这期带大家了解一个勤勤恳恳十多年,全效美白+防晒,却一直默默无闻,带火产品却没带火自己的高能美白成分——4-甲氧基水杨酸钾(4-MSK)。
关于4-甲氧基水杨酸钾的文献报道,无论国内还是国外都少之又少,但它的出众与日系日化巨头集团“资生堂”有着密切的关系。据说,是由资生堂研究人员在摸索新美白有效成分的过程中发现并开始应用的,下面我们就来看看关于它的故事。
4-甲氧基水杨酸钾
(INCI名称:Potassium Methoxysalicylate)
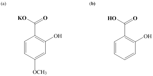
其标准中文名为甲氧基水杨酸钾,又称4-MSK,是近几年来日系产品中喜欢用的一种有效的药用美白成分,于2007年被国家卫生部批准其可作为化妆品原料进行使用。目前,市面上大多数的美白成分的主流原理是:通过抑制酪氨酸酶的活性,从而抑制黑色素的生成,达到皮肤变白的效果。然而,4MSK有着自己的一套法子,其关键是因为,具有与水杨酸相似的结构,如下图:
(a)为4-甲氧基水杨酸钾,(B)为水杨酸
我们知道,水杨酸是一种简单的酚类化合物,不仅被广泛应用于医药等领域,同时也是化妆品中常用的功效成分之一,具有杀菌防腐、美白、祛痘等作用。水杨酸的作用机理是在不影响活性表皮结构的情况下,溶解角质细胞间的架构成形成物,使角质层脱落产生脱屑作用,去除积聚过厚的角质层,促进皮肤角质层的新陈代谢。
因此,4-MSK不仅具有其他美白成分所具有的的抑制黑色素生成的作用,同时还兼具调节角质形成细胞增殖分化失衡的作用,进而促进皮肤沉积过剩的黑色素顺畅释放,改善皮肤发暗的状况。
对于4-MSK的效果验证,日本资生堂研究所展开了具体研究如下:
1、对黑色素生成具有直接作用
如下图所示,3天后,将添加4-MSK与没有添加4-MSK的细胞数量及黑色素量进行对比,可确认4-MSK具有浓度依赖的黑色素生成抑制效果。
2、对3D培养皮肤模型分化标志表达的作用
兜甲蛋白是颗粒层附近的一种分化标志。对3D皮肤模型照射紫外线并培养一天后,发现兜甲蛋白的表达降低了。而在紫外线照射后立即添加4-MSK的皮肤模型,表现出更明显的抑制紫外线导致的兜甲蛋白表达的下降。
且在同一皮肤模型抽取RNA进行定量PCR解析的结果中,发现在紫外线照射组出现的兜甲蛋白mRNA的表达下降现象在4-MSK添加群中得到抑制。经免疫组化研究证实,蛋白质水平的兜甲蛋白表达下降以及4-MSK的表达下降抑制作用在mRNA水平上也得到证实。结果见下图所示:
证实了4-MSK对黑色素的生成具有直接的抑制作用,以及对角质形成细胞的增殖分化也会产生作用。这两种作用对导致皮肤黑色素过剩沉积的黑色素的生成及释放两方面都均有防御作用。
本实验旨在验证4-MSK对人体的色素沉着防御效果。
以12名男性受试者作为分析对象,在其腹部4处用人工紫外线光源以UVA及UVB波长的紫外线对每位测试者进行一天一次的照射,相当于最小红斑量(IMED),连续照射3天。分别以含有1%、3%、5%浓度的4-MSK的乳霜以及空白对照的基质乳霜,共4种变量作为测试样品,每天涂抹3次,连续涂抹7天,然后进行色素沉着程度对比。试验前后分别测得受试者各部位的肤色(L*值)平均值及对比如表-1a和表-1b。
最后对比不同浓度的4-MSK乳霜涂抹部位,得出照射前后的肤色变化量(ΔL*)结果如下:
证实了含有1%~5%的4-MSK的测试样品,对紫外线导致的色素沉着具有浓度依赖的防御效果。且在试验期间没有发现因使用含有4-MSK而导致的皮肤异常现象。
以上关于4MSK的3个功效证明实验,都充分地说明的4MSK的美白有效性。接下来就看看4MSK的硬指标——基本理化性质,以及使用时需要注意的事项。
注意事项:
在酸性条件下:配方体系pH>5.0。
在光照条件下:可添加0.05%-0.50%的BHT。
在耐热环境下:可添加0.05%-0.10%亚硫酸氢铵或者焦亚硫酸钠。
在离子条件下:精华体系建议使用耐离子增稠剂;乳化体系建议使用非离子乳化剂
关于4MSK的应用还需注意的是,它虽然有效、安全,但还是被国家法律法规限制了其最大使用浓度。
根据《卫生部关于批准4-甲氧基水杨酸钾作为化妆品原料使用的通知》(卫监督发〔2007〕141号)以及去年2018年公开的《化妆品安全技术规范【2015版】》拟修订相关内容中,可以看到:4-甲氧基水杨酸钾在化妆品中最大允许使用浓度为3.0%,且不得用于三岁以下儿童的产品中。
4-MSK+传明酸
如果说传明酸着重的是效果,那么4-MSK的诉求就是提升自愈力。运用这个搭配的产品有:资生堂臻白无暇精华液、肌肤之钥光透白精华液、茵芙莎美白修护精华液等。
4MSK不光与传明酸是最佳CP组合,还常与一些具有抗氧化作用的维C、E类成分,如2-o-乙基抗坏血酸、3-ο-乙基抗坏血酸和抗坏血酸磷酸酯镁,以及一些抗炎成分,如甘草酸二钾,一同搭配应用,从而达到协同增效的作用。
此等用法广泛存在于资生堂旗下的许多日系美白产品当中(其他欧美、国内大牌几乎没有用),这里就随机拿以下几个产品为例了:
此外,4MSK也会和抗衰老的成分(如视黄醇乙酸酯)搭配,起到抗老又美白的功效,相应产品如下:
可以看到4MSK的应用输出,还是在比较高端的线上。(毕竟它是资生堂爸爸独家开发的药用美白有效成分啦。)
最后,总结一下关于4MSK的日系美白/抗老产品的成分搭配套路:
4-MSK + 维E衍生物 + 维C衍生物(2-o-乙基抗坏血酸/ 3-ο-乙基抗坏血酸/ 抗坏血酸磷酸酯镁等...) + 抗炎成分(甘草酸二钾)/ + 视黄醇衍生物。
当然啦,其他美白成分也适用此套路呢。以上内容仅作参考,更多原料与技术问题,欢迎在留言区留言或联系后台进行交流咨询。
· END ·
作者 | 菠萝斯基
编辑 | 小朱同学
图源 | 网络
推荐阅读




