心思想是将量化ANN的整数激活映射为脉冲计数, 即将 转换为脉冲计数 , 即将 转换为 。构建具有整数激活的量化 ANN自然等同于使用输出均匀分布值的量化函数来压缩激活。这种函数将ANN中具有ReLU激活函数的神经元 i 在第1层的全精度激活 进行空间离散化, 公式如下:
其中, 表示空间量化值, 表示位数(精度), 状态数为 表示四舍五入操作符, 表示剪切阈值, 决定输入 的剪切范围, 是一个剪切操作符, 将 限制在 范围内。
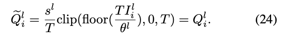
在SNN中, 脉冲积分发放 (IF) 神经元本质上将膜电位 量化为一个由发放率 表示的量化值
其中, 表示基于脉冲的量化值, floor 表示向下取整操作符。假设膜电位的值总是满足为输入电流值的 倍: 。将公式 (22) 与公式 (21) 进行比较, 本文令 , 。由于向下取整操作符可以转换为四舍五入操作符:
通过将下一层的权重缩放到 ,本文将公式 (22) 重写为以下公式:
因此, 通过建立离散ReLU值与脉冲发放率 (见公式24) 的等价关系, 本文在量化的人工神经网络(ANN)与脉冲神经网络(SNN)之间架起了一座桥梁。需要注意的是, 的假设仅在直接接收电流作为输入的第一个脉冲层中成立。然而, 随着网络的加深, 膜电位与输入电流之间的相互作用变得越来越复杂, 偏离了简单的线性关系。这种复杂性是ANN-SNN转换过程中误差逐渐积累的根本原因之一。
实验
A. 实验设置
数据集和评估指标
为了展示所提算法的有效性和效率,本文在以下数据集上进行实验:32×32 MNIST、32×32 FashionMNIST 、32×32 CIFAR-10和 64×64 CelebA。定性结果根据Frechet Inception Distance(FID,越低越好)和Inception Score(IS,越高越好)进行比较。FID分数是通过比较50,000张生成图像与数据集的相应参考统计数据来计算的。
实现细节
对于直接训练方法, 本文的Spiking UNet继承了标准的UNet架构, 且不使用注意力块。在超参数设置方面, 本文将公式 (1) 中的衰减率 设置为 1.0 , 脉冲阈值 设置为 1.0 。SNN 的仿真时间步长为 。学习率设置为 , 批量大小为 128 , 并且本文在没有使用指数移动平均 (EMA) 的情况下训练模型。ANN UNet同样不使用注意力块, 其训练过程与SNN-UNet—致。对于ANN-SNN方法, 本文采用与Fast-SNN相同的实现, 但不使用signed-IF神经元, 因为该神经元在扩散任务中起负面作用。更多的超参数设置细节可以在附录中找到。
B. 与最先进的方法比较
在下表 I 中,本文展示了本文的脉冲扩散模型(SDMs)与当前最先进的生成模型在无条件生成任务中的比较分析。本文还包括了ANN的结果作为参考。定性结果展示在下图4中。本文的结果表明,SDMs在所有数据集上均显著优于SNN基线,即使在较少的脉冲仿真步数(4/8)下也是如此。特别是,SDDPM在CelebA数据集上相比FSVAE和SGAD(两者均为16个时间步)分别有4倍和6倍的FID提升,而在CIFAR-10数据集上则有11倍和12倍的提升。正如预期的那样,随着时间步的增加,样本质量也会提高。本文还注意到,结合TSM后,性能进一步提升,而模型参数仅有微小增加(2e-4 M)。SDMs还可以处理快速采样求解器,并在较少的步骤中获得更高的采样质量(见下表VI)。重要的是,SDMs在使用相同的UNet架构下获得了与ANN基线相当的质量,甚至超过了一些ANN模型(例如,15.45 vs. 19.04)。这一结果突显了本文模型中使用的SNN的卓越表达能力。
C. 与 ANN-SNN 方法的比较
为了验证SDM在ANN-SNN方法下的生成能力,本文在32×32 CIFAR-10和64×64 FFHQ数据集上进行了实验。如下表II所示,ANN-SNN方法在CIFAR-10上表现出色(即51.18 FID),并且在微调策略后显著提高了图像质量(即29.53 FID)。然而,ANN-SNN的结果与直接训练的结果之间仍存在差距。尽管ANN-SNN方法在基于分类的任务中表现出与ANN相当的性能,但在生成任务方面仍缺乏深入的研究。ANN-SNN方法的定性结果展示在下图7中。
D. 时间性尖峰机制的有效性
为了更好地可视化TSM模块带来的性能提升,本文提供了使用SDDIM生成的CIFAR-10图像结果,分别展示了有和没有TSM模块的情况。这里本文使用DDIM而不是DDPM进行比较,因为DDIM基于常微分方程(ODEs)操作,确保了确定性和一致的生成结果。相比之下,DDPM依赖于随机微分方程(SDEs),在生成过程中引入了随机性,导致输出图像的可变性,从而使直接比较变得具有挑战性。
下图5中的结果显示,带有TSM模块的生成图像质量有显著提高。与没有TSM模块的图像相比,这些图像的轮廓更加清晰,背景更为清晰,纹理细节更丰富,从而证明了TSM的有效性。
E. 阈值指导的有效性
在前文中,本文提出了一种无需训练的方法:阈值引导(Threshold Guidance,TG),旨在通过在推理阶段仅略微调整脉冲神经元的阈值水平来提高生成图像的质量。如下表III所示,通过阈值调整进行抑制性引导显著提升了图像质量,在两个关键指标上都有所改善:FID分数从19.73下降到19.20,阈值减少0.3%;IS分数从7.44上升到7.55,阈值减少0.2%。相反,在某些条件下,兴奋性引导同样可以提高采样质量。这些发现强调了阈值引导作为一种在训练后显著提高模型效果的方法的潜力,而无需额外的训练资源。本文在附录中提供了更多关于阈值引导的解释。
F. TSM方法分析
为了评估前文中提出的时间脉冲机制(Temporal-wise Spiking Mechanism,TSM)的效果,本文计算了所有层的时间参数的平均值。如图6所示,每个实例都展示了不同的TSM值 ,这强调了每个时间步的重要性是独特的。本文注意到,随着时间步数的增加, 的变化趋势呈现出递增的模式,这表明在传输过程中,后期阶段传递的信息具有更大的重要性。因此,TSM值可以作为时间调整因子,使SNN能够理解和融合时间动态,从而提高生成图像的质量。
G. 计算成本评估
为了进一步强调本文SDM的低能耗特性,本文对比分析了所提出的SDDPM与其对应的ANN模型在FID和能耗方面的表现。如表IV所示,当时间步长设定为4时,SDDPM的能耗显著降低,仅为其ANN对应模型的37.5%。此外,SDDPM的FID也提高了0.47,表明本文的模型在有效减少能耗的同时保持了竞争力的性能。当本文将分析扩展到不同的时间步长增量时,可以观察到一个明显的模式:随着时间步长的增加,FID分数有所改善,但代价是能耗的增加。这一观察结果表明,随着时间步长的增加,FID改善与能耗之间存在权衡。
H. 消融研究
不同组件对SDM的影响
本文首先在CIFAR-10数据集上进行消融研究,以探讨时间脉冲模块(TSM)和阈值引导(TG)的影响。如下表V所示,本文发现TSM和TG都对图像质量的提升有贡献。通过同时使用TSM和TG,本文获得了最佳的FID结果,相较于原始的SDDIM提升了18.4%。
SDM在不同求解器上的有效性
在下表VI中,本文验证了SDM在各种扩散求解器上的可行性和有效性。SDDIM在采样步骤上表现出更稳定的性能,而Analytic-SDPM展示了卓越的能力,达到了新的最先进性能,超越了ANN-DDIM的结果。总之,本文的SDM证明了其在处理任何扩散求解器方面的高效性,并且本文相信利用本文的SDM还有很大的潜力进一步提升FID性能。
讨论 & 结论
本研究提出了一种新的基于SNN的扩散模型家族,称为脉冲扩散模型(SDMs),它结合了SNN的能效优势和卓越的生成性能。SDMs在SNN基线中以更少的脉冲时间步长达到了最先进的结果,并且与ANNs相比,能耗更低。SDMs主要受益于两个方面:(1) 时间脉冲机制(TSM),它使去噪网络SNN-UNet的突触电流在每个时间步长中能够收集更多的动态信息,而不是像传统SNN那样由固定的突触权重控制;(2) 无需训练的阈值引导(TG),通过调整脉冲阈值进一步提高采样质量。
然而,本文工作的一个限制是SNN-UNet的时间步长相对较小,未能充分挖掘SDMs的全部潜力。此外,还应考虑在更高分辨率的数据集(如ImageNet)上进行测试。在未来的研究中,本文计划探索SDMs在生成领域的进一步应用,例如文本-图像生成,并尝试将其与先进的语言模型结合,以实现更有趣的任务。
参考文献
[1] Spiking Diffusion Models

公众号后台回复“数据集”获取100+深度学习各方向资源整理
极市干货

点击阅读原文进入CV社区
收获更多技术干货

