大数跨境
0
0

超越YOLOv10/11、RT-DETRv2/3!中科大D-FINE重新定义边界框回归任务

超越YOLOv10/11、RT-DETRv2/3!中科大D-FINE重新定义边界框回归任务 极市平台
2024-10-29
2
↑ 点击蓝字 关注极市平台
作者丨机器之心
来源丨机器之心
编辑丨极市平台

极市导读

 

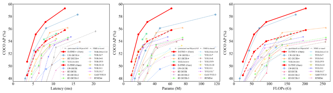
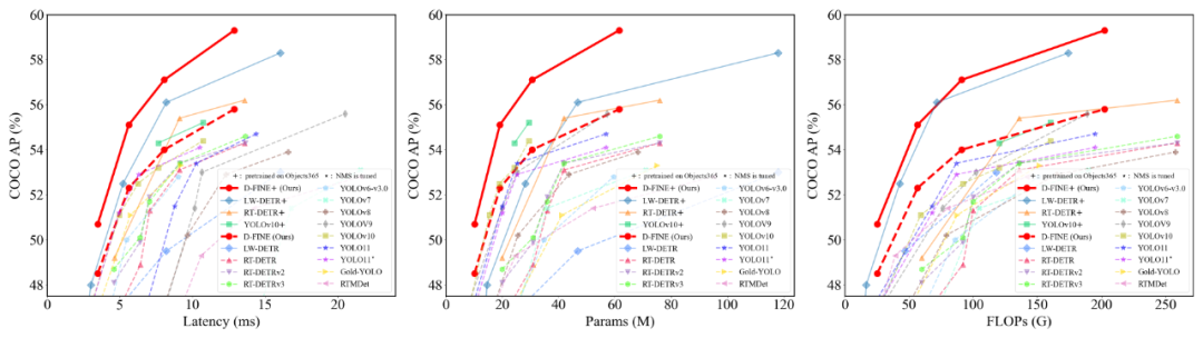
D-FINE 在 COCO 数据集上以 78 FPS 的速度取得了 59.3% 的平均精度 (AP),远超 YOLOv10、YOLO11、RT-DETR v1/v2/v3 及 LW-DETR 等竞争对手,成为实时目标检测领域新的领跑者。目前,D-FINE 的所有代码、权重以及工具已开源,包含了详细的预训练教程和自定义数据集处理指南。 >>加入极市CV技术交流群,走在计算机视觉的最前沿

D-FINE 的作者均来自中国科学技术大学。第一作者为中科大在读博士生彭岩松 (https://scholar.google.com/citations?user=CTidez8AAAAJ&hl=zh-CN),其研究方向为实时目标检测以及神经形态视觉,已在 AAAI、ICCV、CVPR 等国际顶级会议上以第一作者身份发表多篇论文。本文由吴枫教授、孙晓艳教授和张越一副研究员共同指导,其他作者包括中科大博士生李和倍及硕士生吴沛熹。

引言

在当前内卷严重的实时目标检测 (Real-time Object Detection) 领域,性能与效率始终是难以平衡的核心问题。绝大多数现有的 SOTA 方法仅依赖于更先进的模块替换或训练策略,导致性能逐渐趋于饱和。

为了打破这一瓶颈,来自中科大的研究团队提出了 D-FINE,重新定义了边界框回归任务。不同于传统的固定坐标预测,D-FINE 创新了两种方法:细粒度分布优化 (FDR) 和全局最优定位自蒸馏 (GO-LSD)。通过将回归任务转化为细粒度的分布优化任务,D-FINE 不仅显著简化了优化难度,还能够更精确地建模每条边界的不确定性。此外,D-FINE 将定位知识 (Localization Knowledge) 融入到模型输出,通过高效的自蒸馏策略在各层共享这些知识,因而在不增加额外训练成本的前提下,实现了性能的进一步显著提升。

  • 论文标题: D-FINE: Redefine Regression Task of DETRs as Fine-grained Distribution Refinement

  • 论文地址: https://arxiv.org/abs/2410.13842

  • 项目地址: https://github.com/Peterande/D-FINE

凭借这些创新,D-FINE 在 COCO 数据集上以 78 FPS 的速度取得了 59.3% 的平均精度 (AP),远超 YOLOv10、YOLO11、RT-DETR v1/v2/v3 及 LW-DETR 等竞争对手,成为实时目标检测领域新的领跑者。目前,D-FINE 的所有代码、权重以及工具已开源,包含了详细的预训练教程和自定义数据集处理指南。

研究团队分别使用 D-FINE 和 YOLO11 对 YouTube 上的一段复杂街景视频进行了目标检测。尽管存在逆光、虚化模糊和密集遮挡等不利因素,D-FINE-X 依然成功检测出几乎所有目标,包括背包、自行车和信号灯等难以察觉的小目标,其置信度、以及模糊边缘的定位准确度明显高于 YOLO11x。

细粒度分布优化 (FDR)

FDR (Fine-grained Distribution Refinement) 将检测框的生成过程分解为:

1. 初始框预测:与传统 DETR 方法类似,D-FINE 的解码器会在第一层将 Object Queries 转换为若干个初始边界框。这些边界框只用于初始化,不需要特别精确。

2. 细粒度的分布优化:与传统方法不同,D-FINE 的解码层不会直接预测新的边界框,而是基于初始边界框生成四组概率分布,并通过逐层优化对其进行调整。这些概率分布本质上是检测框的一种「细粒度中间表征」。D-FINE 可以通过微调这些表征,不同幅度地独立调整各边缘。

具体流程如图所示:

将边界框回归任务重新定义为 FDR 有以下优点:

1. 过程简化:在传统 L1 损失和 IoU 损失进行优化的基础上,模型还通过标签和预测结果之间的「残差」进一步约束这些中间态的概率分布。这使得每个解码层能够更有效地关注当前的定位误差。随着层数增加,优化的目标变得更加简单,从而简化了整体的优化过程。

2. 对复杂场景的鲁棒性更强:FDR 中概率的高低本质上反应了模型对边界微调的自信程度。这使得 D-FINE 能够在不同网络深度下对每条边的不确定性独立建模,从而使模型真正地理解定位的好坏。在遮挡、运动模糊和低光照等复杂的实际场景下,D-FINE 表现出了更强的鲁棒性,相比直接回归四个固定值的方法要更为稳健。

3. 灵活的优化机制:D-FINE 通过加权求和将概率分布转化为最终的边界框偏移值。指数型加权函数 W (n) 保证了能够在初始框准确时进行细微调整,在必要时提供大幅度修正。

4. 可扩展性:FDR 通过将回归任务定义为同分类任务一致的概率分布预测问题,这使得目标检测模型可以更好地受益于知识蒸馏、多任务学习和分布优化等更多领域的创新,从而更有效地适应和整合新的技术,突破传统方法的局限。

全局最优定位自蒸馏机制 GO-LSD

GO-LSD (Global Optimal Localization Self-Distillation) 可以将知识蒸馏无痛应用到 FDR 框架检测器。

基于 FDR 框架的目标检测器既可以实现知识传递,又可以保持一致的优化目标。

新任诺贝尔物理学奖得主 Geoffrey Hinton 在《Distilling the Knowledge in a Neural Network》一文中提到:概率即 「知识」。FDR 将概率分布变成了网络输出,并搭载了定位知识 (Localization Knowledge)。因此,仅计算 KL 散度损失就能将这些「知识」从深层传递到浅层。由于 FDR 架构中每一个解码层都共享一个共同目标,即减少初始边界框与真实边界框之间的残差。因此最后一层生成的精确概率分布可以作为前面每一层的最终目标,并通过蒸馏引导前几层。

由于 FDR 架构中每一个解码层都共享一个共同目标:减少初始边界框与真实边界框之间的残差;因此最后一层生成的精确概率分布可以作为前面每一层的最终目标,并通过蒸馏引导前几层。

研究团队在 FDR 的框架上进一步提出了全局最优定位自蒸馏 GO-LSD,在网络层间实现了定位知识蒸馏,进一步扩展了 D-FINE 的能力,具体流程如图:

FDR 与 GO-LSD 产生了一种双赢的「合力」:随着训练的进行,最后一层的预测将变得越来越准确,其生成的软标签也能够更好地帮助前几层提高预测准确性。反过来,前几层将更快地定位到准确位置。这相当于深层的优化任务得到了简化,从而进一步提高了整体准确性。

实验结果

在 COCO 数据集上,D-FINE-L 和 D-FINE-X 分别以 8.07 ms (124 FPS) 和 12.89 ms (78 FPS) 的时延取得了 54.0% 和 55.8% 的 AP,远超其余所有实时目标检测器,打败了 YOLOv10 (53.2%,54.4%)、YOLO11 (53.4%,54.7%) 及 RT-DETRv2 (53.4%,54.6%)。

在 Objects365 上进行了简单的有监督预训练后,D-FINE 的准确率达到了 59.3% AP。在 paperwithcode 网站的 Real-Time Object Detection on MS COCO benchmark 上,D-FINE 的速度和性能都远超其他方法,取得了 Top1 的成绩。

相比 baseline RT-DETR,D-FINE-L 和 D-FINE-X 大幅降低了参数量和计算复杂度。在推理速度显著提升的同时,分别取得了 1.8% 和 3.2% 的显著性能提升。

更轻量化的 D-FINE-S 和 D-FINE-M 在 T4 GPU 上分别以 3.49 ms (287 FPS) 和 5.62 ms (178 FPS) 的时延下取得了 48.5% 和 52.3% 的 AP,超过 YOLOv10 (46.3%,51.1%)、YOLO11 (46.6%,51.2%) 及 RT-DETRv2 (48.1%,49.9%)。预训练后,D-FINE-S 和 D-FINE-M 分别取得了 50.7% 和 55.1% 的 AP。

虽然 FDR 和 GO-LSD 能够显著提高性能,但不会直接让网络更快或更轻。为了解决这个问题,研究团队对 DETR 架构进行了轻量化处理。这些调整不可避免地让性能有所下降,但 D-FINE 方法最终实现了速度、参数、计算量与性能的平衡。下表展示了从 baseline 到 D-FINE 的逐步修改过程。每一步都含展示了模型在 AP 、参数量、时延以及 FLOPs 上的变化。

研究团队对一系列非实时的 DETR 检测模型应用了 FDR 和 GO-LSD。实验证明,在几乎没有额外参数量和算力的情况下,最高提升了 5.3% 的 AP,证明了方法的鲁棒性和泛化性。

根据消融实验,含有 FDR 的检测器和原始检测器在速度、参数量和计算复杂度上几乎没有区别,可以实现无缝替换。

研究团队分析了训练成本,发现额外的时间和显存消耗主要来自生成用于监督分布的 FGL Loss 标签。通过对 D-FINE 进行的进一步优化,这些额外的训练时间和显存占用被控制在 6% 和 2% 以内,对整体影响很小。

D-FINE 预测的可视化

以下是 D-FINE 在各种复杂检测场景中的预测结果。这些场景包括遮挡、低光照、运动模糊、景深效果和密集场景。可以看出,面对这些具有挑战性的场景,D-FINE 能够产生准确的定位结果。

下图展示了第一层和最后一层的预测结果、对应四条边的分布、以及加权后的分布。可以看出,预测框的定位会随着分布的优化而变得更加精准。

总结和局限

D-FINE 将边界框回归转化为逐层优化的概率分布预测,显著提升了模型在多任务场景中的兼容性。D-FINE 为目标检测模型的设计提供了一条新思路,后续可以考虑进一步挖掘 D-FINE 在跨任务学习和模型轻量化方面的潜力。

D-FINE 也有一些局限:相比于大模型, D-FINE 的轻量化版本对于性能提升不太明显。这可能是因为浅层解码器的预测精度不高,无法有效将定位信息传递给前几层。

未来的研究可以考虑在提高轻量化模型定位能力的同时,避免增加推理延迟。一种思路是继续改进架构设计,尝试在训练时引入额外的异构解码层,在推理时丢弃这些层,保持模型的轻量化。如果训练资源足够,还可以直接用大模型对小模型进行蒸馏,而不是依赖自蒸馏。

思考和展望

2024 年,实时目标检测领域经历了多次版本迭代,YOLO 系列先后推出了 YOLOv9、YOLOv10,以及 YOLO11。而 DETR 系列则在 RT-DETR 之后,陆续推出了 LW-DETR、RT-DETRv2 和 RT-DETRv3。

这两类模型的重要突破,实质上得益于相互借鉴和融合。RT-DETR 引入了 YOLO 的 RepNCSP 模块,以替代冗余的多尺度自注意力层,通过重新设计轻量化的混合编码器,实现了实时 DETR;而 YOLOv10 借鉴了 DETR 的匹配策略,通过训练额外的一对一检测头,对密集 anchor 预测进行自动筛选,避免了 NMS 后处理,显著提升了速度。此外,YOLOv10 和 YOLO11 也引入了自注意力机制,进一步增强了大尺度目标的检测性能。

尽管这些改进取得了显著的效果,但社区对未来的发展方向产生了疑问:在两类模型趋于一致的背景下,实时目标检测的下一步将如何发展?可以预见,在目标检测这一竞争激烈的领域,继续进行模块替换的收益将逐渐减少,可能很快遇到瓶颈。

而基于传统框架的训练策略改进,或许对一些旧的网络(如常用的 Deformable DETR)有效,但应用于最新的 SOTA 网络时,往往难以取得明显的提升,甚至可能产生负面影响。特别是对于计算资源有限的小型团队,即使是精妙的训练策略,若缺乏大规模的超参数搜索,也难以取得预期的效果。

D-FINE 的出现,为目标检测带来了全新的思路。通过引入 FDR 和 GO-LSD,D-FINE 重新定义了目标检测中的边界框回归任务。这种创新有望突破当前的瓶颈,为实时目标检测领域提供新的发展方向。


公众号后台回复“数据集”获取100+深度学习各方向资源整理

极市干货

技术专栏:多模态大模型超详细解读专栏搞懂Tranformer系列大视觉模型 (LVM) 解读扩散模型系列极市直播
技术综述:小目标检测那点事大模型面试八股含答案万字长文!人体姿态估计(HPE)入门教程

点击阅读原文进入CV社区

收获更多技术干货

【声明】内容源于网络
0
0
极市平台
为计算机视觉开发者提供全流程算法开发训练平台,以及大咖技术分享、社区交流、竞赛实践等丰富的内容与服务。
内容 8155
粉丝 0
极市平台 为计算机视觉开发者提供全流程算法开发训练平台,以及大咖技术分享、社区交流、竞赛实践等丰富的内容与服务。
总阅读3.2k
粉丝0
内容8.2k