极市导读
本文详细介绍了深度强化学习中的软演员-评论家算法(SAC),包括其数学原理、网络架构设计以及PyTorch实现。 >>加入极市CV技术交流群,走在计算机视觉的最前沿
深度强化学习是人工智能领域最具挑战性的研究方向之一,其设计理念源于生物学习系统从经验中优化决策的机制。在众多深度强化学习算法中,软演员-评论家算法(Soft Actor-Critic, SAC)因其在样本效率、探索效果和训练稳定性等方面的优异表现而备受关注。
传统的深度强化学习算法往往在探索-利用权衡、训练稳定性等方面面临挑战。SAC算法通过引入最大熵强化学习框架,在策略优化过程中自动调节探索程度,有效解决了这些问题。其核心创新在于将熵最大化作为策略优化的额外目标,在保证收敛性的同时维持策略的多样性。
本文将系统阐述SAC算法的技术细节,主要包括:
-
基于最大熵框架的SAC算法数学原理
-
演员网络与评论家网络的具体架构设计
-
基于PyTorch的详细实现方案
-
网络训练的关键技术要点
SAC算法采用演员-评论家架构,演员网络负责生成动作策略,评论家网络评估动作价值。通过两个网络的协同优化,实现策略的逐步改进。整个训练过程中,演员网络致力于最大化评论家网络预测的Q值,同时保持适度的策略探索;评论家网络则不断优化其Q值估计的准确性。
接下来,我们将从演员网络的数学原理开始,详细分析SAC算法的各个技术组件:
演员(策略)网络
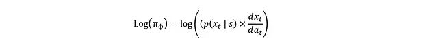
演员是由参数φ确定的策略网络,表示为:
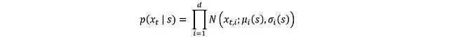
这是一个基于状态输出动作的随机策略。它使用神经网络估计均值和对数标准差,从而得到给定状态下动作的分布及其对数概率。对数概率用于熵正则化,即目标函数中包含一个用于最大化概率分布广度(熵)的项,以促进智能体的探索行为。关于熵正则化的具体内容将在后文详述。演员网络的架构如图所示:
均值μ(s)和对数σ(s)用于动作采样:
其中N表示正态分布。但这个操作存在梯度不可微的问题,需要通过重参数化技巧来解决。
这里d表示动作空间维度,每个分量ε_i从标准正态分布(均值0,标准差1)中采样。应用重参数化技巧:
这样就解决了梯度截断问题。接下来通过激活函数将x_t转换为标准化动作:
该转换确保动作被限制在[-1,1]区间内。
动作对数概率计算
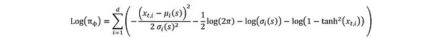
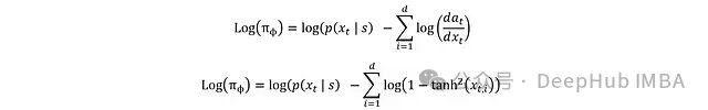
完成动作计算后,就可以计算奖励和预期回报。演员的损失函数中还包含熵正则化项,用于最大化分布的广度。计算采样动作𝑎_t的对数概率Log(π_ϕ)时,从预tanh变换x_t开始分析更为便利。
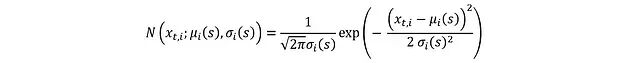
由于x_t来自均值μ(s)和标准差σ(s)的高斯分布,其概率密度函数(PDF)为:
其中各独立分量x_t,i的分布为:
对两边取对数可简化PDF:
要将其转换为log(π_ϕ),需要考虑x_t到a_t的tanh变换,这可通过微分链式法则实现:
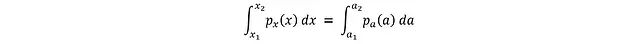
这个关系的推导基于概率守恒原理:两个变量在给定区间内的概率必须相等:
其中a_i = tanh(x_i)。将区间缩小到无穷小的dx和da:
tanh的导数形式为:
代入得到:
最终可得完整表达式:
至此完成了演员部分的推导,这里有动作又有对数概率,就可以进行损失函数的计算。下面是这些数学表达式的PyTorch实现:
import gymnasium as gym
from src.utils.logger import logger
from src.models.callback import PolicyGradientLossCallback
from pydantic import Field, BaseModel, ConfigDict
from typing import Dict, List
import numpy as np
import os
from pathlib import Path
import torch
import torch.nn as nn
import torch.optim as optim
import torch.nn.functional as F
from torch.distributions import Normal
'''演员网络:估计均值和对数标准差用于熵正则化计算'''
class Actor(nn.Module):
def __init__(self,state_dim,action_dim):
super(Actor,self).__init__()
self.net = nn.Sequential(
nn.Linear(state_dim, 100),
nn.ReLU(),
nn.Linear(100,100),
nn.ReLU()
)
self.mean_linear = nn.Linear(100, action_dim)
self.log_std_linear = nn.Linear(100, action_dim)
def forward(self, state):
x = self.net(state)
mean = self.mean_linear(x)
log_std =self.log_std_linear(x)
log_std = torch.clamp(log_std, min=-20, max=2)
return mean, log_std
def sample(self, state):
mean, log_std = self.forward(state)
std = log_std.exp()
normal = Normal(mean, std)
x_t = normal.rsample() # 重参数化技巧
y_t = torch.tanh(x_t)
action = y_t
log_prob = normal.log_prob(x_t)
log_prob -= torch.log(1-y_t.pow(2)+1e-6)
log_prob = log_prob.sum(dim=1, keepdim =True)
return action, log_prob
在讨论损失函数定义和演员网络的训练过程之前,需要先介绍评论家网络的数学原理。
评论家网络
评论家网络的核心功能是估计状态-动作对的预期回报(Q值)。这些估计值在训练过程中为演员网络提供指导。评论家网络采用双网络结构,分别提供预期回报的两个独立估计,并选取较小值作为最终估计。这种设计可以有效避免过度估计偏差,同时提升训练稳定性。其结构如图所示:
需要说明的是,此时的示意图是简化版本,主要用于理解演员和评论家网络的基本角色,暂不考虑训练稳定性的细节。另外,"智能体"实际上是演员和评论家网络的统称而非独立实体,图中分开表示只是为了清晰展示结构。假设评论家网络暂不需要训练,因为这样可以专注于如何利用评论家网络估计的Q值来训练演员网络。演员网络的损失函数表达式为:
更常见的形式是:
其中ρ_D表示状态分布。损失函数通过对所有动作空间和状态空间的熵项与Q值进行积分得到。但在实际应用中,无法直接获取完整的状态分布,因此ρ_D实际上是基于重放缓冲区样本的经验状态分布,期望其能较好地表征整体状态分布特征。
基于该损失函数可以通过反向传播对演员网络进行训练。以下是评论家网络的PyTorch实现:
'''评论家网络:定义q1和q2'''
class Critic(nn.Module):
def __init__(self, state_dim, action_dim):
super(Critic, self).__init__()
# Q1网络架构
self.q1_net = nn.Sequential(
nn.Linear(state_dim + action_dim, 256),
nn.ReLU(),
nn.Linear(256, 256),
nn.ReLU(),
nn.Linear(256, 1),
)
# Q2网络架构
self.q2_net = nn.Sequential(
nn.Linear(state_dim + action_dim, 256),
nn.ReLU(),
nn.Linear(256, 256),
nn.ReLU(),
nn.Linear(256, 1),
)
def forward(self, state, action):
sa = torch.cat([state, action], dim=1)
q1 = self.q1_net(sa)
q2 = self.q2_net(sa)
return q1, q2
前述内容尚未涉及评论家网络自身的训练机制。从重放缓冲区采样的每个数据点包含[s_t, s_{t+1}, a_t, R]。对于状态-动作对的Q值,我们可以获得两种不同的估计。
第一种方法是直接将a_t和s_t输入评论家网络:
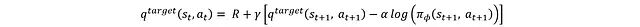
第二种方法是基于贝尔曼方程:
这种方法使用s_t+1、a_t+1以及执行动作a_t获得的奖励来重新估计。这里使用目标网络而非第一种方法中的评论家网络进行估计。采用目标评论家网络的主要目的是解决训练不稳定性问题。如果同一个评论家网络同时用于生成当前状态和下一状态的Q值(用于目标Q值),这种耦合会导致网络更新在目标计算的两端产生不一致的传播,从而引起训练不稳定。因此引入独立的目标网络为下一状态的Q值提供稳定估计。目标网络作为评论家网络的缓慢更新版本,确保目标Q值能够平稳演化。具体结构如图所示:
评论家网络的损失函数定义为:
通过该损失函数可以利用反向传播更新评论家网络,而目标网络则采用软更新机制:
其中ε是一个较小的常数,用于限制目标评论家的更新幅度,从而维持训练稳定性。
完整流程
以上内容完整阐述了SAC智能体的各个组件。下图展示了完整SAC智能体的结构及其计算流程:
下面是一个综合了前述演员网络、评论家网络及其更新机制的完整SAC智能体实现
'''SAC智能体的实现:整合演员网络和评论家网络'''
class SACAgent:
def __init__(self, state_dim, action_dim, learning_rate, device):
self.device = device
self.actor = Actor(state_dim, action_dim).to(device)
self.actor_optimizer = optim.Adam(self.actor.parameters(), lr=learning_rate)
self.critic = Critic(state_dim, action_dim).to(device)
self.critic_optimizer = optim.Adam(self.critic.parameters(), lr=learning_rate)
# 目标网络初始化
self.critic_target = Critic(state_dim, action_dim).to(device)
self.critic_target.load_state_dict(self.critic.state_dict())
# 熵温度参数
self.target_entropy = -action_dim
self.log_alpha = torch.zeros(1, requires_grad=True, device=device)
self.alpha_optimizer = optim.Adam([self.log_alpha], lr=learning_rate)
def select_action(self, state, evaluate=False):
state = torch.FloatTensor(state).to(self.device).unsqueeze(0)
if evaluate:
with torch.no_grad():
mean, _ = self.actor(state)
action = torch.tanh(mean)
return action.cpu().numpy().flatten()
else:
with torch.no_grad():
action, _ = self.actor.sample(state)
return action.cpu().numpy().flatten()
def update(self, replay_buffer, batch_size=256, gamma=0.99, tau=0.005):
# 从经验回放中采样训练数据
batch = replay_buffer.sample_batch(batch_size)
state = torch.FloatTensor(batch['state']).to(self.device)
action = torch.FloatTensor(batch['action']).to(self.device)
reward = torch.FloatTensor(batch['reward']).to(self.device)
next_state = torch.FloatTensor(batch['next_state']).to(self.device)
done = torch.FloatTensor(batch['done']).to(self.device)
# 评论家网络更新
with torch.no_grad():
next_action, next_log_prob = self.actor.sample(next_state)
q1_next, q2_next = self.critic_target(next_state, next_action)
q_next = torch.min(q1_next, q2_next) - torch.exp(self.log_alpha) * next_log_prob
target_q = reward + (1 - done) * gamma * q_next
q1_current, q2_current = self.critic(state, action)
critic_loss = F.mse_loss(q1_current, target_q) + F.mse_loss(q2_current, target_q)
self.critic_optimizer.zero_grad()
critic_loss.backward()
self.critic_optimizer.step()
# 演员网络更新
action_new, log_prob = self.actor.sample(state)
q1_new, q2_new = self.critic(state, action_new)
q_new = torch.min(q1_new, q2_new)
actor_loss = (torch.exp(self.log_alpha) * log_prob - q_new).mean()
self.actor_optimizer.zero_grad()
actor_loss.backward()
self.actor_optimizer.step()
# 温度参数更新
alpha_loss = -(self.log_alpha * (log_prob + self.target_entropy).detach()).mean()
self.alpha_optimizer.zero_grad()
alpha_loss.backward()
self.alpha_optimizer.step()
# 目标网络软更新
for param, target_param in zip(self.critic.parameters(), self.critic_target.parameters()):
target_param.data.copy_(tau * param.data + (1 - tau) * target_param.data)
总结
本文系统地阐述了SAC算法的数学基础和实现细节。通过对演员网络和评论家网络的深入分析,我们可以看到SAC算法在以下几个方面具有显著优势:
理论框架
-
基于最大熵强化学习的理论基础保证了算法的收敛性
-
双Q网络设计有效降低了值函数估计的过度偏差
-
自适应温度参数实现了探索-利用的动态平衡
实现特点
-
采用重参数化技巧确保了策略梯度的连续性
-
软更新机制提升了训练稳定性
-
基于PyTorch的向量化实现提高了计算效率
实践价值
-
算法在连续动作空间中表现优异
-
样本效率高,适合实际应用场景
-
训练过程稳定,调参难度相对较小
未来研究可以在以下方向继续深化:
-
探索更高效的策略表达方式
-
研究多智能体场景下的SAC算法扩展
-
结合迁移学习提升算法的泛化能力
-
针对大规模状态空间优化网络架构
强化学习作为人工智能的核心研究方向之一,其理论体系和应用场景都在持续发展。深入理解算法的数学原理和实现细节,将有助于我们在这个快速演进的领域中把握技术本质,开发更有效的解决方案。作者:Najib Sharifi, Ph.D

公众号后台回复“数据集”获取100+深度学习各方向资源整理
极市干货

点击阅读原文进入CV社区
收获更多技术干货

