1.背景
2.海量消息分发的挑战
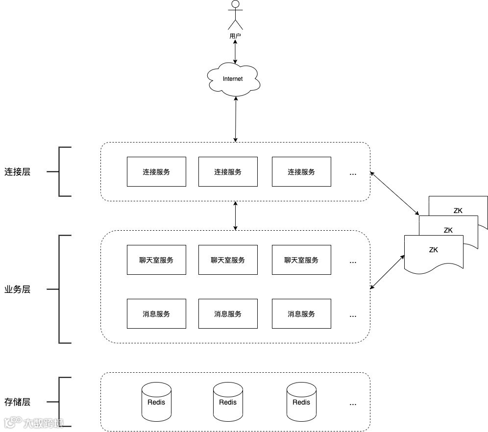
3.聊天室架构模型

4.聊天室消息分发解决方案
图4-1
分发(图 4-1)
1.用户 A 在聊天室中发送一条消息,首先由聊天室服务处理
2.聊天室服务将消息同步到各消息服务节点
3.消息服务向本节点缓存的所有成员下发通知拉取
4.如图『消息服务-1』将向用户 B 下发通知

拉取(图 4-2)

5.聊天室消息分发之消息丢弃策略

5.1 上行限速控制(丢弃)策略
5.2 下行限速控制(丢弃)策略
5.3 重要消息防丢弃策略
6.结束语
精彩推荐

点击阅读原文 了解更多
↓↓↓





