极市导读
本文揭示了传统线性注意力在忽略Query向量幅值后,导致注意力分布过于平滑、缺乏自适应性的问题,并提出了Magnitude‑Aware Linear Attention (MALA),通过引入 Query 幅值缩放使其能够模拟 Softmax Attention 的“尖锐”分布,同时保留线性复杂度。 >>加入极市CV技术交流群,走在计算机视觉的最前沿
本文目录
1MALA:幅值感知的线性注意力机制
(来自中科院,国科大)
1 MALA 论文解读
1.1 MALA 论文背景
1.2 Preliminary
1.3 Linear Attention 的问题:忽略幅值
1.4 幅值感知的线性注意力机制
1.5 实验结果
太长不看版
Softmax Attention 是有很好的全局建模得能力。但是其二次方的计算复杂度也比较影响其在视觉任务中的应用。反之,Linear Attention 与 Softmax Attention 具有相似的公式,同时实现线性复杂度,来进行高效的全局信息建模。然而,如图 1 所示,与标准 Softmax Attention 相比,线性注意力会遭受显着的性能下降。
本文分析了这个问题的潜在原因,发现:Linear Attention 完全丢弃了 Query 中的幅值信息 (Magnitude Information)。这会阻碍 Attention Score 动态地适应 Query 的 Scale。带来的问题就是:尽管在结构上与 Softmax Attention 相似,但是 Attention Score 的分布却大不相同。
基于此观察,本文提出了幅值感知的线性注意力 (Magnitude-Aware Linear Attention,MALA) 。MALA 将 Query 的幅值融合进了 Linear Attention 的计算中。这调整允许 MALA 生成与 Softmax Attention 非常相似的注意力分数分布,同时表现出更平衡的结构。
1 MALA:幅值感知的线性注意力机制
论文名称:Rectifying Magnitude Neglect in Linear Attention (ICCV 2025)
论文地址:
https://arxiv.org/pdf/2507.00698
代码链接:
https://github.com/qhfan/MALA
1.1 MALA 论文背景
Softmax Attention 卓越的全局建模能力使视觉 Transformer 在各种视觉任务中取得优异的性能,如图像分类、目标检测和语义分割。但是,Transformer 的核心算子 Softmax Attention具有相对于 token 数量 呈现二次方的计算复杂度,计算成本高,阻碍了其在视觉领域的广泛应用。
Linear Attention 从根本上消除了 Softmax 操作。如图 1 所示,通过删除 Softmax 操作,重新排列 的计算顺序,使得 Linear Attention 具有相对于 token 数量 呈现线性的计算复杂度。虽然 Linear Attention 和 Softmax Attention 的形式非常相似,但是 Softmax 操作去掉了之后还是会带来一些挑战,比如性能严重变差。
1.2 Preliminary
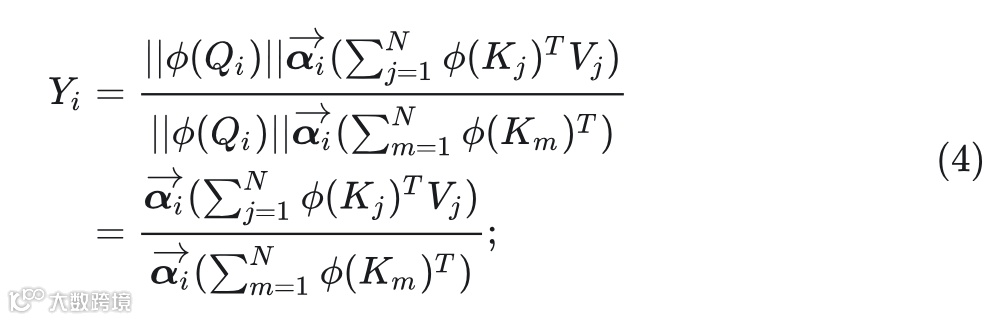
给定一个长度为 和维度 的输入标记序列 ,第 个标记 的输出可以表示为:
其中, 为可学习矩阵, ) 是相似度函数。经典的 Softmax Attention 中, 。这需要计算每对 Query 和 Key 的指数值,带来 的复杂度。
Linear Attention 采用核函数 来近似相似度函数,并将 和 映射为正实数。相似度函数为 。基于这种转换,Linear Attention 可以改写为:
在这种计算形式中, 的操作顺序从 变为 。Linear Attention将计算复杂度从 降低为 。但是,计算复杂性的降低也会相应地导致性能下降。
1.3 Linear Attention 的问题:忽略幅值
本文分析了 Linear Attention 的计算公式,并观察到它完全忽略了 Query 的幅值信息,只保留其方向分量。因此,与 Softmax Attention 相比,Linear Attention 在注意力分数分布方面表现出显著的差异。
具体来讲,如图 2 所示,对于固定方向,随着 Query 的幅值增加,Softmax Attention 中的 Attention Score 分布变得越来越尖峰 (spiky),把更多的注意力集中在 Attention Score 原本就比较高的 Key 上面。相比之下,由于计算方式本身的问题,Linear Attention 常常做不到这点,它要么保持固定的 Attention Score 分布,要么变化很小。
这个现象可能可以解释为啥 Linear Attention 的 local perception 很弱,以及很容易产生过度平滑的 Attention Score[1][2]。
这个现象作者也给了一些分析:
定义:
其中, 表示 的幅值(Magnitude), 表示其方向向量。将此表达式代入 Linear Attention 的公式,得到:
从上式中我们可以观察到 Linear Attention 中 的大小信息完全被忽略。因此,只要 保持固定,Linear Attention 的 Attention Score 的分布就可以保持不变。
这种现象导致 Linear Attention 和 Softmax Attention 的注意力分数分布存在显著的差异。在 Softmax Attention 中,完全考虑了 的大小。给定 之后,那两个不同的 Key: 的 Attention Score 之比由下式给出:
现在假设 为 分配了更高的注意力权重,即 。当 的方向保持不变并且其大小乘以 时, 的 Attention Score 之比变为:
式中,由于 ,因此 。
由于 在所有的 上的 Attention Score 的总和为 1 ,式 5 和 6 表明,随着 的幅值 的增加, 的注意力变得更加集中于"原本 Attention Score 较高的 Key"上面,而越来越不集中于"原本 Attention Score 较低的 Key"上面。
然而,对于 Linear Attention,这种情况不会出现。 与 的 Attention Score 之比由下式给出:
式 7 表明,无论 的大小如何变化,Linear Attention 中的 Attention Score 始终保持相同的分布,不会聚焦于特定的 Key。这种区别解释了为什么与 Softmax Attention 相比, Linear Attention 学习的注意力分数不那么尖峰,以及为什么学习到的特征表现出较弱的局部性。
除了上述理论分析外,作者还进行了实验验证。如图 3 所示。基于 DeiT-T,作者将 Softmax Attention 中的 重写为 ,从而忽略幅值信息。可以观察到模型性能显着下降,与基于 Linear Attention 的模型的性能相似。
作者在图 4 中可视化了注意力分数,发现分布收敛到 Linear Attention 的分布,变得更加平滑和失去局部性。
1.4 幅值感知的线性注意力机制
为了弥合 Linear Attention 和 Softmax Attention 之间的差距,本文的目标是在 Linear Attention 中融入幅值信息 ,并表现出与 Softmax Attention 相似的变化趋势。
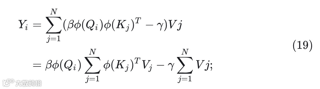
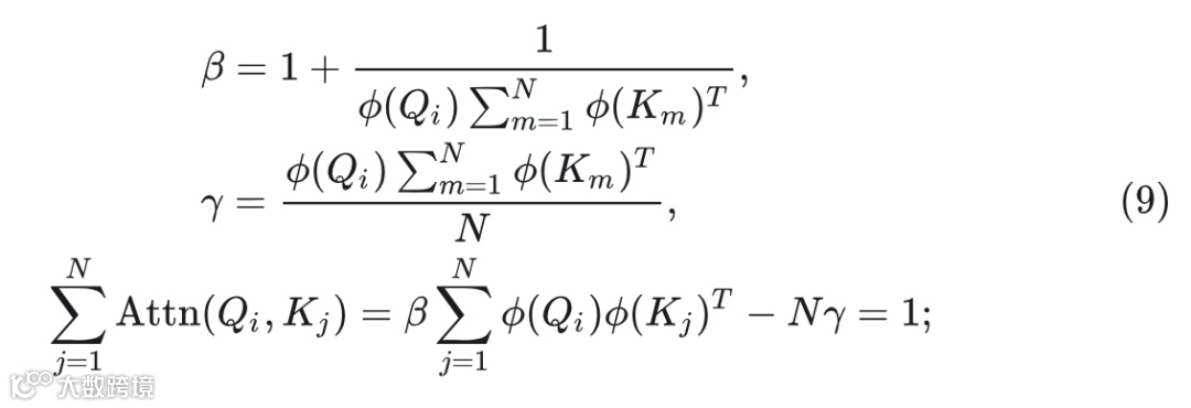
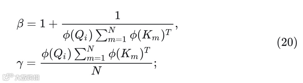
本文提出了幅值感知的线性注意力机制 (Magnitude-Aware Linear Attention, MALA)。MALA 引入了一个 scaling factor 和一个 offset term,同时丢弃基于除法的归一化,改为基于加法的归一化:
式中,
当将所有 Attention Score 视为正值时, 对 和 的 Attention Score 之比由下式给出:
假设 给 分配了更高的 Attention Score,即 以及 。当 的方向保持不变,其大小乘以 时,新的 和 可以写成:
此时, 对 和 的 Attention Score 之比变为:
式中,由于 以及 ,可以直接证明 。[证明 1]
据此我们可以进一步证明,当将所有注意力分数视为正值时, 。[证明 2]
此外,由于 ,随着 的大小的增加,MALA 更多地关注那些原本就具有更高 Attention Score 的 Key,更少地关注那些原本就具有更低 Attention Score的 Key,这种行为类似于 Softmax Attention。
证明 1: 。
证: 因为 ,则:
展开有:
因为 ,因此 。根据式 14,有:
得证。
证明 2: 。
证: 定义:
假设 将更多的注意力分配给 ,因此有: 。考虑一个 的函数:
函数 对 的导数可以写成:
根据式 10 ,推出 。
根据式 12 ,推出 。
根据式 15, 成立。又因为函数 对 单调递增,有: 。因此: 。
得证。
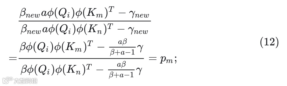
尽管随着 或 的大小的增加,Softmax Attention 和 MALA 都表现出更集中的注意力分数分布的趋势,但两者的速率不同。
从式 6 中可以看出,在 Softmax Attention 中,Attention Score 的比值 相对于 的 scaling factor 呈指数增长。
从式 12 中可以看出,在 Linear Attention 中,Attention Score 的比值 相对于 的 scaling factor 呈分数增长。
MALA 中 的变化小于 Softmax Attention 中的变化,可能会帮助 MALA 在性能上优于 Softmax Attention。
如图5所示,可视化了不同机制的 Attention Score。可以看出,Softmax Attention 的分数太 spiky,主要关注局部区域。相比之下,Linear Attention 的分数过于平滑,过度忽略局部信息。MALA 有效地平衡了这两个方面,表明 MALA 中 的逐渐变化会导致 Attention Score的分布更合适。
再把 Value 考虑进去,得到 MALA 的完整公式为:
式中,
1.5 实验结果
ImageNet 图像分类
图 6 是 ImageNet-1K 实验结果。在模型大小相当的情况下,MAViT 取得了最好的结果。使用 98M 参数和 16.1G FLOPs,MAViT-L 达到了 86.0% 的精度。这结果超过了 Linear Attention 方法 MILA,提高了 0.7%。此外,MAViT-S 仅使用 27M 参数和 4.6G FLOPs 实现了 84.7% 的精度,超过了更大的 MILA-S。
目标检测和实例分割
如图 7 和 8 所示,MAViT 与基于 Linear Attention 的其他模型相比表现出显著的优势。此外,它在所有模型尺度上超越了利用 Softmax Attention 的模型。具体来说,MAViT-B 在 Cascade Mask R-CNN 框架下实现了 55.5APb 和 48.0APm,甚至超过了更大的 CSwin-B (53.9APb 和 46.4APm)。
语义分割
如图 9 所示,MAViT 在各种大小上都优于其他模型。具体来说,MAViT-B 在 UperNet 框架下实现了 52.8 mIoU,超过了更大的 MILA。MAViT-L甚至可以达到 53.6 mIoU。
推理效率
图 10 展示了不同模型在低分辨率任务上的推理效率,其中 MAViT 在吞吐量和准确性之间取得了最佳平衡。同样,对于高分辨率任务,图 11 中的结果进一步突出了 MAViT 的卓越性能。这表明 MALA 不仅的理论复杂度明显低于 Softmax Attention,而且在实践中也实现了较高的推理速度。
语言模型实验
作者基于 15B token 训练了 0.3B MALA 模型,并在几个常用的基准上评估模型。结果如图 12 所示,在四种常用的基准 (LMB、PIQA、Hella 和 Wino) 中,MALA 表现出强大的性能。
生成模型实验
结果如图 13 所示,与基于 ConvNet 或者 Transformer 的其他方法相比,基于 MALA 的模型表现出更好的性能和更快的速度,证明了 MALA 的优越性。
参考
-
Efficientvit: Lightweight multi-scale attention for highresolution dense prediction -
Flatten transformer: Vision transformer using focused linear attention
公众号后台回复“极市直播”获取100+期极市技术直播回放+PPT
极市干货
# 极市平台签约作者#
科技猛兽
知乎:科技猛兽
清华大学自动化系19级硕士
研究领域:AI边缘计算 (Efficient AI with Tiny Resource):专注模型压缩,搜索,量化,加速,加法网络,以及它们与其他任务的结合,更好地服务于端侧设备。
作品精选


