极市导读
微软前AI副总裁兼杰出科学家Sebastien Bubeck发文表示GPT-5 Pro从零攻克了数学论文中的未解区间,这个发现让他大受震撼。该发现引得众多大佬转发,OpenAI总裁认为AI或将加速数学研究。>>加入极市CV技术交流群,走在计算机视觉的最前沿
AI真的能解决人类的前沿问题吗?
比如类似庞加莱猜想、求解麦克斯韦方程、费马大定理、黎曼猜想等问题。
今天这个问题有了答案。
AI还真的可以!完全独立,不参考人类已有的任何方法。
昨晚,GPT-5 Pro可以从零开始完全求解一个复杂的数学问题。
并且再次强调,它没有使用任何人类此前的证明方法。
而它的答案比论文中的求解方法都要好。
不过值得人类庆幸的是,论文作者后面又提供了全新的方法超过了AI。
Sebastien Bubeck是OpenAI的研究工程师,此前曾担任微软人工智能副总裁兼杰出科学家。
他把一篇论文直接扔给了GPT-5 Pro。
这篇论文研究了一个非常自然的问题:在光滑凸优化中,梯度下降法的步长η满足什么条件时,迭代点所对应的函数值形成的曲线是凸的?
论文地址:https://arxiv.org/pdf/2503.10138v1
在论文的v1版本中,他们证明了如果η小于1/L(L为光滑度),则可以得到此属性。
如果η大于1.75/L,作者他们就构造了一个反例。
因此,未解决的问题是:在区间[1/L,1.75/L]内会发生什么情况。
首先,简单解释下这个问题。
梯度下降就像下山,每一步要选一个步长η。L可以理解成地形的「弯曲程度」(越大越陡/越敏感)。
论文不只关心「会不会往下走」(单调下降),还关心下降的轨迹是不是「凸」的:也就是每一步的进步幅度不会忽大忽小,不会「前面像平台、后面突然跳崖」。
这对何时停下来很有用——凸就表示越来越平稳,不会突然又大降。
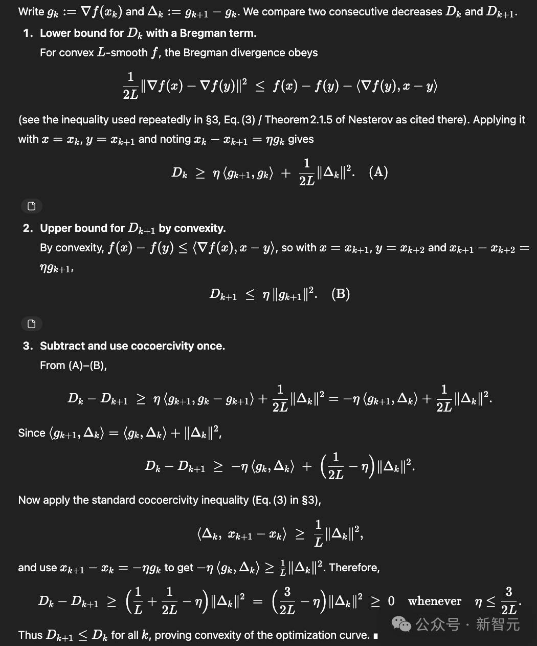
Sebastien用GPT-5 Pro去攻这个未解决区间,模型把已知下限从1/L推进到1.5/L。
以下是GPT-5 Pro给出的证明。
虽然初看不明觉厉,但整体证明过程看起来非常优雅。
本来这个发现让Sebastien兴奋了好一阵,甚至想要直接发一篇arXiv论文。
但是,人类还是比AI快了一步。
论文原作者很快发了v2版本,彻底收尾,他们将阈值改写1.75/L。
Sebastien认为这个发现依然非常令人鼓舞,为什么?AI不是并没有打败人类吗?
因为GPT-5 Pro在证明中,它试图证明的是1.5/L而不是1.75/L,这也表明GPT-5 Pro并没有直接去搜索v2版本。
另外,上述证明与v2的证明也非常不同,它更像是v1证明的一种演进。
这么看,现在的AI能力,不仅仅是博士级,很多时候都超过博士了。
这个发现也让很多大佬们表示,AI下一个可能改变和影响的就是数学领域。
在AI的帮助下,人类知识的边界将会再次被拓宽。
OpenAI的总裁Greg Brockman甚至表示这可能是AI在数学领域展现生命力的一种迹象。
此外,这次发现也和之前OpenAI官宣自己拿下IMO和IOI金牌不同。
这次攻破数学题的模型,就是面向用户的GPT-5 Pro版本,而不是内部推理模型。
Sebastien表示这个结论是经过自己25分钟验证。
作为前微软人工智能副总裁兼杰出科学家,他的证明应该没问题,看来AI确实实际证明了该数学问题。
GPT-5发布后虽然毁誉参半。
但是,GPT-5 Pro是真的达到,甚至超过了奥特曼所说的「博士级」AI。
虽然这次解决的问题还没有超过人类,但这种完全自主、自发现的能力苗头还是彰示了AI的能力。
这让我想起了流浪地球里的MOSS,也是自发现、自组织、自编程的AI。
Sebastien是一个很厉害的人。
他目前在OpenAI从事人工智能相关的工作。
在此之前,Sebastien曾担任微软的副总裁兼首席科学家,在微软研究院工作了10年(最初加入理论研究组)。
Sebastien还在普林斯顿大学担任了3年的助理教授。
在Sebastien的职业生涯的前15年里,他主要研究凸优化、在线算法以及机器学习中的对抗鲁棒性。
因这些研究工作多次获得最佳论文奖(包括STOC2023、NeurIPS2018和2021最佳论文奖、与微软研究院实习生合作获得的ALT2018和2023最佳学生论文奖、COLT2016最佳论文奖以及COLT2009最佳学生论文奖)。
他现在更加关注于理解智能是如何在大语言模型中涌现的,以及如何利用这种理解来提升大语言模型的智能水平,可能最终实现通用人工智能(AGI)。
Sebastien们将这种方法称为「AGI物理学」,因为他试图从不同的尺度(参数、神经元、神经元组、层、数据课程等)揭示AI系统各部分如何协同工作,从而产生这些模型惊人且出人意料的行为。
看起来,像Sebastien这样的数学家、科学家们正在致力于尝试破解大模型的黑箱之谜。
希望AI在拓展人类认知边界的同时,人类也能破解大模型的秘密。
公众号后台回复“数据集”获取100+深度学习各方向资源整理
极市干货

点击阅读原文进入CV社区
收获更多技术干货

