点击蓝字关注这个神奇的公众号~
作者简介:化学专业技术男,寄居蟹死宅,写文章为自娱自乐,不太顾及读者感受。所谓物以类聚,潇哥找到任工的时候,发现咱两真的好像呀,遂引为知己。
古希腊哲学家赫拉克利特说,
Everything flows。

昆士兰大学著名的沥青实验
Flow的希腊语是Rheos,所以研究事物流动的就叫Rheology。

希腊流变协会的Logo
比如,流的快的水是瀑布。

流的慢的是冰川。

粘度
描述硬邦邦的叫硬度,描述黏糊糊的东西就是粘度。
不同的粘度会直接影响到使用体验。

牛大爷定义了粘度,所以理性流体就叫牛顿流体,牛顿流体的粘度不随剪切力和剪切速度而变化。

剪切力不是那个力,剪切速度不是那个速度

各种非牛顿流体
现实中没有这么理想化的东西,而是各种特性的混合,只是不同的特性比重不同。比如,硅油就很接近牛顿流体。
有的流体,不是一直都是牛顿流体,而是当剪切力大于某一个值以后才开始流动,叫做塑性流体,比如牙膏。
有的流体,随着剪切速度的增加,体系中不溶颗粒的相互作用,影响分散相的流动性,粘度上升,叫做膨胀性流体,比如粉类分散浆。

绝大多数的流体,随着剪切速度的增加,结构成分趋向于顺着流动方向排列,粘度下降,叫做假塑性流体,比如乳液。

粘度还和时间有关,有的流体随着剪切时间增加,粘度下降,卸力后,恢复原始状态,比如高分子溶液。

有的流体随着剪切时间增加,粘度上升,比如石膏。
在绝大多数流体的粘度随着温度增加而下降时,有的流体却可能表现出相反的性质,比如一些PEG/PPG的共聚物。

此外,还有其他因素会影响粘度,比如流动方式和压强。


所以,别看起来很专业的说,“给我来一个2000粘度的乳液”,得给个条件,不然,丢块蜂蜡,加加热,也能找到测出来2000mPa·s的条件。
所以,不是粘度低的就一定能从瓶子里泵出来?
你看,不同剪切速度下,粘度是变化着的。根据结构的计算,泵出这个动作产生的剪切力在100-300Pa范围内,因此,要看的应该是在这个范围内的粘度表现。

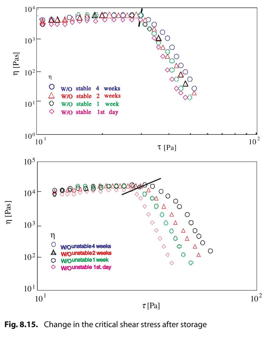
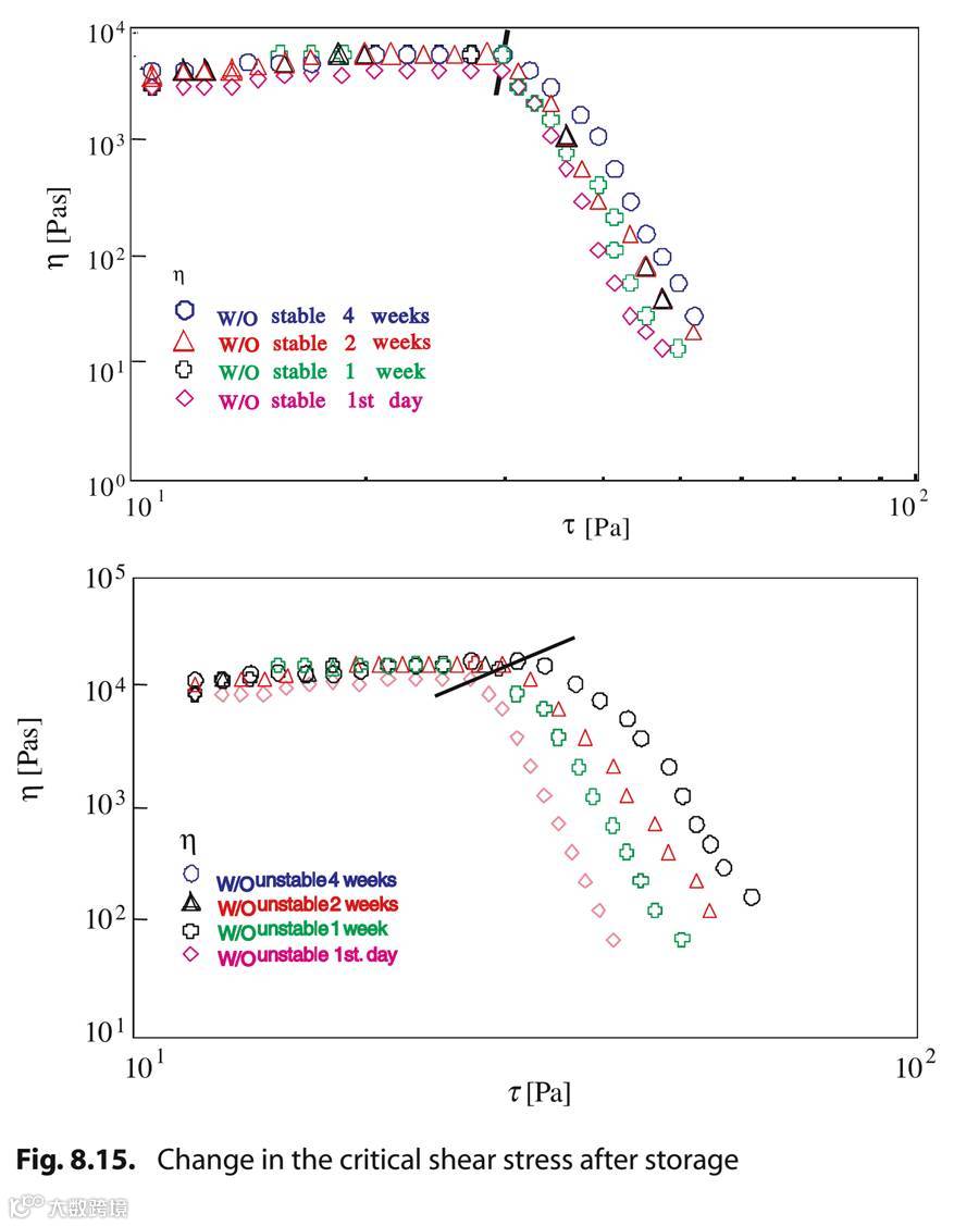
屈服值
除了粘度,我们在塑性流体中看到的另外一种特性,即流体在外力作用下,超过一定值才开始发生流动,这就要用屈服值来描述。
一方面,高屈服值的霜上手会比低屈服值的要厚重。

另一方面,如果屈服值低于重力产生的剪切力,那么料体就比较难悬浮粒子。
比如,一般我们认为乳化的粒径越小,稳定性会越好。一种有一部分的原因是由于小粒径的体系,屈服值也会更高。

通过屈服值的变化,可以一定程度的反应产品的稳定性。

但屈服值也不是越高越好,比如,太高的屈服值会影响料体在瓶体中的残留。

粘弹性
流体还有一个特性,就是粘弹性。弹性相当于弹簧,可以释放此前输入的能量,而液体则将外力所做的功都转化为热能。

储存模量反映弹性,损失模量反映粘性。实际中的流体同时具有储存模量和损失模量,通过测量粘弹性可以用来判断料体内部的结构特性。

不同交联度的聚合物表现出不同的粘弹性
光用眼睛观察料体的外观变化要等到最后一刻才得到结果,测量粘弹性可以更早得到内部结构变化的信息,特别适合快速判断料体的稳定性。


甚至可以找出料体是高温不稳定还是低温不稳定。


顺便也能判断软化的温度,结膏点或是凝固点。

以上的这些骚操作拿普通的粘度计是实现不了的,不过好消息是有一个万用的流变仪可以推荐给大家。
那就是,我们都有的,那双勤劳的手。

好吧,虽然这个不是搞笑,但要真的做研究,还是忽悠老板去买台流变仪吧。
想要了解作者更多,欢迎关注护肤怪谈,一个自娱自乐的护肤吐槽、黑科技和冷知识的公众号。
【往期推荐】
【专栏·约稿】蜗牛滤液提取物 || 使用后爆痘,元凶究竟是不是它?


