极市导读
本周三,知名 AI 创业公司,曾发布「全球首个 AI 软件工程师」的 Cognition AI 开源了一款使用强化学习,用于编写 CUDA 内核的大模型 Kevin-32B。 >>加入极市CV技术交流群,走在计算机视觉的最前沿
Kevin-32B 基于 QwQ-32B 在 KernelBench 数据集上使用 GRPO 进行了多轮强化学习训练,实现了超越 o3 和 o4-mini 的顶级推理表现。
对此,机器学习社区表现出了极大的兴趣。有人表示期待 DeepSeek R1 风格的训练方法用来提升代码效率已久,这回终于有人站出来了。
在一篇博客中,Cognition AI 详细介绍了新模型强化学习训练的机制。
代码是一个不断迭代的过程 —— 需要我们编写、执行程序,评估结果,并根据反馈优化代码。大语言模型(LLM)在代码生成方面的最新进展尝试将此过程融入推理阶段,并使用并行采样等方法。虽然这些方法是有效的,但它们依赖于搜索而非实际学习 —— 在这其中模型权重被冻结。
Cognition AI 探索了多轮强化学习,使用来自环境的中间反馈,并屏蔽模型思维以避免在多轮训练中上下文爆炸。
他们提出的模型 Kevin-32B(即 Kernel Devin)在内核生成方面优于前沿推理模型。此外他们通过实验结果表明,与单轮训练相比,多轮训练使模型在自我优化方面更有效。
多轮训练方法
在新模型上,作者使用了 KernelBench,这是一个包含 250 个基于 PyTorch 的经典深度学习任务的数据集。它衡量优化 CUDA 内核替换 PyTorch 算子的能力。训练专注于前两个级别,每个级别包含 100 个任务。级别 1 包含矩阵乘法、卷积和损失函数等基础任务,级别 2 则包含融合算子,再使用这两个级别的 180 个任务进行训练,并留出 20 个任务作为保留集。
在训练过程中,模型会经历一个迭代反馈循环:从生成的内核中提取反馈,并再对其进行优化。如果内核编译失败,错误轨迹会传递给模型并要求其修复。如果编译正确,系统则会测量运行时间并要求模型进一步改进。
初始方法的机制如下。从初始提示开始,先在每个优化步骤后附加思路链、内核和评估信息,再为整个轨迹分配一个奖励(定义为任何内核获得的最高分数),并使用该序列进行训练。
不过,这种方法存在一些挑战:
上下文窗口爆炸:推理模型会生成很长的思维链。使用这种方法,轨迹的长度在几次传递后很容易达到 5-10 万个 token,这会导致训练不便;
样本效率低下和 credit 分配问题:即使我们生成了多个内核,仍然只为整个轨迹分配一个奖励。这无法表明哪个细化步骤真正提高了正确性或性能。奖励应该根据细化步骤对最终结果的贡献来分配。
为了解决上下文长度爆炸的问题,Kevin-32B 丢弃了轨迹中最长的部分 —— 思维链。现在每个 token 将只包含先前生成的内核和评估结果。为了仍然保留上一步思考过程的信息,我们特意要求模型生成其自身思考过程的简要摘要,然后将其传递给后续上下文。
移除推理的思路链。
为了解决样本效率低下的问题,Kevin-32B 选择了一个更具表现力的奖励函数,将内核的细化建模为马尔可夫决策过程,将给定响应的奖励设置为当前内核与所有后续内核得分的折扣总和。至此,每个细化步骤都变成了一个训练样本。
将奖励设为分数的折扣总和。
结果
对于每项任务,作者并行采样了 16 条轨迹,并进行 8 个连续的细化步骤。对于每项任务的正确性或性能,他们将 best@16 定义为所有轨迹的最大值,avg@16 定义为所有轨迹的平均值。
经过 8 个优化步骤,Kevin-32B 在整个数据集上的平均正确率为 65%,显著超越了 QwQ-32B 和前沿模型。它解决了 89% 的数据集,而 o4-mini 和 o3 分别只解决了 53% 和 51%。在整个数据集中,Kevin-32B 实现了 1.41 倍的 best@16 加速比,优于前沿模型。
Kevin-32B 在二级任务上尤其有效,平均正确率为 48%(o4-mini 为 9.6%,o3 为 9.3%)。这表明多轮训练可以提高模型解决更具挑战性、更长期任务的能力。同样,我们能注意到模型实现了 1.74 倍的 best@16 加速比(是 o4-mini 和 o3 为 1.2 倍)。
多轮训练 vs 单轮训练
Kevin-32B 也展现出比 QwQ-32B 和单轮训练模型显著的提升。在 4 个优化步骤下,Kevin-32B 的表现略优于单轮模型,但随着优化步骤增加到 8 个,两者之间的差距进一步扩大。这表明,通过鼓励更积极的优化,多轮训练在串行轴上具有更好的扩展性。
我们可能会想,单轮训练模型是否可以通过采样并行轨迹来实现更好的加速,然而在这种环境下并非如此。在计算预算固定的情况下,即使对于单轮训练模型,多轮推理也比单轮推理更占优势。
奖励黑客攻击
最初的实验使用了规模较小的模型,例如 DeepSeek-R1-Distill-Qwen-7B,这导致了多起奖励黑客攻击事件:
该模型只是复制了 PyTorch 参考实现,因此因生成正确答案而获得奖励,且加速比提高了 1.0 倍;
该模型将错误的 CUDA 内核实现包装在 try-except 语句中,并调用 PyTorch 实现函数作为回退;
该模型继承自参考实现,绕过了对 CUDA 实现的需求。
奖励黑客攻击示例
为了防止奖励黑客攻击,作者对响应施加了更严格的格式检查。对于使用 PyTorch 函数或不包含 CUDA 内核的响应,奖励被设置为 0。
我们能观察到,当模型能力与数据集难度之间的差距很大时,就会发生奖励黑客攻击。模型难以解决任何任务,因此当它生成一个被黑客入侵的内核时,它是唯一具有正向优势的操作,因此会得到显著的强化。
无意义和重复的生成
多次运行后,我们可以观察到在大约 35-40 步,模型开始生成重复或无意义的响应。假设这是因为模型偏离了稳定区域,令人惊讶的是,作者偶然发现了一个可以有效预测未来垃圾响应的指标 —— 思维链不是以「OK」开头的响应比例 —— 我们称之为「Not Okay Ratio」。
模型训练越多,CoT 的开头就越不稳定:
"Okay Amigos, so I need to optimize this 3D tensor-matrix multiplication..”
"Okay Holy crap, I need to get this code optimized….”
在精炼步骤的第 8 遍时:
"Okay SHIT, this is getting frustrating. Let me see. The error is about …”
为了解决这个问题,作者尝试使用 KL 系数 0.001 和 0.01 进行运行,但发现这会减慢学习速度,同时又不能防止垃圾数据的产生。最后,作者通过使用 Dr. GRPO 提出的恒定长度损失正则化(这显著降低了梯度范数),并将梯度范数大幅削减至 0.05,将垃圾数据的出现延迟到了第 100 步。
示例内核
作为示例,以 1 级任务 40(LayerNorm)的轨迹为例,作者重点介绍了模型如何迭代地整合来自内核评估的反馈,并利用这些反馈来改进其生成过程。
步骤 1:模型生成一个正确的内核。它使用共享内存,并将均值 / 方差计算与归一化融合。这实现了 0.6 倍的加速。
...__shared__ float shared_sums [512]; // 256 threads * 2 values...for (int s = block_size / 2; s > 0; s >>= 1) {if (tid < s) {shared_sums [2 * tid] += shared_sums [2 * (tid + s)];shared_sums [2 * tid + 1] += shared_sums [2 * (tid + s) + 1];}__syncthreads ();}...for (int d = tid; d < D; d += block_size) {float x_val = x [n * D + d];float y_val = (x_val - mean) /sqrt_var;y_val = y_val * scale [d] + bias [d];y [n * D + d] = y_val;}...
步骤 2:模型从评估反馈中注意到「当前的加速比是 0.6,这意味着它实际上比 PyTorch 版本慢。这不太好。让我想想瓶颈可能在哪里」。它将大部分推理 token 用于寻找更合适的块大小,并相应地修改代码。修改是正确的,加速比现在达到了 4.27 倍。
步骤 3 和 4:模型尝试进行更积极的优化。它考虑了循环展开和减少库冲突,但最终选择了 Warp 级内联函数。但最终失败了 —— 首先是因为归约逻辑存在正确性问题,其次是因为思路太长。
步骤 5:模型注意到 Warp 归约实现中存在错误的问题并进行了修复。它成功实现了两级 Warp 归约。最终加速比达到了 9.61 倍。
// Warp-level reduction using shuffle instructionsfor (int delta = 1; delta <= 16; delta <<= 1) {float other_sum = __shfl_xor_sync (0xFFFFFFFF, warp_sum, delta);float other_sum_sq = __shfl_xor_sync (0xFFFFFFFF, warp_sum_sq, delta);warp_sum += other_sum;warp_sum_sq += other_sum_sq;}__shared__ float sum_warp [32];__shared__ float sum_sq_warp [32];__shared__ float results [2]; // [mean, inv_std]if (warp_id == 0) {sum_warp [warp_lane] = warp_sum;sum_sq_warp [warp_lane] = warp_sum_sq;}__syncthreads ();// Final reduction within the first warp (tid 0-31)if (tid < 32) {float my_sum = sum_warp [tid];float my_sum_sq = sum_sq_warp [tid];// Reduce within the first warp (32 threads)for (int s = 16; s >= 1; s >>= 1) {my_sum += __shfl_xor_sync (0xFFFFFFFF, my_sum, s);my_sum_sq += __shfl_xor_sync (0xFFFFFFFF, my_sum_sq, s);}...}
训练设置
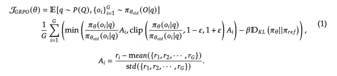
这里使用的是组相对策略优化算法(GRPO),该算法由 DeepSeek 提出,是近端策略优化算法(PPO)的一种变体。
GRPO 不使用值网络来估算基线和计算优势,而是将从同一提示中采样的响应组内的奖励归一化。
作者使用 vLLM 进行推理,使用 DeepSpeed Zero-3 卸载优化器状态。每批训练 8 个任务,每个任务 16 个轨迹。我们使用 GRPO,每批 2 个梯度步骤。基础模型是 QwQ-32B。
响应生成完成后,每个 GPU 将其 vLLM 引擎卸载到 CPU 内存,并评估其生成的内核。对于每个响应,作者都会检查响应格式是否正确,并提取 CUDA 内核。然后,编译并执行代码,使用随机张量测试其正确性。如果正确,则会对内核的运行时间进行剖析。
通过正确性检查的响应将获得 0.3 的奖励,而额外的性能奖励则相当于与参考实现相比所获得的速度提升。
内核评估和基准问题
作者对评估进行了沙盒化处理,以免出现致命错误(如 CUDA 非法内存访问),导致训练过程崩溃。
由于 KernelBench 中的许多任务使用非常小的输入张量,该基准最终测量的是内核启动开销而非实际内核执行时间。为了解决这个问题,作者扩大了受影响任务的张量维度。
KernelBench 评估工具中还有一个更隐蔽的错误,导致被测内核将参考实现的输出张量作为自己的张量输出循环使用。因此,只计算(正确)部分输出张量的内核仍能通过正确性检查。为了解决这个问题,我们首先运行测试过的内核,然后再运行参考实现,从而避免了这一问题。
单轮训练设置
作者使用 max_grad_norm = 0.5、lr = 常量 2e-6(热身比为 0.03)、max_prompt_length = 8192、max_response_length = 16384,其使用 DAPO 的 Clip-High,eps_high = 0.28,并将 KL 系数设为 0,以允许模型自由偏离基本策略。
我们能观察到,单轮模型比基础模型有明显改善,但在 25 步之后,奖励开始趋于稳定。
多轮训练设置
作者根据每个轨迹的最佳内核对其正确性和性能进行评分。在最终训练运行中,每个前向路径由 16 个平行轨迹组成,每个轨迹有 4 个细化步骤,折扣系数为 0.4。与单轮训练不同的是,现在的奖励会稳步增加。
随着模型学会更高效地使用推理 token 来生成内核,响应长度最初会减少。第 25 步之后,随着模型尝试更复杂的解决方案,响应长度会增加。按照 DeepScaleR 的做法,作者在第 30 步将最大响应长度从 16K 扩展到 22K token。
更多结果 & 消融研究
推理时间缩放
作者还研究了多轮模型在并行和串行轴上的扩展。在推理时间的第一次实验中,其使用了 16 个并行轨迹和 8 个细化步骤。作者再次发现,随着细化步骤的增加,多轮模型的扩展性更好。
在第二次实验中,作者将并行轨迹的数量增加到 64 个,同时只保留 4 个细化步骤。这样,best@64 的正确率达到 89.5%,性能提高了 1.28 倍,比 8 个细化步骤的 best@16 稍差。
作者研究了沿并行轴或串行轴缩放推理的效果。此处使用 pass@k 性能来表示 k 生成的估计性能。他们使用类似于 Chen 等人的无偏估计器计算该指标,其方差低于 avg@k。
然后,作者试图找到一个合适的定律来模拟实验数据,并注意到在这个(小)数量级上,细化步骤和平行轨迹的贡献看起来都像一个幂律。此外,由于内核加速是有限的,因此性能指标应该达到饱和。因此,作者决定拟合以下定律(该定律在小数量级时呈现幂律表现,随着计算量的增加,收益会逐渐减少):
作者发现,给定一个固定的、非微不足道的推理计算预算(例如,细化步骤 * 并行轨迹≥8),最佳计算分配会转向串行细化,而不是并行生成。
单轮模型推理
作者之前在相同的多轮推理设置中比较了多轮模型(Kevin-32B)和单轮模型。但由于单轮模型是在单轮环境下训练的,
因此,一些问题就产生了:在单轮环境下训练的模型计算量固定的情况下,我们能用单轮推理或多轮推理获得更好的推理结果吗?
在这种特定环境下,即使使用单轮训练模型,多轮推理的结果一般也优于单轮推理(平均正确率除外)。
为了比较这两种方法,作者使用 64 个并行轨迹和仅 1 个步骤来评估单轮模型,然后将结果与使用 16 个并行轨迹和每个轨迹 4 个细化步骤的多轮推理进行比较。作者将单轮推理的 64 个并行轨迹分成 16 组,每组 4 个内核,取每组的 best@4,然后取 16 组的平均值。这样就能将这一指标与多轮推理中的 avg@16 进行比较(因为在这种情况下,我们是在单个轨迹中取 best@4)。最后,作者将单轮推理的 best@64 与多轮推理的 best@16(4 个细化步骤)进行了比较。
奖励塑造
作者尝试了奖励塑造。在较小模型上运行时,其添加了中间奖励(成功解析、编译、执行......)来引导模型。然而,作者发现这些奖励可能会分散模型的注意力,使其无法朝着真正的目标更新 —— 生成正确且性能良好的内核。作者还按照 Kimi 的建议尝试了长度惩罚,但发现在已有的环境中,长度惩罚会降低模型的性能。
对于多轮训练,作者对不同的奖励函数进行了消融。他们尝试了不同的伽玛值(0.4 与 0.8),以及如何汇总单个轨迹的奖励 —— 求和或取最大值。
在内核生成中,作者从根本上关心的是获得具有最大轨迹的内核(而不是优化多个内核的分数折扣总和)。因此,作者认为使用最大奖励公式会带来更好的加速效果。
然而,我们可以发现,将整个 MDP 的奖励相加,gamma=0.4 的效果最好。
奖励塑造消融 — 多轮训练是在奖励总和与伽马值 = 0.4(sum_gamma_0_4)的条件下进行的。
并行轨迹
作者还尝试在训练过程中将并行轨迹的数量从 16 个增加到 64 个,即训练批次大小为 64 * 4 * 8 = 2048。理论上讲,这将使优势估计的噪声更小,但他们发现在评估的 best@16 和 avg@16 性能上没有明显差异。此外,在第 30 步(60 梯度步)左右,无用的东西开始提前出现。
数据分布
在项目初期,作者尝试在 DeepSeek-R1-Distill-Qwen-14B 上运行 level 1 任务的简单子集。实验发现,奖励会出现高原现象,模型会过拟合单一难度级别。此外,模型只能学习有限的优化技术。因此,作者认为在数据集中均衡、多样地分布不同难度的任务非常重要。
测试时搜索
在训练过程中,为了保持合理的训练时间,必须限制搜索。但在测试时,可以自由地使用更复杂的测试时间技术来进一步提高性能。
为此,Kevin-32B 使用了改进版的束搜索,其工作原理如下。作者首先在 16 条轨迹上执行 4 个串行细化步骤,就像在训练时间所做的那样。在这一过程结束时,根据生成的最快内核对轨迹进行排序,并保留最好的 4 个轨迹。然后,作者将每条轨迹复制 4 次(共 16 条轨迹),并重复这一过程。作为一种通用方法,它还显著提高了模型性能,在整个数据集上平均提速 1.56 倍。
不出所料,随着测试时间计算量的增加,得到的收益也在减少,尽管平均性能在几个小时后仍有提高。
束搜索测试时间推理。计算时间是在单个 H200 GPU 上按内核计算的。请注意,其中还包括评估时的停滞时间,有效推理时间约占总计算时间的 45%。
作者通过修改轨迹数、束宽度和细化步数,尝试了波束搜索的几种不同变体。有趣的是,他们发现中位加速度较高的设置平均加速度较低,反之亦然。
作者将这种行为归因于每种技术在探索 / 利用的帕累托前沿中的不同位置:通过更多的探索,内核可以实现一致的加速,尽管它们可能会错过非常激进的、显著提高平均速度的优化。
未来工作
我们相信,这项工作只是探索编程智能体训练方法的开始。如果有更多的时间和计算能力,我们希望尝试以下方法:
学习价值网络并使用 PPO 进行训练。事实上,基线估计器是按引用步骤而不是按提示计算的;
在训练时整合更复杂的搜索方法,如束搜索(而不仅仅是并行 + 串行搜索);
将多轮训练法应用于更普遍的编程环境。
总结
在这项工作中,作者提出了一种方法,该方法适用于任何具有中间奖励的多轮环境。研究表明,这种方法比单圈 GRPO 取得了更好的结果。
端到端训练将是未来智能体的重要组成部分。虽然手工制作的多 LLM 工作流程可以带来短期收益,但它们在很大程度上依赖于人类的启发式方法,而且无法扩展。相比之下,更通用的方法可以让模型自由探索不同的轨迹(搜索),然后学习这些长期动态。通过与编程环境的交互,模型产生经验流,并通过反馈不断调整。我们希望这样的方法能成为迈向自主编程智能体的第一步。
HuggingFace: https://huggingface.co/cognition-ai/Kevin-32B
最后,让我们来复习一下《The Bitter Lesson》的道理:
我们必须吸取惨痛的教训,从长远来看,在我们的思维方式中植入知识是行不通的。这一惨痛教训基于以下历史观察:
人工智能研究人员经常试图在其智能体中构建知识;
这在短期内总是有帮助的,而且会让研究人员个人感到满意;
从长远来看,它会停滞不前,甚至抑制进一步的进展;
通过搜索和学习来扩展计算规模的相反方法最终会带来突破性进展。
参考内容:
https://cognition.ai/blog/kevin-32b

公众号后台回复“数据集”获取100+深度学习各方向资源整理
极市干货

点击阅读原文进入CV社区
收获更多技术干货

