
《彩妆防褪色方法的分析研究》
课程讲义(二)
干货太多,这篇文章要讲这些:

四、褪色的原理分析
4.1 对于光致褪色,原理相同,光照使原来的物质分解,而形成新得物质,对光谱的吸收频段改变,因而颜色变化。
一般来说,新物质对光的吸收是多种色光,而原来的物质对某种色光极少吸收,于是,新物质会表现为颜色更趋于白色,而且变得淡些,这就是人们常说的晒掉色了。
4.2 结构决定性质
能量影响结构稳定性,辐射、光照、氧化、温度、金属离子、介质极性、p H 值等条件。
褪色(变色) 机理不同,脂肪族色素主要以光催化氧化、水解重排为主,而芳香族色素主要以结构重排、金属离子配位为主;
光照、氧化、介质极性增加是影响脂肪族色素褪色的主要因素,而某些金属离子的存在、p H 值的改变是影响芳香族色素变色的主要原因;
色素的光稳定性随其理论计算生成热的增加而减小;
4.3 降解机理

4.4 光线示意图

4.5 pH值影响
4.5.1 Maganese Violet 锰紫
化学式MnNH4P2O7
在化学上,有极好的耐酸性,但耐碱性差,抗氧化性和抗还原性均属中等。耐候性、耐光性和耐候性均很好。不渗色也无色移。
在碱性条件下,由紫色、粉色变成无色。
应对措施:采用中性配方、中性原料,回避中和反应。
4.5.2 Ultramarines 群青
化学式Na7Al6Si6O24S3
能耐高温(400℃以下)、耐碱,耐候性及耐光性好,在大气中对日晒和风雨极其稳定,有卓越的7~8级耐光性。但不耐酸,遇酸分解放出硫化氢。
在酸性条件下,褪色到无色,释放臭味。
应对措施:采用中性配方、中性原料,回避中和反应。
4.6 二氧化钛光催化降解导致化妆品加速褪色
4.6.1 TiO2国内外研究进展
TiO2的带隙能为3.2eV,相当于波长为387.5nm光子的能量。当TiO2受到波长小于387.5nm的紫外光照射时,价带上的电子跃迁到导带上,形成空穴/电子对,此时空气中的O2 和H2O与之作用便形成了很高活性的和自由基。
近年来,许多学者对进行了TiO2掺杂技术进行了大量的研究。对TiO2改性的研究主要有掺杂改性工作,包括金属/非金属单元素掺杂改性、金属与金属共掺杂、非金属与非金属共掺杂和金属与非金属共掺杂。常用掺杂金属和非金属主要有Fe3+、稀土元素离子(Ni2+、Co2+、Ce4+、La3+等)、N、S、C、B等。
王建强等在研究Fe3+掺杂对纳米TiO2光催化降解罗丹明B的影响中发现,Fe3+的掺杂形成了空穴捕获中心,能够使电子和空穴有效分离,提高了光催化效率。Asahi等将非金属N替换TiO2中少量晶格氧制备了响应可见光激发的光催化剂。
4.6.2 TiO2光催化氧化原理
TiO2是一种N型半导体,有强的氧化性和还原性,其中锐钛矿型的能带间隙为3.2V,金红石型的能带间隙为3.0V,一般情况下不导电,当在光照或在电场作用下,其价带上的电子较容易跃迁到导带上,同时产生空穴—电子对,溶解氧及H2O与电子空穴发生作用,最终产生具有高化学活性的羟基自由基,羟基自由基能氧化大部分的有机染料,将其最终降解,而且,羟基自由基对反应物几乎无选择性,因而在光催化氧化中起着决定性的作用。
当半导体光催化剂(如Ti02等)受到能量大于禁带宽度(Eg)的光照射时,其价带上的电子(e-)受到激发,越过禁带进入导带,在价带留下带正电的空穴(h+).光生空穴具有强氧化性,光电子具有强还原性,二者可形成氧化还原体系.对于染料光催化降解来说,在可见光照射下,染料溶液的Ti02光催化降解不仅破坏了染料分子中的共轭发色体系,而且破坏了其分子结构,吸附在Ti02表面上的染料被激发后,向Ti02导带注入一个电子生成正碳自由基,导带中的电子可以和溶解在水中的02生成·02,并进一步转化成为HOD·或羟基自由基·OH.这些高活性自由基进攻染料自由基后,·OH与发色基团Ar-N=N-Ar中的-N=N-反应生成Ar-NO,Ar-NA等,经过一系列复杂的氧化反应,染料被分解成小的有机物及矿化产物(如032、H20、N03一、S042-、P043一等),Ti02光催化反应原理如图1所示:

4.6.3 含二氧化钛的化妆品褪色现象
我们常常会发现,添加二氧化钛的唇彩或者粉块,更加容易褪色,都是因为二氧化钛具有催化氧化作用。
二氧化钛和紫外光的协同作用是引起有机染料分子产生光降解的主要因素,并且效果十分显著;
4.6.4 pH值的改变对TiO2光催化的影响
pH值是影响分子筛TiO2降解效率的一个重要参数值。反应溶液初始pH值分别为1.97、4.20、6.38、7.81、11.10、12.23,橙黄浓度50ppm(1ppm=1mg/L),光照强度为1.48mW/cm2。实验结果如表格和图4.6.4


图4.6.4 不同初始pH值下,橙黄的去除率(%)
图4.6.4显示了分子筛TiO2在不同初始pH值下的降解效率,从其中我们可以看到pH值对橙黄的降解效率有明显影响。pH值为12.23时有最快的降解效率,反应120min后,橙黄的去除率就能达到91.46%;pH值为7.81时,橙黄的降解效率明显要低于其他pH值下的降解效率。当溶液为碱性时,随着pH值的增加,橙黄的降解效率是明显增加。这说明橙黄在碱性条件下有很好的降解性。
pH值对光催化效果的影响机理主要体现在以下三方面:1. 降解溶液pH值的变化将影响染料分子在TiO2表面的吸附;2. 羟基自由基(·OH) 在碱性条件下容易生成;3. 在酸性溶液中,TiO2容易发生团聚造成颗粒比表面积降低,从而最终导致其表面吸附染料分子的能力降低。根据等电点理论,溶液中分子分散得越好,受紫外线照射的面积越大,产生的电子空穴越多,同时空穴迁移到Ti02表面的越多,光催化活性就越高。溶液的pH值能改变颗粒表面的电荷,从而改变颗粒在溶液中的分散情况。当溶液pH值接近Ti02等电点时,由于范德华引力的作用,颗粒之间容易团聚形成大颗粒。纳米二氧化钛的等电点pH值为3.0,因此,当悬浮液pH值远离等电点pH值时,由于颗粒相互间的排斥力,其在溶液中分散很好。此时,有机染料被纳米二氧化钛光催化降解的效率更高。
含有TiO2的化妆品,配方pH值为7.81附近时,可能褪色最慢。
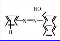
4.7 有机染料光褪色机理
染料的光褪色是复杂的物理化学过程, 不仅有染料分子本身的因素, 还与染色材料、照射光波长及强度、温度、染色介质组分、干湿程度、汗渍等多种因素相关.例如, 用于涤纶纤维的分散染料在用316 nm 波长的光照射时褪色现象明显, 而同样的染料在二乙酸酯和三乙酸酯纤维上的褪色敏感波长是在230 nm 和259 nm[ 1] .含有强供电基的染料容易发生光氧化, 含有强吸电基的染料倾向于光还原褪色[ 2] .汗渍中含有具还原作用的组氨酸成分, 会对染料的光降解起到还原效果[ 2] .单偶氮活性染料在棉纤维上在干态下发生光褪色, 而在合成纤维上在干态下, 不发生光褪色[ 3] .对一些以1-氨基-8-羟基-3 , 6-萘二磺酸(简称H 酸)为母体的活性染料的测试, 结论是pH >5 条件下, 仅邻位羟基偶氮染料解离发生降解[ 4] ;水中有过氧化氢存在会直接影响褪色, 过氧化氢根阴离子(HO-2)是反应的活性组分[ 5] .
染料分子的结构是决定染料光牢度的主要因素.就染料本身而言, 光褪色反应的途径及机理也根据分子结构的不同而异, 依据褪色的方式, 可以分为结构互变和降解两种变化.
前者染料分子受光照射, 发生互变异构, 导致最大吸收波长改变而褪色, 例如偶氮染料的偶氮-醌腙异构变化引起的染料颜色的改变, 醌腙体比偶氮体具有更长的吸收波长.
然而, 更多的褪色是由于染料分子本身在光照下发生化学反应, 转变为降解产物, 而且由于降解产物可能产生致癌的化合物(如胺类)[ , 所以成为研究的重点.

结构互变图
有人曾利用染料膜的方法研究了染色光褪色机理[ 7] , 得出结论是, 染料的光降解依据染色介质的不同通过氧化或还原途径进行, 氧化过程一般发生在非蛋白质纤维上, 在降解过程中有染料、水、氧共同作用, 纤维通常没有直接作用(纤维自身的降解不考虑);而在蛋白质纤维上, 容易发生还原过程, 蛋白质纤维的某些组份(如组氨酸成分)作为还原剂参与反应, 但是也有少量染料在非蛋白纤维上以还原过程褪色, 少数染料由于光反应活性很高, 氧化和还原过程同时进行, 存在着竞争.
4.7.1 染料的光氧化褪色
一般认为光氧化过程经历了以下几个过程:
染料的光氧化褪色图

1)敏化剂受光激发成三重态;2)处于三重态的敏化剂和氧反应生成单重态氧;3)单重态氧和染料进行氧化反应[ .敏化剂可以是其他化合物, 如丁二酮或亚甲基蓝, 也可以是染料本身.在研究不同情况下染料的褪色中, J .G .Neevel 选用2 , 3-丁二酮(CH3COCOCH2)提供羰基作为单重态氧的敏化剂对单重态氧与光褪色的关系进行研究[ 10] , 并选用染料C .I Acid Orange 7 作为研究对象.在试验中分别针对有氧、无氧、苯酚和2 , 3-丁二酮的存在与否四种情况观察染料的褪色规律, 结果如图1
从图1 可以看出, 在有氧的条件下(曲线1)和无氧的条件下(曲线2)的褪色速率相比, 无氧条件下的褪色速率较低;没有丁二酮存在(曲线4)基本没有发生染料的褪色;有苯酚存在(曲线2)和苯酚不存在(曲线1)的情况相比, 褪色速率降低了1/2 , 苯酚对光氧化反应起了阻碍作用, 使染料褪色速率降低.结果说明单线态氧的产生起了决定性作用,通过分析褪色产物, 提出二酮三重态是通过两种不同途径进行消耗的, 反应式如下,

一种是通过能量传递, 氧猝灭二酮的三重态, 从而形成单重态氧, 此过程为主, 约占71 %;另一种是氧和二酮的三重态相结合, 生成过氧化酰基, 两种过程同时进行.


除了丁二酮这样的化合物可以起到敏化单重态氧的作用外, 一些特定结构的染料本身也可以起到敏化剂的作用, 如含酚偶氮染料同样会引发出单重态氧而进行光氧化褪色的, 由于偶氮染料存在偶氮-醌腙互变异构, 而醌式结构可以作为敏化剂而产生单重态氧 .
对近红外菁型染料在溶液中的光氧化反应机理的研究结果表明 :近红外菁染料的自敏化氧化反应通过两种机制进行:
1)能量转移过程:(染料自身光敏化产生单重态氧破坏染料)

2)电子转移过程(染料自身光敏化产生超氧负离子氧化破坏染料)

使用ESR 谱检测证明了这两种活性氧形态在染料光氧化过程中的存在[ 13] .通过猝灭试验, 判定参与光褪色反应的单重态氧和超氧负离子各自对染料光氧化的影响.在试验中,采用叠氮化钠(NaN3)和对苯醌(BQ)分别对单重态氧和超氧负离子进行猝灭, 各自猝灭速率均可以达到109 mol·L-1/s 数量级, 所以在NaN3 存在的情况下, 认为仅有超氧负离子发生作用;而在有BQ 作用下, 认为仅有单重态氧的作用.两者都不存在的情况下, 认为染料的光氧化是由全部活性氧引起的, 这样, 就可以测出在光氧化过程中的活性氧的形态.
对于菁型染料光褪色的研究结果是两种氧的形态均参与了反应, 其中单重态氧是菁染料的主要褪色原因.
对于单重态氧导致褪色的令人信服的证据是通过氘同位素方法获得的.由于单重态氧在D2O-CD3OD(1 :1)的寿命比在H2O-CH3OH 增加了10 倍, 光氧化的速率取决于单重态氧.在试验中, 采用如下结构的蒽醌染料:

此染料在含等量的玫瑰红(rose bengal C20H4O5 I4Cl4)的1 :1D2O-CD3OD 混合溶液和1 :1 H2O-CH3OH 的混合溶液(1.3 ×10-4mol/L)于相同的条件下进行光辐射(λ=430 mm)时, 发现在300 分钟后氘化溶液中染料有43.1 %褪色, 而未氘化溶液仅仅有5.7 %褪色.Jansen 提出使用激光闪光光解来检测棉纤维上染料的三重态和单重态氧的具体方法, 为研究棉纤维上的染料和氧行为提供了方法.
4.7.2 染料的光还原褪色
相对于光氧化过程来说, 光还原过程的讨论较少, 在蛋白质纤维(如羊毛和丝绸)和少数疏水的高分子纤维上的染料都可能发生物理褪色或光还原褪色.例如, 当使用有不同的取代基的苯-萘酚偶氮染料染色的聚丙烯纤维在无氧的条件下光照褪色[ 16] , 随着偶氮染料苯环上的取代基的供/吸电子能力的不同而有不同的光牢度值, 见表1





在光降解过程中, 有高阶激发态参与了反应, 实验依据是在313 nm 的光照导致了光降解, 此光照能量对应于偶氮染料的2 级π-π*跃迁, 在365 ~ 436 nm 的光照仅引起偶氮染料的异构化.研究4-二乙胺基-4' -硝基偶氮染料的褪色过程中发现反应过程中主要步骤没有发生从染料的单重态向光降解产物的三重态的系间窜越;但是酮敏化剂(如二苯酮和丙酮)却能够对褪色有很大影响, 尤其是在有氢供给剂参与的情况下, 说明反应中包括氢的吸收步骤.所以提出了光还原的褪色机理:
光还原的褪色机理图

光还原主要步骤为酮的三重态(3B)首先从溶液中或从氢供给剂(BH2)中吸收氢形成羰游离基(BH·), 然后释放氢原子给染料(D)的偶氮键形成自由基(DH·), 最后还原为无色氢化偶氮苯(DH2).上述机理推测了在褪色速率和氢供给剂之间存在着线性关系.
五、抑制褪色的方法
5.1 常见抑制褪色的方法
1)、紫外线防御
2)、抗氧化性防御
3)、合理避光
4)、 使用高纯度原料
5)、激发态猝灭剂防御
5.2 提高染料光牢度的途径
5.2.1 高光牢度染料设计和合成
通过改变染料分子结构来提高染料的光牢度是一种有效的方法, 使用金属络合的方
法可以提高牢度值, 例如,C .I Acid Red 7(牢度值4 级)[ 23] , C .I Acid Red 12(牢度值3
级), 而和铬结合的染料牢度值明显提高, 如C .I Acid 183(牢度值7 级), C .I .Acid Red
187(牢度值6 ~ 7 级);此外在分散染料中引入氰基也可以明显提高染料牢度值:

Jolanta 在研究一系列金属络合染料在不同条件下的光褪色, 结果如下:


得出的结论是:金属络合处理的染料的光牢度值明显高于未处理的染料;Co(Ⅲ)的络合
染料的牢度值高于Fe(Ⅲ)的络合染料,Co(Ⅲ)络合染料是有效的单重态氧猝灭剂;
偶氮组分的取代基X的种类对结果影响很大, 硝基(-NO2)可以明显提高光牢度
5.2.2 通过添加剂的手段提高染料的光牢度
目前, 通过添加剂的方法来提高染料的光牢度是比较可行的方法.根据不同的机理,添加剂的种类也不同, 可以是光吸收剂、激发态猝灭剂或者是抗氧剂.光吸收剂和激发态猝灭剂直接或间接地吸收光能将其转化为热能并回归基态.这样的过程一般是通过可逆的氢传递和顺-反异构反应来实现的.而抗氧剂, 例如受阻胺光稳定剂, 降低了由光激发产生的自由基的浓度, 这样就降低了导致氧化的链式反应的速率.
Neevel 等对由双乙酰敏化产生的苯-2-萘酚偶氮染料的氧化反应进行了研究.认为其反应历程如下:首先2 , 3-丁二酮在320 ~ 460 nm 区间吸收光能形成三重态, 然后和氧作用产生单重态氧和丙烯过氧自由基(acylperoxy), 单重态氧通过偶氮染料的羟基偶氮异构体氧化染料分子.在研究中, 总结出苯酚对染料的氧化有阻碍作用.以下是进行研究的四只酸性染料:

对(1)、(2)、(3)、(4)的实验结果如图3 所示, 不同的直线斜率说明在苯酚和染料之间存在着对丁二酮的猝灭竞争问题.

由图4 可以看出, 偶氮染料是很有效的丁二酮三重态猝灭剂, Turro 等人提出丁二酮三重态被苯酚或其他苯粉类化合物猝灭的机理是在苯环上的羟基和双酮的基的三重态之间的可逆的氢传递, 其作用类似双自由基(bi radical).染料(1)、(3)、(4)的邻位羟基苯-萘型偶氮染料大多以醌体[ 27] 形式存在, 作用类似苯酚类化合物.染料(2)的分子形式以偶氮体占多数, 并由于氨基作用类似苯胺或其衍生物, Turro 等人认为氨基的可逆电子传递是产生对丁二酮三重态的猝灭的原因.对化合物a 和b 进行测试, a , b 如下:

分析苯酚类(a)和苯胺类化合物(b)的猝灭效果, 后者比前者的猝灭效率高一倍.通过分析,Neevel 认为可以通过猝灭敏化剂的三重态的方法来阻止褪色[ 26] , 苯酚类和苯胺类化合物都有效, 一些含有类似活性基团的染料本身就可以起到阻碍褪色的作用.Kuramoto在试验中则使用了DABCO (1 , 4-diazobicy clo [ 2 , 2 , 2 ] -octane )和nickeldimethyldithiocabamate 作为单重态氧猝灭剂 .除三重态猝灭剂以外, 还有文献报道使用紫外线吸收剂, 紫外线吸收剂可以吸收阳光及荧光光源的紫外线部分, 本身并不发生变化.
使用紫外线吸收剂提高染料的光牢度可以有两种方法:一种是在染料分子上“嫁接”紫外线吸收基团, 使染料分子本身具有紫外线吸收功能;另一种是将紫外线吸收剂应用于染色工艺中或染整后处理过程中, 这种方法在实践中应用较多.Kehayoglou 和Tsatsaroni 在研究中对此问题有细致的探讨, 他们的研究结果是:
对于各种染料, 无论原有的牢度等级的高低, 紫外线吸收剂的加入均将提高其牢度值, 在紫外线加入量小时, 牢度提高明显, 达到一定的数量时, 继续加入吸收剂对牢度基本没有影响.
此外, 抗氧剂(例如, 2 , 6-di-t-butyl-4-methylphenol)也被用来提高光牢度, 对于特定的反应, 猝灭剂和抗氧剂各自会对特定的反应效果明显, 效果需要实验来进行检测.
5.3 成分保护的四种机理

5.4 紫外线吸收剂的保护示意图

5.5 酚类抗氧化剂的机理


5.6 激发态猝灭剂(CMJ)的机理


CMJ的作用方式:





5.7油脂的抗氧化保护
油脂的稳定性,对于颜色保护,有很大影响。在配方研发及生产工艺中,必须考虑这个因素。
5.7.1 首要选择OSI高的油脂。
每种油脂的氧化稳定性质,可以用OSI (Oil Stability Index,氧化稳定值)来表示,有专业的仪器测试这个数据。OSI是指油脂在110℃下,达到变质所需要的时间(小时)。比如,2EHP,在110℃下,24个小时变质,我们就说,2EHP的氧化稳定性OSI值为24小时。
5.7.2油膏制作中的油脂稳定性问题
彩妆中油膏基本上是純油产品,所以油脂的稳定性十分重要。油脂受空气氧化,将会导致油脂酸败,在其氧化过程中,分解产生的小分子醛、酮、酸等物质,导致产品发臭,变色,膏体变质。细菌的侵蚀也会导致产品变质,腐败。我们对国外的客户宣称产品货架保质期2年,如果我们不注意谨慎控制生产制程,很难保证达到这个要求,甚至出货之后1年之内产品就会变质,这对产品品质存在安全隐患。因此,要求我们技术部们加强这方面的控制。
保证油脂的稳定,要注意三个方面的问题。第一,就是尽量减少高温熔料的时间;第二,抗氧化剂按照比例准确添加,并且必须在较低温度下添加;第三,防腐剂必须按照比例准确添加,并且必须在较低温度下面添加。
下面详细介绍以上三个方面的具体内容。
其一,高温状态下,油脂活性强,容易被氧气氧化。任何油脂中一定含有不稳定的化学结构,在高温状况下,这些不稳定的结果与空气中的氧气发生化学反应,导致油脂变质,或者加快油脂变质的时间。
下表是一般油脂的OSI值

因此,油膏除化料时温度可以稍高,其它环节应该尽量降低熔化温度。
其二,抗氧化剂对于油脂的稳定性也十分重要。即使我们严格按照温度规范操作,但是只能减缓油脂的变质过程。我们还需要在配方中加入抗氧化剂,如BHT,BHA,维生素E等,它们可以缓慢的优先与接触产品的氧气反应,已达到防止油脂变质的目的。因此抗氧化剂是属于消耗性的原料,对光、热不稳定,必须采用小杯料分散的方法,在大料熔化的后期加入。
其三,防腐剂对于油脂的稳定性也十分重要。大凡油脂,都有共性,即含有容易被细菌攻击的结构。比如,猪油,长时间暴露在空气中,就会腐败发臭。我们所用的油脂比猪油要稳定,但是也有腐败的可能,所以需要科学的加入防腐剂。采用小杯料分散防腐剂的方法,在大料熔化的后期加入,尽量减少加热时间。
5.8粉类原料的抗氧化保护
粉类原料,不同的矿源,杂质各不相同。劣质粉体,可能含有较多金属残余物,会催化自由基链式反应,加速褪色。因此需要选择优质的粉类原料。在一定情况下,可以添加螯合剂,络合金属离子,降低褪色风险。
5.8香精的抗氧化保护
香精中含有大量不饱和键,一些香精自身就是容易变色,更加容易参与染料的褪色反应。因此,在香精的选择上,需了解其主要成分,并进行稳定型验证测试。
5.9常见化妆品色粉的结构

更多课程讲义干货内容
请关注找原料网微讯

菜单“微课堂”>“课程资料”
可免费下载微课课件等技术资料哦!

