极市导读
手把手教你把朴素的优化算法套上 Regret Bound 的数学外衣:六步流水线即可量产 O(√T) 上界,让审稿人一眼高级,轻松提升论文“档次”。 >>加入极市CV技术交流群,走在计算机视觉的最前沿
这篇文章我来分析一个我发现的有趣的现象。好多论文都爱推导“Regret Bound”
前两天刷到这个文章
本科生开发AI新算法媲美SGD、Adam,北大95后学霸:这是我第一次研究优化方法
https://zhuanlan.zhihu.com/p/57915596
我们看看大学霸怎么做的(ADAPTIVE GRADIENT METHODS WITH DYNAMIC BOUND OF LEARNING RATE )
再找一篇量化领域的牛X工作
“Towards Unified INT8 Training for Convolutional Neural Network ”用int8全流程训练神经网络
是不是感觉很相似?
你再去翻一翻顶会的很多论文,这个东西经常出现。已经成为一种标准的学术包装的工具。
也许在一些大组已经广为流传,互联网上没多少人注意到。
看起来很吓人,然而推导并不难。完全可以流水线化。
1 初探 Regret
举一个简单的例子
小明每天都在炒股
但问题是你没法预知未来。你今天选了 A 股,结果 B 股暴涨,你就会说:“我真后悔没买 B!
数学上,后悔 就是:
你实际赚的钱 vs 如果你一直买“最赚钱的那只股”,能赚多少钱的差距
我们把这个差距叫做 Regret(后悔值)。
稍微嵌入一点数学公式可以表示成这样
你每天做一个决策 当天的"损失"是 如果你一直用"最优策略" ,每天的损失是 那么,经过 天后,你的总 Regret 是:
最后的推导结果应该是,看到Rt的增长究竟是O(n^2)还是O(n)或者是O( sqrt(n) )
因为我们控制不了每次的决策都落在最优上。因此只能考察“增长”的时间复杂度
2 Regret Bound流水线
这里用optimization举例子
Step1:先写一个"能量函数" 最常用的是欧几里得距离 然后我们看它怎么变化: 这叫"递推关系"
Step2 :代入优化算法的更新规则 比如你用的是 :
代入上式:
整理一下:
Step3:利用凸性 如果 是凸函数,就有
也就是
Step4 :结合上面两步 从递推式:
代回去:
移项
Step5 :对 到 求和右边 :
所以:
Step6:假设学习率和梯度有界 假设 (Lipschitz连续) 假设 假设 (凸优化标准结论) 代入:
所以:
得到RegretBound:
这就是一个标准的 RegretBound!
在使用梯度下降,并且给一个这样的界。此时是根号的复杂度。(最优学习率上界)
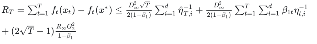
3 天才本科生的Regret Bound推导流程
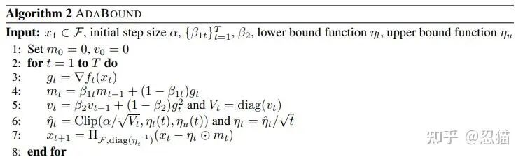
论文:ADAPTIVE GRADIENT METHODS WITH DYNAMIC BOUND OF LEARNING RATE
我们要证明论文的核心公式
先说一下这个adabound算法的流程
我们可以注意到,整个算法首先1和2就是标准的Adam操作。然后3是一个clip,4是一个学习率调度。
第 5 步。这个投影操作定义为:
这可以简写为:
其中 。
其实我写到这里突然想到。我们的很多二阶方法。其实都是在对学习率缩放。在fisher使用对角近似这就是Adam。本质上都是对不同方向的学习率投影(缩放)。
对于这个投影操作,如果Q是单位矩阵,这就是欧几里得距离。
接下来我们讨论论文中的推导过程
以下全部用图片展示。知乎的公式太难用了
Done
感谢阅读,祝我们每个人都能学会包装,“水”出更多的论文!
公众号后台回复“数据集”获取100+深度学习各方向资源整理
极市干货

点击阅读原文进入CV社区
收获更多技术干货

