
彩妆防褪色方法的分析研究
课程讲义(三)
主讲人:熊永攀
六、防褪色的实例说明:
6.1 亚丁香酯的防褪色分析
6.1.1 亚丁香酯——独特的光敏物质的稳定剂

6.1.2颜料稳定性测试
测试条件
Suntest CPS, fullspectrum (Atlas, Sonnensimulator)
1 h = 300 kJ/m² of UV (6 MED) in Borax-vessels(2, 4, 6, 8, 10, 14, 16, 20, 24, 28, 30, 32, 36 h)
Control: non-irradiated, stored in the dark
测试设计如下表:

6.1.3 Tested dyes(被试验的染料)
FD&C Blue No.1 (CI 42090)
FD&C Yellow No. 5 (CI 19140)
FD&C Red No. 40 (CI 16035)
D&C Red No. 33 (CI 17200)
D&C Orange No. 4 (CI 15510)
FD&C Red No. 4 (CI 14700)
6.1.4 Stabilizers(对比试验的光稳定剂)
Control: without stabilizer(无稳定剂)
0,05% Diethylhexyl syringylidenemalonate (亚丁香酯)
0,1% Diethylhexyl syringylidenemalonate(亚丁香酯)
0,1% Benzophenone-3 (BP-3) = benchmark(二苯甲酮-3)
0,1% Benzophenone-4 (BP-4) = benchmark(二苯甲酮-4)
0,05% Market Stabilizer (MS) = benchmark(市面上的某稳定剂)
6.1.5 实验结果
1)D&C Orange No.4 / CI15510

Left samples - stored in the dark(左边的样板为储存于暗处)
right samples – irradiated for 36h(右边的样板经历36小时光辐射)
2)FD&C Blue No. 1 / CI42090

Left samples - stored in the dark,
Right samples – irradiated for 36h (exception BP-4)
3)FD&C Yellow No. 5 / CI 19140

Left samples - stored in the dark,
Right samples – irradiated for 36h (exception BP-4)
4)D&C Red No. 33 / CI 17200
Left samples - stored in the dark,
Right samples – irradiated for 36h (exception BP-4)
5)FD&C Red No. 40 / CI 16035

Left samples - stored in the dark,
Right samples – irradiated for 36h (exception BP-4)、
Overview dye stabilization (各类染料稳定性总结)

6.1.6亚丁香酯的稳定作用
1、亚丁香酯对有机防晒剂BMDBM(Butyl Methoxy Dibenzoylmethane)的稳定作用
1)BMDBM is photo-unstable

2)亚丁香酯&BMDBM的稳定测试

2、亚丁香酯对维生素E的稳定作用

Light Source: Atlas sun simulator; Tocopherol light absorption measured at 298 nm
Tocopherol (0.1%) + 亚丁香酯 (0.2%) in EtOH solution
3、亚丁香酯对香兰醛的稳定作用

Light Source: Atlas sun simulator; Vanillin light absorption measured at 281 nm
Vanillin (0.1%) + 亚丁香酯 (0.5%) in EtOHsolution
6.1.7 亚丁香酯潜在的市场应用领域

6.1.8亚丁香酯在某种情况下失效




6.2BS酯 (异十二醇水杨酸酯)在延缓褪色中的应用
6.2.1化学名称和结构
Butyloctyl Salicylate
异十二醇水杨酸酯
以下简称BS酯
6.2.2 Solubility for Common Crystalline UV filters
对于常见结晶性防晒剂的溶解性
是常规结晶性防晒剂的出色溶剂
6.2.3 Benefits in Dispersions 助分散溶解的优势Pigment Wetting: What it is and how it helps
颜料铺展性:什么是颜料铺展性,如何实现的?
No clumps, no fuss: When Combined with powdered pigment, a better wetting liquid (such as BS酯) displaces more air, accelerates deagglomeration of the pigment particles and improves pigment spreadability, producing a more uniform film.
不结团结块:液体和粉状颜料结合。比较好的铺展性液体(如BS酯) , 可以排除更多的空气,加速色素粒子的解聚并增加扩散性,产生更均一的膜状态。
What you see is what you get: Better pigment wetting improves color matching in cosmetics. With good pigment wetting, the color of the product in the container maintains its hue upon application to the skin.
所见即所得:更好的颜料铺展性可提高化妆品的色彩一致。拥有好的颜料铺展性,在使用时产品的色泽才能在容器中更好保持。
6.2.4 High polarity compared to other commonly used UV filter solvents, provides good solvency for crystalline UV filters and photostability to labile UV filters.
与其他普通的防晒剂溶剂相比,对结晶性防晒剂有更好的溶解性,对易分解防晒剂有更好的光稳定性。
6.2.5 在护肤类化妆品中,一些活性物物如抗衰老活性成分,美白活性成分等涂抹于皮肤上并暴露在日光下后,会分解,从而失去活性。需对这些活性成分进行光稳定,使它们保持完全的活性,并由此赋予配方功效(护肤类、防晒类),使产品无论日夜都达到最佳的效果。
在护肤体系光稳定作用:
Ø 提高活性物稳定性
Ø 延缓变色
美白精华, 右边图加5% BS酯(异十二醇水杨酸酯) ,左边图未加。光照(较强紫外线)1周后拍照。
活性物:熊果苷,VC乙基醚,EurolBT

6.2.6
彩妆应用测试
延缓颜料变色现象
Soft-Tex® D&C Red 27 Al Lake(C14-7702) ;
测试配方

户外放置三天(有太阳直射大约20h),对比三个样品颜色变化
6.3RC967的应用
4-Hydroxy-dimethoxybenzylmalonate烷基苄基丙二酸
以下简称苄基酸RC967
苄基酸抗氧化能力比抗坏血酸略高,其保持活性的时间更长达600分钟,达到了生育酚乙酸酯(维E衍生物)的稳定程度。同时吸取了维C和维E的优点。
此外,通过人体测试,苄基酸能明显减少各种自由基对皮肤的伤害,其中不仅包括单态氧、臭氧产生的自由基,还有光照产生的过氧化物和超氧化物,防护范围很广,而且这种抗氧化力是缓释的,能持续释放,日夜长效作用。不单如此,苄基酸还有一项潜在的能力。苄基酸本身是抗氧化剂,并非防晒剂,但是它能辅助吸收UVA,并且增强诸如AVOBENZONE、OMC等紫外线吸收剂在配方中的稳定性,防止化学性防晒剂经紫外线照射后自身产生新的自由基。综上所述,苄基酸不仅有优良的抗氧化能力,还具备光保护作用和紫外线过滤功能。


6.4PL油在防褪色中的应用
INCI Name: Octocrylene (and) Homosalate (and) Butyl Methoxydibenzoyl Methane (and) Tocopherol (and) Helianthus Annuus Seed Oil
INCI名称:: 辛水杨酸(和)甲基水杨醇(和)丁基甲氧基二苯甲酮(和)生育酚(和)向日葵籽油
以下简称PL油









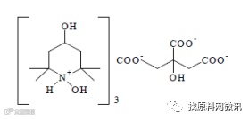
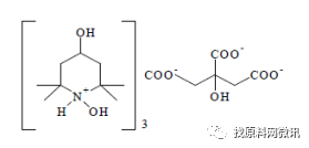
6.5哌啶醇盐在防褪色中的应用
Tris(tetramethylhydoxypiperidinol) citrate哌啶醇盐

激发态猝灭剂CMJ

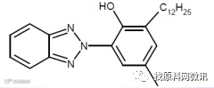
6.6 苯并三唑-1

在洗发水中的应用

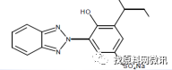
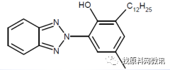
6.7苯并三唑-2

2008年曾经用于出口日本卸甲水。各种颜色。添加苯并三唑-2,对颜色保护有奇效。
苯并三唑-2 通过以下机理提高颜色的光牢度:
(1)阻止和减少分子中发色团对U VA 和UV B紫外光的吸收从而有效降低分子中化学键的断裂。
(2)使处于激发态的发色基团失活从而减低引发光催化反应的可能性。
(3)将生成的自由基和过氧化物转化为更稳定的化合物, 从而保护配方中的其他成分。也就是猝灭活性基团。
紫外辐射被有机分子吸收后会引起化学键的断裂从而导致分子的降解。同时, 紫外辐射也会激发电子转移而产生高活性的自由基。然而, 紫外光并非导致化合物降解的唯一因素。可见光等其他波长的光也会促成分子的光化学变化。它们能够将分子从基态转化成高活性的激发态。苯并三唑-2对UVA 和UVB 紫外光均有强的吸收, 同时它能有效地与这些高活性的自由基作用而稳定配方。这不但对于产品颜色的保护很重要, 同时对配方中香精的保护亦具有实际意义。所以从这点意义上讲, 苯并三唑-2 是全波段的光稳定剂。
6.8 苯并三唑-3

6.9苯并三唑-4

6.10 丁基肉桂酯


6.11 十八烷基丁基肉桂酯


6.12丁基双苯酚


6.13猝灭剂P25
Polyester-25

P25是三重淬灭发色团的单态猝灭光稳定剂,能够将那些光不稳定却有效的的活性成分应用到配方中,并且协助减缓褪色
防褪色的实例的最后包材说明:
n 在包材瓶子材料中添加紫外线吸收剂、抗氧化剂等,有助于减轻褪色。

中性配方,中性原料
6.15锰紫色粉如何防止褪色,变色
中性配方,中性原料
6.16化妆粉块在实际生产中的防褪色方法
红色腮红,实际上比较容易褪色,除了采用上述各类防褪色体系之外,在实际生产过程中,先做半成品,颜色应调制得比标准样品略深、略偏红相一点,然后散装存放半成品一周到二周,再取粉对色,根据情况微调颜色一次,则此款腮红的成品颜色会更加稳定。
七、总结

更多课程讲义干货内容
请关注找原料网微讯

菜单“微课堂”>“课程资料”
可免费下载微课课件等技术资料哦!

