极市导读
本文提出无监督视觉思维链框架,通过自生成的偏好数据与改进的 DPO 算法,使模型在零人工标注条件下动态聚焦关键区域并完成细粒度图像推理,显著优于有监督方法。 >>加入极市CV技术交流群,走在计算机视觉的最前沿
本文第一作者是来自南洋理工大学的博士生赵克森,主要研究方向为 Reinforcement Learning in MLLMs. 该论文已被 ICCV 2025 录用。
随着文本领域中思维链(Chain-of-Thought,CoT) 推理机制的成功应用,研究者开始将该方法引入视觉理解任务,以提升模型的推理能力和可解释性。
然而,现有模型局限于文本级别的思维链推理,且处理图像的粒度固定,难以根据语义线索动态关注图像中的关键区域。针对上述问题,本文提出 UV-CoT(Unsupervised Visual Chain-of-Thought),一种无监督视觉思维链推理新框架。
该方法以「关键区域→推理过程」的人类视觉理解方式为参考(如下图所示),设计了无监督的数据生成与偏好优化机制,动态聚焦关键区域,实现细粒度推理,显著提升了模型的空间感知与图文推理能力。
-
论文标题:Unsupervised Visual Chain-of-Thought Reasoning via Preference Optimization
-
论文链接:https://arxiv.org/abs/2504.18397
-
项目地址:https://kesenzhao.github.io/my_project/projects/UV-CoT.html
-
代码仓库:https://github.com/kesenzhao/UV-CoT
-
开源模型: https://huggingface.co/papers/2504.18397
背景:有监督训练需要高昂的人工成本
现有方法采用有监督微调(Supervised Fine-Tuning, SFT)策略训练模型,使用大量有标签的思维链推理数据,由人工标注关键区域及其推理过程。这类方法面临以下挑战:
(1)人工标注成本高,扩展性差:标注关键图像区域和推理路径需要耗费大量人力和时间,尤其在复杂视觉语义理解任务中,难以适应多任务或大规模场景。
(2)训练信号单一,泛化能力有限: SFT 仅利用人工标注的「正样本」(正确区域及回答),忽略其他潜在合理或不合理的区域与推理路径,导致模型在未知场景下的泛化能力不足。
UV-CoT 设计了一套自动化的偏好数据生成与评估流程,结合改进的偏好优化算法 Score-DPO(sDPO),在不依赖人工标注的前提下,通过偏好评分排序引导模型实现无监督图像级思维链学习(如下图所示)。
贡献一:无监督偏好数据生成与评估
UV-CoT 利用目标模型 和评估模型 ,为图像-问题对生成多样化的中间推理响应,并通过偏好评分构建偏好数据集。主要步骤如算法 1 所述:
-
响应生成:在每个推理时间步 t ,使用目标模型 通过随机种子生成 n 个多样化的响应 (包括边界框和中间推理结果)。 -
响应评估:评估模型 综合考虑所选区域的得分 及对后续回答的影响 。
-
偏好对构建:从响应中随机选择 k 个偏好对(偏好和非偏好思维链),形成偏好数据集。
-
响应选择:保留最高评分的响应链,用于下一时间步的推理。
通过动态生成偏好数据,UV-CoT 减少了对高质量标注数据的依赖,能够在无监督数据条件下实现图像级思维链推理。
贡献二: sDPO 与迭代学习
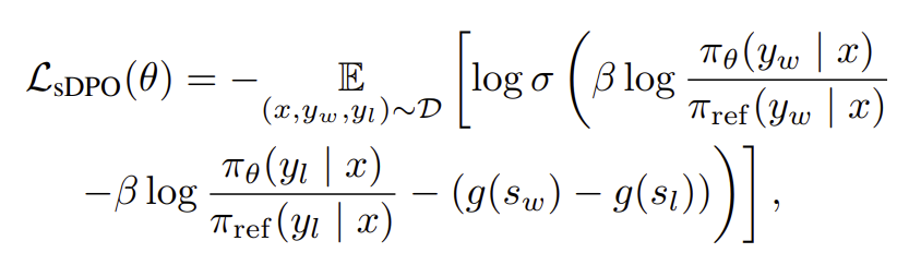
UV-CoT 使用改进的直接偏好优化(DPO)算法 sDPO,通过引入偏好分数差异优化图像级思维链推理,并采用迭代学习策略动态适应模型输出分布。sDPO 损失函数如下:
相比标准 DPO,sDPO 通过 引入偏好分数的差异,量化偏好和非偏好响应之间的强度,提升对关键图像区域的影响建模。
迭代学习(如算法 2):将数据集分为 m 个子集,迭代 m 次,每次使用当前模型 生成偏好数据 D_i,并用 sDPO 优化得到下一模型 。通过动态更新偏好数据,缓解训练数据与模型生成分布的差异,增强训练鲁棒性。
实验亮点
显著性能提升(表 1):在六大基准上,优于有监督的思维链模型 Visual-CoT-7B,远超目标模型 LLaVA-1.5-7B 和其他无思维链模型。
泛化能力强,易于拓展(表 2):在零样本设置下,UV-CoT 平均提升 2.5%,添加额外无标注数据后,平均提升达 5.1%。
胜任高分辨率场景(表 3):在 V* Bench 上,UV-CoT 平均得分 0.402,平均提升 5.5%,尤其在 OCR 任务中提升 8.4%。
不依赖评估模型,边界框生成质量高(表 5):UV-CoT 通过自评估(目标模型作为评估器)表现仍远超目标模型 LLaVA-1.5-7B(+4.8%),接近 12B 模型 OmniLMM-12B(-0.2%)。将 UV-CoT 生成的边界框应用于 OmniLMM-12B 和 LLaVA-1.5-7B 辅助推理,性能分别提升 7.3% 和 4.7%。
偏好数据与思维链推理可视化:
结语
UV-CoT 提出了一种创新的无监督视觉思维链推理框架,通过自动化的数据生成与对比评估机制,成功摆脱了对人工标注的依赖,实现了关键图像区域的自动识别与推理优化。该方法为高效、可扩展的多模态推理提供了新思路,为未来无监督视觉理解研究奠定了坚实基础。
公众号后台回复“数据集”获取100+深度学习各方向资源整理
极市干货

点击阅读原文进入CV社区
收获更多技术干货

