极市导读
本文详细介绍了变分自编码器(VAE)及其衍生模型VQ-VAE和RQ-VAE,探讨了它们在图像生成和压缩中的原理和应用。文章还讨论了VAE的ELBO目标、KL散度、以及如何通过量化技术和残差量化提高模型性能和稳定性。 >>加入极市CV技术交流群,走在计算机视觉的最前沿
VAE:
VAE (variational autoencoder, 变分自编码器) 是一种强大的生成模型, Encoder 把数据编码到隐空间 , 其学习条件概率 , Decoder把数据从隐空间中重建回来 ,其学习另一个条件概率 。VAE 额外有一个限制条件是让 满足 Gaussian分布。这样做的好处就是训练结束后可以扔掉 Encoder, 直接从这个先验分布 上随便采样 , 然后通过 Decoder 就能生成一个 。
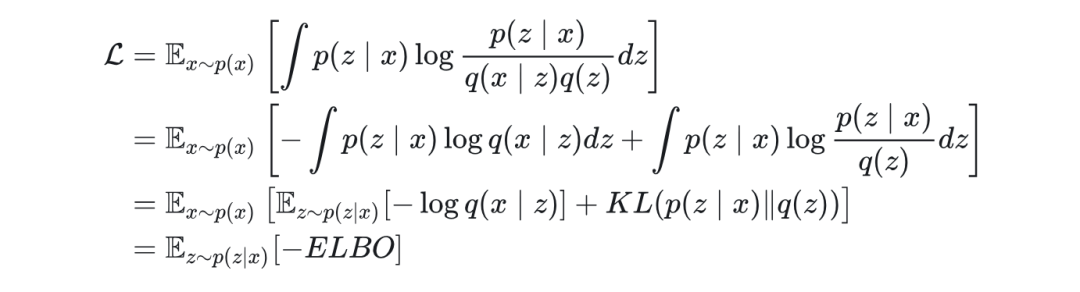
VAE 最主要的是这个 ELBO :
ELBO,即evidence low bound,evidence指的就是 ,而 ELBO 表示 evidence 的最小期望。我们要让这个 lower bound 尽可能变大,得到的模型就会更可能产生我们期望看到的 。
为解释 ELBO 是怎么来的,我们一步一步来看。
K-L散度:
我们首先讲解 KL 散度,为衡量模型生成的分布与原始分布的相似度,常用的便是 K–L( Kullback–Leibler )散度。定义如下,对于两个具有概率密度函数 和 的分布:
K–L 散度具有两个重要性质:
-
不对称性:显然,K–L 散度对于 和 来说是不对称的。
-
Gibbs 不等式:它总是【非负】的,并且当且仅当 和 在每一处都相同时才为 0。
为了理解这一点,我们可以将 KL 散度分解为两部分:
第二项带有负号,其对应的是 的信息熵;第一项也带有负号,代表 和 之间的交叉熵。第一项始终不大于每个给定符号下的第二项,这便是 Gibbs 不等式;而 Gibbs 不等式的证明可以使用 Jensen 不等式:
若 是凸函数,则有:
设 由于 所以其为凸函数,以及
那么:
由
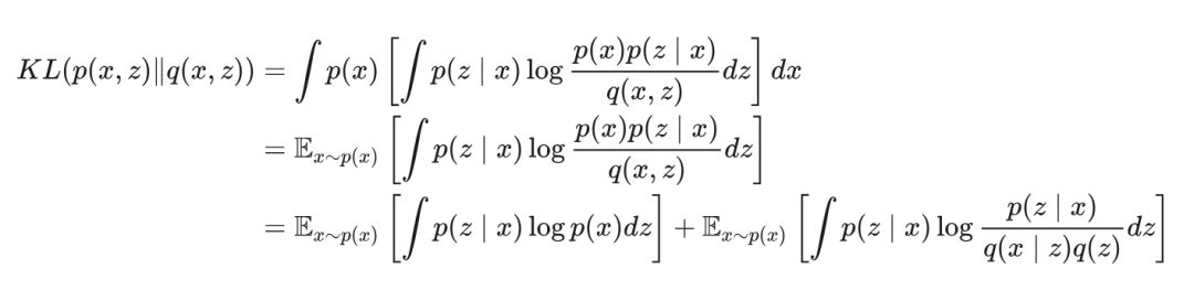
VAE 理论框架(联合概率建模角度):
VAE 框架可以从多个角度建立,例如概率分布视角、贝叶斯视角 以及 联合概率视角,这里我选用联合概率这一简单的方法来阐述:
假设原始数据样本为 ,分布为 ,我们希望借助隐变量 (标准正态分布)来建模 ,因此我们设立 来逼近 :
是标准正态分布, 是我们的生成式模型;此外还需明确的是 是 的原始分布, 是encoder生成的 ,训练时要让其逼近正态分布。
我们直接采用联合建模的角度,原来我们的目的是让 来逼近 ,我们转变下思路变为让 与 越相近越好,注意除了 中也有参数:
KL 散度便是我们的终极目标,我们将从这个 KL 散度推导出最终的 ELBO:
这里被我们拆开为两项,第一项:
无论 是什么,它一定是确定的,故第一项是常数
第二项:
因此我们很快便得到了最终的 ELBO,注意多了个负号。
ELBO:
ELBO 有两项,分别为: 以及 - ,这两部分可以理解为【重构误差项】 以及【KL散度项】:
重构误差项:这部分度量了模型生成数据的质量,即解码器 使用从编码器 采样的 来重构输入 的准确性,这是负对数似然,表明给定潜在变量 后,重构原来的 的概率有多大。目标是最大化这部分期望值,即希望模型能生成与输入 尽可能接近的数据。
KL散度项:- 是后验分布 和先验分布 之间的负K–L 散度,以此衡量编码器的输出分布与标准正态分布的差异。目标是最小化KL散度,确保潜在变量 z 尽可能接近正态分布。
至此我们推导出了VAE的损失函数,了解了ELBO的原理。
VQ-VAE:
paper:[Neural Discrete Representation Learning]
https://arxiv.org/abs/1711.00937
背景:
VAE中的隐变量 z 的每一维都是一个连续值, 而VQ-VAE 中 的每一维都是离散的整数,这些整数便可 index 到已训练好的 codebook(码本,本质上就是一批 embedding)。这样做符合自然界模态的特点,例如语言本质上就是由很多字符组成,每个字符都可以是用数字索引到字符库里的某个字符,NLP中可以理解为token_id索引到vocab里的某个token,所以VQ-VAE可以理解为 【图像tokenization】 的过程,事实上这种思想可以借鉴引用到很多领域,例如广告推荐里将广告用一串索引表示。
文章还指出,VAE 存在后验坍塌(Posterior Collapse) 的问题,这一般是由散度消失(KL-Vanishinig)导致的,因此该问题也称为KL-vanishing。简单来说就是解码器太强,模型的 潜在空间(latent space)无效化,即编码器 退化为与先验 相同的分布,ELBO里的KL散度项为0,而忽略了输入数据的信息。
方法:
将隐变量 离散化的关键操作是VQ, 即 vector quatization。
-
图像 输入至 encoder 中得到 -
codebook 是一个K*D 的 table(紫色方块): -
将 中每一维都映射为 codebook 中K个embedding之一 -
全部替换后图中绿色的 变为紫色的 ,然后进行重构
从 到 的变化可以理解为聚类,如图中右子图所示,由于变化后的embedding位于codebook内,当然就可以只用整数来表示。
训练:
ELBO 损失项:
我们先看原有的 ELBO ,这里p和q互换以与图示对应,q代表encoder,p代表decoder;
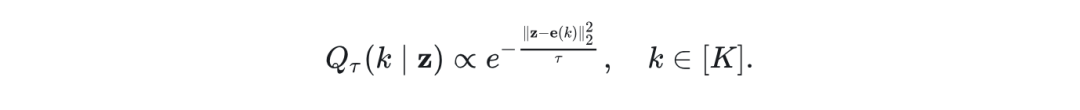
这里后验分布 里都是one-hot向量,如下所示:
而非之前VAE里的正态分布,由此 预估的每一维都是codebook里每个embedding的概率;我们假设采样的先验分布 是均匀分布,则每一维对于某个embedding选取概率有 ,则有:
第一项表示one-hot中为1对应的那一维对KL散度的贡献,第二项代表其他维的贡献。
因此 ELBO 中第二项可以忽略,只有重构损失项。
那我们再看第一项损失,可以简单写为:
然而 包含了argmin,这个操作是没有梯度的,无法更新 encoder;VQ-VAE 使用了一个很精巧也很直接的方法,称为 Straight-Through Estimator,称为“直通估计(https://papers.cool/arxiv/1308.3432)”。其思想是在前向传播的时候可以任意变量(可以不可导),而反向传播的时候,直接 跳过 这个不可导的操作。对应图1中红色箭头,表明跳过 的操作。
根据这个思想,我们设计的目标函数是
sg 代表阻止梯度回传
codebook 损失项:
为使得 与 尽量接近,设置损失: ;
这里我们理解下: 是编码器得到的, 是 离得最近的embedding,两者都有可训练的参数;因此在实际训练时,codebook相对自由宽松,没什么限制条件,而编码器生成的 要保证重建效果,我们更希望 主要靠近 ,并且因为 的梯度等于 以及 梯度之和,故可拆解为:
第一项可以理解为 不变, 主要靠近 ,第二项相反,由此我们可以给第二项设置一个相对较小的权重,来达到更希望 主要靠近 的效果。
整体损失项:
文中指出,实验发现 设置[0,1]均具有鲁棒性,故使用 ,还可以使用滑动平均的方式更新,下面阐述。
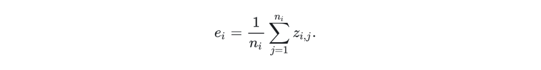
滑动平均方法:
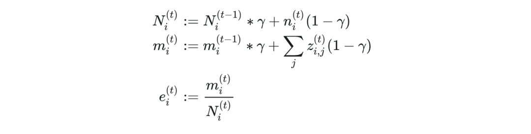
具体来说使用 指数移动平均(EMA)来更新 codebook :
设 为编码器输出中最接近词典项 的一组 个元素,那么可以将损失写为:
理论上可以求得 的最优值,可以通过封闭形式的解求得,即该集合中所有元素的平均值:
这种更新方法通常用于 K-Means 等算法。然而,当处理小批量(minibatches)时,无法直接使用上述更新方式。因此,我们可以采用指数移动平均,作为该更新的在线版本:
其中, 的取值范围在 0 到 1 之间,论文发现 0.99 是一个不错的选择。
应用:
按照之前 VAE 的逻辑,使用时去掉encoder,在正态分布里采样即可生成图片;那么VQ-VAE呢?其假设先验分布为均匀分布,然而并没有直接在均匀分布里采样,而是使用 PixelCNN 来学习编码的分布(这里非常奇怪,在issue一节讨论),即学习 。
简单介绍下,PixelCNN 是一种采用自回归方式逐像素从左上角生成的图像生成模型,其中使用了mask conv操作,可以类比 GPT,使用 mask self-attention 操作。
所以最后我们通过 PixelCNN 来随机生成 ,然后再用VQ-VAE的 Decoder 来生成最后的图片。
Issue:
VQ-VAE 到底是不是 VAE ?
VAE 的核心是encoder学习一个先验分布,最后只需要从这个先验分布里采样就可以用来生成,然而VQ-VAE事实上并不行,其假设先验分布为均匀分布,但并不能从均匀分布里采样解码得到真实图像,这就说明这就不过只是一个AE 类模型。
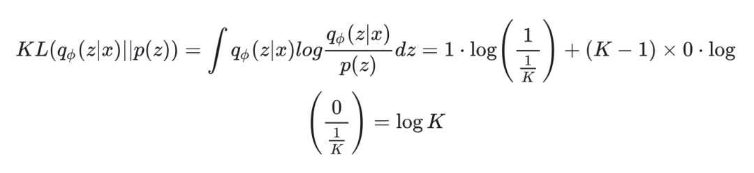
那么问题出在哪了?回顾 VQ-VAE 的设计,发现并没有类似 VAE 里的 KL散度loss 来迫使先验分布逼近均匀分布。你可能会问假设分布是均匀分布,KL散度是一个常数呀,上面不是还推导了?那么我们再回顾一下:
KL散度是常数,那么这一项就不会优化,也就不存在要让 更逼近 的说法,也就是 不会被更新,其生成的分布根本不可控。
那么继续深究,这一项为何会是常数?原因就在于 始终是一个one-hot分布,无论怎么优化都是如此,而one-hot分布和均匀分布的 KL散度 始终是 logK,因此 ELBO里 的这一项毫无意义。
其实本质上VQ-VAE 做的是【图像 tokenization】的工作,生成模型部分交给自回归模型 PixelCNN 去负责了。
此外:苏神在 博客 评论里还指出 VQ-VAE里边从均匀分布采样离散的code直接传入decoder,生成结果也不至于差得完全不可看,还是勉强能看的,比纯AE要好点,但要保证质量,还是得 pixelcnn。
VQ-VAE 的核心贡献?
核心贡献不在于其提出了一种新的 VAE 架构,而在于提供了一个序列压缩技术。正如上所说,其本质是一个利用codebook 做图像 tokenization 的工作,然而这种 codebook 的思想不仅可以应用于图像,音频、视频甚至短视频、广告都是可以的,所以我们才看到VQ-VAE的思想应用于各个领域,这才是VQ-VAE的魅力所在。
VQ-VAE-2:
论文:https://arxiv.org/pdf/1906.00446
主要变化就是把 VQ-VAE 的 encoder 和 decoder 都进行了分层, bottom层对local feature进行建模,top层采取全局自注意力机制。
RQ-VAE:
paper:https://arxiv.org/pdf/2203.01941
背景:
VQ-VAE 的序列长度较长,需要大量的codebook,这势必会导致_codebook collapse(码本摊缩)_问题,使得VQ-VAE的训练很不稳定;而 RQ-VAE 则采取一种 _residual quantization(残差量化)_的新方法,通过D轮迭代,将feature map表示为D个堆叠的离散编码,可以进一步减小feature map(可以理解为经过encoder后的表示)的spatial resolution,例如从原始图像的256256变为88。这样 进一步增加下采样因子 减少分辨率,使得 AR 模型能够减少计算成本、提高图像生成速度,并更好地学习codebook中各向量之间的长依赖关系。
方法:
RQ v.s. VQ:
VQ:
假设codebook表示为 ,对于向量 ,其映射为近邻向量的操作表示为:
给定图片输入为 ,提取的 feature map 为:,通过映射后得到的code map为: ,其中 是feature map中(h,w)位置上的向量。
假设 codebook 大小为 K,那么整个feature map为 个 bit,根据_rate-distortion theory(率失真理论)_,H和W每缩小一半,K都要增加到 ,因此说VQ-VAE需要大量的codebook。
RQ:
在RQ里,定义新的映射为近邻向量的操作:
可以看到并非之前单一的数字,而是一个元组,那么每一位的k如何选择?首先初始化残差 \mathbf{r}_0=\mathbf{z} ,然后按照如下方法计算:
可以这么理解,我要模拟 ,但是我模拟的 肯定和 有差距,我用 表示出来这两者的差,然后我继续模拟 ,但是我模拟的 肯定又和 有差距,我用 表示出来...... 因此每个 逐步相加,理论上和要模拟的 越来越逼近。
可以看出VQ将空间分为K个簇,而RQ将空间分为 个簇,来实现更精确的量化。
共享codebook机制:
虽然我们可以为每一层深度 d 分别构建一个码本,但在每个量化深度上使用的是单个共享码本。共享码本在构建 RQ 近似向量 z 时有两个优势:
-
使用单独的码本需要广泛的超参数搜索,以确定每一层的码本大小,而共享码本只需确定总码本大小 K。
-
共享码本使得所有的 embedding 在每一层量化时都可用。因此,每一层都可以使用相同的 embedding,以最大化其效用。
RQ-Transformer:
可以看出编码得到的 feature map 输入给 Transformer 来作为自回归任务的输入,整个 RQ-Transformer 分为Spatial Transformer和 Depth Transformer 两部分。
输入处理:
RQ-VAE 提取的代码映射 会按照 栅格扫描顺序(raster-scan order)重新排列为二维数组 ,其中 。每一行 包含 D 个代码:
自回归建模总公式为:
建模动机:
直接将 \mathbf{S} 展开为长度 TD 的序列并输入传统 Transformer 的方法存在不足,无法利用导 RQ-VAE 降低后的长度 T的优势。此外,这种直接展开会增加计算成本。由此设计为 Spatial Transformer和 Depth Transformer 两部分。
空间 Transformer(Spatial Transformer):
首先空间 Transformer的输入为每个位置上的 feature(各个残差项之和),并加上位置编码(PE),如下:
整个 Spatial Transformer 表示为:
深度 Transformer (Depth Transformer):
深度 Transformer 的任务是在给定位置 t 自回归地预测 D 个残差项code,即
在深度 d 和位置 t 时,Transformer 的输入 被定义为之前深度的嵌入之和:
每个深度的预测基于之前所有深度的估计,使得每一层的估计更加精细。
是深度 d 的位置嵌入,且在所有位置 t 上共享。
整个 Depth Transformer 表示为:
训练:
RQ-VAE 的训练损失函数 包含两部分:
重构损失(Reconstruction Loss):
这个损失度量的是输入 和重构结果 之间的欧氏距离,用于确保重构后的样本尽可能接近原始输入。这里同样会采用 Straight-Through Estimator。
承诺损失(Commitment Loss):
(sg[·] 是 stop-gradient 操作符,用于在反向传播时阻止梯度的传递),该损失的作用是最小化每个维度 d 上的量化误差,从而鼓励编码器的输出 更接近量化后的值 。
论文内提及codebook会采用聚类特征的指数滑动平均来更新,从而提升模型的训练效果和稳定性。
RQ-VAE 同时还采用了对抗训练(Adversarial Training )以提高重构图像的感知质量。采用了基于 patch 的对抗损失和感知损失。
负对数似然损失 (Negative Log-Likelihood, NLL) :
用于训练 RQ-Transformer:
Trick:
曝光偏差 (Exposure Bias):
曝光偏差是自回归(AR)模型中的常见问题。在训练和推断阶段,由于预测错误的累积,模型性能会下降。尤其是在 RQ-Transformer 中,随着深度 D 的增加,量化特征向量的估计变得更加困难,误差也会累积。
论文采用了软标签 (Soft Labeling) 和 随机采样 (Stochastic Sampling)策略:
软标签(Soft Labeling):
基于 RQ-VAE 中代码嵌入之间的几何关系,定义了一个温度参数 控制的类别分布:
当 时,分布 会收缩为一个 one-hot 分布:
软标签的作用:
利用嵌入之间的几何距离,为目标代码的监督引入了软标签分布; 在位置 和深度 上,假设特征向量为 ,并令残差向量为 。负对数似然(NLL)损失使用了该软分布作为监督。
区别于 one-hot 标签,该监督机制使用了软化后的分布 。
随机采样(Stochastic Sampling):
在原始的 RQ-VAE 中,代码选择是确定性的。然而,这里通过从软分布 中进行采样来选择代码 。当 时,随机采样等价于原始确定性代码选择。
优势:随机采样为特征映射提供了不同的代码组合,从而缓解了训练和推断中的不一致性。
FSQ:
paper:Finite Scalar Quantization: VQ-VAE Made Simple
https://arxiv.org/abs/2309.15505
方法:
论文提出使用 FSQ(Finite Scalar Quantization) 来替代 VQ-VAE中的“VQ”,其离散化思路非常简单,就是“四舍五入”。如上图所示,假设最后要把x映射为d维(图中d=3),我们把z的每一维用L个value表示(图中L=3),然后将z的每一维的L个value四舍五入(图中则变化为正方体的边线所在顶点处),由此便离散化了。
还有个区别图式中便是VQ里量化后的 会用一个单独的数字代替,表示codebook里的索引;而FSQ里会用L个数字组成的元组(例如(-1,0,1))来替代,也表示索引,整体codebook数量为L^d,图里为9。
方案对比如下:
具体来说给定一个 d -维表示 ,我们的目标是将 量化为有限的码字集。为此,我们首先应用一个边界函数 ,然后将结果四舍五入为整数。我们选择 使得 取得 个唯一值之一(例如, ),上图的右子图可视化了这个转化,由于tanh取值范围为(-1,1),由此z的范围是 ( ) ,故四舍五入后便是L个取值,图中L=5,则有-2,-1,0,1,2这5个取值。
由此,我们得到 ,其中 便是码本,且 。
为了在整个四舍五入操作中传播梯度,使用了前述 STE(直通估计) 技巧 ,通过以下方式轻松实现“停止梯度(sg)”操作:
实验:
从图中可以看到,编码表大小2^10是一个分界点,在2^10左右时,FSQ与VQ的效果接近;超过2^10时,FSQ占优,反之小于2^10时,VQ占优。文中建议 ,并且d是个位数,相比之下VQ-VAE中d是三位数。
引用:
Elijha:VQ-VAE解读(https://zhuanlan.zhihu.com/p/91434658)
Variational Autoencoders(https://amaires.github.io/VAE/)
变分自编码器(二):从贝叶斯观点出发 - 科学空间|Scientific Spaces(https://spaces.ac.cn/archives/5343)
VQ-VAE的简明介绍:量子化自编码器 - 科学空间|Scientific Spaces(https://spaces.ac.cn/archives/6760)
简单得令人尴尬的FSQ:“四舍五入”超越了VQ-VAE - 科学空间|Scientific Spaces(https://www.spaces.ac.cn/archives/9826)

公众号后台回复“数据集”获取100+深度学习各方向资源整理
极市干货

点击阅读原文进入CV社区
收获更多技术干货

