极市导读
该工作引入Q变分训练, 打破了扩散模型与在线强化学习结合的瓶颈,更好地利用了扩散模型强大的多模生成能力和探索性,极大提高了强化学习算法的样本效率和最终表现。 >>加入极市CV技术交流群,走在计算机视觉的最前沿

Arxiv地址:https://arxiv.org/pdf/2405.16173
项目主页:https://dingsht.tech/qvpo-webpage/
代码链接:https://github.com/wadx2019/qvpo
本文介绍上科大YesAI Lab 发表在NeurIPS 2024关于在线强化学习的工作《Diffusion-based Reinforcement Learning via Q-weighted Variational Policy Optimization》。该工作引入Q变分训练, 打破了扩散模型与在线强化学习结合的瓶颈,更好地利用了扩散模型强大的多模生成能力和探索性,极大提高了强化学习算法的样本效率和最终表现。该工作上海科技大学2021级研究生丁枢桐为第一作者,由石野教授指导完成。
研究背景:
扩散模型因其强大的表达能力和多模态性而在强化学习领域中引起了广泛关注。实践证明,利用扩散策略可以显著提高强化学习算法在连续控制任务中的性能,克服单模态策略(如高斯策略)的局限性,以此来为智能体提供更强的探索能力。但是,现有使用扩散策略的研究主要集中在离线强化学习和模仿学习领域,而将扩散策略扩展到在线强化学习领域仍存在几个问题:
-
如果使用扩散模型损失训练,应该如何拿到好的动作样本进行策略提高? -
如果将扩散模型当做一个黑盒模型,直接对生成的动作做确定性策略梯度,如何避免过长的反向传播链以及训练的不稳定性?
为了解决这些,研究者提出了一种基于扩散模型的在线强化学习算法,称为Q加权变分策略优化。具体来说,研究者引入了与强化学习策略目标等价的Q加权变分损失。此外,为了进一步提高扩散策略的探索能力,研究者设计了一个专用于扩散模型的熵正则化项。研究者还开发了一种高效的行为策略,通过减少在线交互期间扩散策略的方差来提高样本效率。
Q加权变分损失:
如上文所说,在线强化学习中优化扩散策略并非易事,这主要有两个原因。一方面,如果研究者将确定性策略梯度直接应用于扩散策略(如 Diffusion-QL [1]),则通过扩散模型的去噪过程的反向传播链会变得非常长。这会导致训练期间计算成本高且不稳定,严重限制了在线强化学习中扩散策略的性能。另一方面,直接使用变分界限目标来训练扩散策略时,需要来自最优策略的动作样本。然而,这些优秀的动作样本通常在在线强化学习中不可得到。
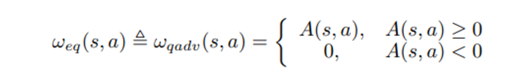
在此背景下,研究者重新审视了扩散模型的变分下界目标和策略梯度目标。研究者发现通过为扩散模型的变分下降目标添加对应的Q值作为权重,在这些权重都大于0的情况下,它会成为策略梯度目标的紧下限。研究者将其成为Q-weighted变分下界损失
尽管研究者现在可以使用该损失来优化扩散策略,仍有两个问题需要解决。
-
存在负的Q值。在现实世界的决策任务中,很难确保返回的奖励始终为非负数,这意味着 Q 值对于某些状态动作对可能为负。因此,要在实际任务中应用QVPO,研究者必须解决Q值对于某些状态和动作为负的情况。 -
如何获得高质量的训练样本。根据上述目标,实现显着的策略改进需要获得某些具有高Q值的稀有状态动作样本。考虑到在线强化学习和环境有限的交互次数,这一点颇具挑战性。
针对问题1,研究者将原始的Q值权重改成了A值权重,并对负的A值权重进行截断处理,从而避免了权重为负的问题。
针对问题2,研究者使用当前的扩散策略针对同一个状态生成大量动作样本,并从中根据Q值选取一个最好的作为训练样本进行策略提高。
扩散熵正则:
尽管扩散策略可以在在线强化学习中通过Q加权VLO损失获得较好的表现,但其强大的探索能力实际尚未得到充分利用。如Diffusion-QL [1]中所述,扩散模型的策略表达能力随着扩散步骤的减少而降低。在实验中,研究者发现,当扩散步骤的数量减少时,不仅策略表达能力下降,而且扩散模型的探索能力也会降低。然而,限制扩散步骤的数量是至关重要的,以避免在实际应用中产生过多的训练和评估成本。因此,研究如何在有限数量的扩散步骤下增强扩散模型的探索能力是必要的。
在这种情况下,在策略损失中添加额外的熵正则化项是一个很好的解决方案,因为它已在离散动作空间中的分类策略和连续动作空间中的高斯策略中得到验证。然而,由于无法获得动作样本的对数似然,估计扩散策略的熵并非易事。另一方面,最大化策略的熵在某种意义上可以看作是缩小策略与最大熵分布(即均匀分布)之间的距离。因此,可以使用来自均匀分布的训练样本来增加扩散模型的熵。基于这个想法,研究者提出了一个用于扩散策略的熵正则化项
有效的行为策略:
尽管扩散模型允许在线强化学习寻求更好的策略,但它也引入了较大的策略方差。这导致行为策略与环境的在线交互效率较为低下。为了解决这个问题,研究者提出了一种通过动作选择来降低行为策略的方差,从而得到更高的样本效率
最后,QVPO算法的整体流程为
实验证明,QVPO算法充分利用了扩散策略的探索能力和多模态性,防止强化学习策略收敛到次优解。下图为QVPO与其他强化学习算法在Mujoco机器人任务上的表现对比
在Humanoid-v3任务上,qvpo和sac收敛后的可视化:
QVPO:

SAC:


公众号后台回复“数据集”获取100+深度学习各方向资源整理
极市干货

点击阅读原文进入CV社区
收获更多技术干货

