
PageRank是谷歌创立之初用来给网页排序的算法。可以说,正是有了这个算法,才有了谷歌的伟大开局。PageRank算法简洁而高效,而且理论上有完备的数学证明,是算法应用于商业的典范。今天我们来谈谈PageRank算法的原理,并由此延伸出另外一种网络图排序算法,并利用该算法探索上市公司股权关系网络中的实际控制人。
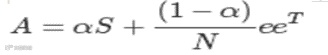
PageRank的原理是,通过计算链接到一个网页的数量及质量来对该网页的重要程度有一个估计。它所依赖的假设是越重要的网页通常会有更多的网页链接到他。——-from wiki





BBD Data
PageRank是谷歌创立之初用来给网页排序的算法。可以说,正是有了这个算法,才有了谷歌的伟大开局。PageRank算法简洁而高效,而且理论上有完备的数学证明,是算法应用于商业的典范。今天我们来谈谈PageRank算法的原理,并由此延伸出另外一种网络图排序算法,并利用该算法探索上市公司股权关系网络中的实际控制人。
PageRank的原理是,通过计算链接到一个网页的数量及质量来对该网页的重要程度有一个估计。它所依赖的假设是越重要的网页通常会有更多的网页链接到他。——-from wiki




